The Journal of
the Korean Society on Water Environment

The Journal of
the Korean Society on Water Environment

Bimonthly
  • ISSN : 2289-0971 (Print)
  • ISSN : 2289-098X (Online)
  • KCI Accredited Journal

Editorial Office





Delivery Load, Delivery Ratio, Discharge Coefficient, Total Pollution Load Control (TPLC)

1. Introduction

ν˜„μž¬ μš°λ¦¬λ‚˜λΌμ—μ„œ μ‹œν–‰λ˜κ³  μžˆλŠ” μˆ˜μ§ˆμ˜€μ—Όμ΄λŸ‰κ΄€λ¦¬μ œλ„ (μ΄ν•˜ β€˜μ΄λŸ‰μ œβ€™)λŠ” μˆ˜κ³„κ΅¬κ°„λ³„ λͺ©ν‘œμˆ˜μ§ˆμ„ μ„€μ •ν•˜κ³ , λͺ©ν‘œμˆ˜μ§ˆμ„ 달성 및 μœ μ§€ν•  수 μžˆλ„λ‘ μœ μ—­μ—μ„œ λ°°μΆœν•  수 μžˆλŠ” μ˜€μ—Όλ¬Όμ§ˆμ˜ μ΄λŸ‰μ„ ν• λ‹Ήν•˜μ—¬ κ΄€λ¦¬ν•˜λŠ” μ œλ„μ΄λ‹€. λ”°λΌμ„œ μ΄λŸ‰μ œμ—μ„œλŠ” μœ μ—­μ—μ„œ λ°œμƒλœ μ˜€μ—Όλ¬Όμ§ˆμ΄ λͺ©ν‘œμˆ˜μ§ˆ μ„€μ •μ§€μ κΉŒμ§€ λ„λ‹¬ν•˜λŠ” 과정에 λŒ€ν•œ 평가가 무엇보닀 μ€‘μš”μ‹œ λœλ‹€.

일반적으둜 μ˜€μ—Όλ¬Όμ§ˆμ΄ μƒμ„±λ˜μ–΄ 곡곡수체둜 μ΄λ™ν•˜λŠ” 과정은 μ˜€μ—Όλ¬Όμ§ˆμ˜ λ°œμƒ, 배좜, μœ λ‹¬ κ³Όμ •μœΌλ‘œ ν‘œν˜„ν•˜λŠ”λ°, λ°œμƒμ€ 어원 κ·ΈλŒ€λ‘œ μ˜€μ—Όλ¬Όμ§ˆμ˜ 생성을 μ˜λ―Έν•˜κ³  μ΄λ ‡κ²Œ λ°œμƒλœ μ˜€μ—Όλ¬Όμ§ˆμ΄ μžμ—°ν˜„μƒ λ˜λŠ” μΈμœ„μ  처리 등을 톡해 μœ μ—­ λ˜λŠ” κ³΅κ³΅μˆ˜μ—­μœΌλ‘œ μœ μž…λ˜λŠ” 것을 λ°°μΆœμ΄λΌν•˜λ©° 배좜된 μ˜€μ—Όλ¬Όμ§ˆμ΄ 수체의 νŠΉμ •μ§€μ μ— λ„λ‹¬ν•˜λŠ” 것을 μœ λ‹¬μ΄λΌ ν•œλ‹€(Hwang et al, 2015).

μˆ˜μ§ˆμ˜€μ—Όμ΄λŸ‰κ΄€λ¦¬(μ΄ν•˜ β€˜μ΄λŸ‰κ΄€λ¦¬β€™)μ—μ„œ λͺ©ν‘œμˆ˜μ§ˆ μ„€μ • 및 μ˜€μ—ΌλΆ€ν•˜λŸ‰μ˜ 할당을 μœ„ν•΄μ„œλŠ” 배좜된 μ˜€μ—Όλ¬Όμ§ˆμ΄ μˆ˜κ³„κ΅¬κ°„(λ‹¨μœ„μœ μ—­)의 νŠΉμ •μ§€μ κΉŒμ§€ λ„λ‹¬ν•˜λŠ” κ³Όμ •μ—μ„œμ˜ λ¬Όμ§ˆμˆ˜μ§€μ˜ λ³€ν™”κ·œλͺ… 및 μž¬ν˜„μ΄ ν•„μš”ν•œλ° μ§€λ₯˜κ΅¬κ°„(μ†Œμœ μ—­)은 μœ λ‹¬μœ¨μ„ μ΄μš©ν•˜μ—¬ λ°°μΆœλΆ€ν•˜λŸ‰κ³Ό μœ λ‹¬λΆ€ν•˜λŸ‰ κ°„μ˜ λ¬Όμ§ˆμˆ˜μ§€λ₯Ό 규λͺ…Β·μž¬ν˜„ν•˜κ³  있으며, λ³Έλ₯˜κ΅¬κ°„은 수질λͺ¨λΈμ„ μ΄μš©ν•˜μ—¬ 규λͺ…Β·μž¬ν˜„ν•˜κ³  μžˆλ‹€.

μ—¬κΈ°μ„œ μœ λ‹¬μœ¨μ€ μœ μ—­μœΌλ‘œ μœ μž…λ˜λŠ” λ°°μΆœλΆ€ν•˜λŸ‰ λŒ€λΉ„ μˆ˜κ³„κ΅¬κ°„ νŠΉμ •μ§€μ μ— λ„λ‹¬λœ μœ λ‹¬λΆ€ν•˜λŸ‰μ˜ λΉ„μœ¨λ‘œ ν‘œν˜„ν•  수 μžˆλ‹€. μ΄λŸ‰μ œμ—μ„œλŠ” νŠΉμ •μ§€μ μ—μ„œ μ‹€μΈ‘λœ μœ λ‹¬λΆ€ν•˜λŸ‰κ³Ό μˆ˜μ§ˆμ˜€μ—Όμ΄λŸ‰κ΄€λ¦¬κΈ°μˆ μ§€μΉ¨(μ΄ν•˜ β€˜κΈ°μˆ μ§€μΉ¨β€™)(NIER, 2014)에 따라 μ‚°μ •λœ λ°°μΆœλΆ€ν•˜λŸ‰κ³Όμ˜ λΉ„λ‘œλΆ€ν„° μœ λ‹¬μœ¨μ„ μ‚°μ •ν•˜λ©° μ‹€μΈ‘μžλ£Œκ°€ μ—†λŠ” 미계츑 μœ μ—­μ˜ μœ λ‹¬μœ¨μ€ κ³„μΈ‘μžλ£Œκ°€ μžˆλŠ” μœ μ—­μ˜ μœ λ‹¬μœ¨κ³Ό 면적 및 μœ λŸ‰μœΌλ‘œλΆ€ν„° νšŒκ·€μ‹μ„ λ„μΆœν•˜μ—¬ μ΄λŸ‰κ΄€λ¦¬ κ³„νšμˆ˜λ¦½ μ‹œ μ μš©ν•˜κ³  μžˆλ‹€.

μœ λ‹¬μœ¨κ³Ό κ΄€λ ¨λœ μ„ ν–‰μ—°κ΅¬λŠ” μ΄λŸ‰μ œκ°€ λ„μž…λœ 이후뢀터 ν˜„μž¬κΉŒμ§€ λ§Žμ€ μ—°κ΅¬μžλ“€μ— μ˜ν•΄ μ§„ν–‰λ˜μ–΄μ™”λ‹€. Park et al. (2012)은 싀츑에 κΈ°λ°˜ν•œ μœ λ‹¬μœ¨ μ‚°μ •μ˜ 취약성을 λ³΄μ™„ν•˜κΈ° μœ„ν•΄ μœ μ—­λͺ¨λΈμ„ μ΄μš©ν•œ μœ λ‹¬μœ¨ μ‚°μ •λ°©λ²•μ˜ μ μš©μ„±μ„ ν‰κ°€ν•˜κ³  κΈ°μ‘΄ μœ λ‹¬μœ¨ μ‚°μ •λ°©λ²•μ˜ 문제점 및 λ³΄μ™„λ°©μ•ˆμ— λŒ€ν•΄ κ³ μ°°ν•˜μ˜€μœΌλ©°, Choi et al. (2012)λŠ” μœ ν™©κ³‘μ„ μ„ μž‘μ„±ν•˜κ³  μœ λŸ‰-λΆ€ν•˜λŸ‰ 관계식을 ν™œμš©ν•˜μ—¬ μœ λ‹¬λΆ€ν•˜λŸ‰μ„ μ‚°μ •ν•˜μ˜€μœΌλ©° μ‚°μ •λœ μœ λ‹¬λΆ€ν•˜λŸ‰κ³Ό λ°°μΆœλΆ€ν•˜λŸ‰ 자료λ₯Ό μ΄μš©ν•˜μ—¬ μœ ν™©λ³„ μœ λ‹¬μœ¨ μ‚°μ •λ°©μ•ˆμ— λŒ€ν•΄ κ³ μ°°ν•˜μ˜€λ‹€. κ·Έ μ™Έ κ΅­λ‚΄ λ§Žμ€ μ—°κ΅¬μž(Choi et al., 2012; Jung et al., 2012; Kang et al., 2010; Park et al., 2012; Park et al., 2013)듀에 μ˜ν•΄ μœ λ‹¬μœ¨ κ΄€λ ¨ 연ꡬ가 μ΄λ£¨μ–΄μ Έμ˜€κ³  μžˆλ‹€.

κΈ°μ‘΄ 선행연ꡬ듀을 μ‚΄νŽ΄λ³΄λ©΄ μœ λ‹¬μœ¨ κ²½ν—˜κ³΅μ‹κ³Ό μœ μ—­λͺ¨ν˜•을 ν™œμš©ν•œ μœ λ‹¬μœ¨ 산정방법 등은 λ§Žμ€ λΆ€λΆ„ 연ꡬ가 μ΄λ£¨μ–΄μ‘ŒμœΌλ‚˜, μ΄λŸ‰κ΄€λ¦¬ κ³„νšμˆ˜λ¦½κ³Ό μ—°κ³„ν•œ μœ λ‹¬μœ¨ μ μš©λ°©μ•ˆμ— λŒ€ν•œ μ—°κ΅¬λŠ” λ‹€μ†Œ λΆ€μ‘±ν•œ μ‹€μ •μ΄λ―€λ‘œ μ΄λŸ‰κ΄€λ¦¬ κ³„νšμˆ˜λ¦½μ‹œ ν™œμš©ν•  수 μžˆλŠ” μœ λ‹¬μœ¨ μ‚°μ • 및 μ μš©λ°©μ•ˆμ— λŒ€ν•œ 연ꡬ가 ν•„μš”ν•œ 상황이닀.

λ³Έ μ—°κ΅¬μ—μ„œλŠ” μœ λ‹¬κ³Όμ •μ˜ λ¬Όμ§ˆμˆ˜μ§€ μž¬ν˜„μ„ μœ„ν•œ μœ λ‹¬μœ¨ λ„μΆœλ°©λ²•μ„ κ²€ν† ν•˜κ³  μ΄λŸ‰κ΄€λ¦¬ κ³„νšμˆ˜λ¦½μ— μ ν•©ν•œ μœ λ‹¬μœ¨ 산정방법을 λ§ˆλ ¨ν•˜μ—¬ λ‚™λ™κ°•μˆ˜κ³„ 금호A λ‹¨μœ„μœ μ—­μ— μ μš©Β·κ²€μ¦ ν•΄λ΄„μœΌλ‘œμ¨ μ΄λŸ‰κ΄€λ¦¬ κ³„νšμˆ˜λ¦½ μ‹œ μœ λ‹¬λΆ€ν•˜λŸ‰ 산정에 도움이 λ˜κ³ μžν•œλ‹€.

2. Materials and Methods

2.1. μ—°κ΅¬λŒ€μƒμ§€μ—­

μ—°κ΅¬λŒ€μƒμœ μ—­μ€ λ‚™λ™κ°•μˆ˜κ³„ κΈˆν˜Έκ°• 상λ₯˜μ— μœ„μΉ˜ν•˜κ³  μžˆλŠ” 금호A λ‹¨μœ„μœ μ—­μœΌλ‘œ μœ μ—­λ©΄μ μ€ 934.83 km2이며 10개의 μ†Œμœ μ—­μœΌλ‘œ κ΅¬μ„±λ˜μ–΄ μžˆλ‹€(Fig. 1). λŒ€μƒμœ μ—­μ˜ ν† μ§€μ΄μš©μ€ 전체 ν† μ§€ 쀑 μž„μ•Όκ°€ 72.2%, λ…Ό 8.9%, λ°­ 7.6%, λŒ€μ§€ 4.5%, 기타 6.8%둜 λ…Ό, 밭의 λΉ„μœ¨μ΄ λŒ€μ§€μ˜ λΉ„μœ¨λ³΄λ‹€ 높은 λ†μ΄Œμ§€μ—­μ˜ νŠΉμ„±μ„ κ°€μ§€κ³  μžˆλ‹€(Table 1). μ΄λŸ¬ν•œ νŠΉμ„±μ„ κ°€μ§€κ³  μžˆλŠ” 금호A λ‹¨μœ„μœ μ—­μ€ λŒ€κ·œλͺ¨ ν•˜μˆ˜μ²˜λ¦¬μž₯ λ“± μˆ˜κ³„μ— 직접적인 영ν–₯을 μ£ΌλŠ” μ£Όμš” μ˜€μ—Όμ›μ΄ λ°°μ œλ˜μ–΄ 일반적인 μ˜€μ—Όλ¬Όμ§ˆμ˜ μœ λ‹¬κ³Όμ • 규λͺ…에 적합적인 λŒ€μƒμœ μ—­μ΄λ―€λ‘œ λ³Έ 연ꡬ λŒ€μƒμ§€μ—­μœΌλ‘œ μ„ μ •ν•˜μ˜€λ‹€.

Fig. 1.

Location of the Geumho A unit watershed in Nakdong river basin.

../../Resources/kswe/32-4/images/SJBJB8_2016_v32n4_375_f001.jpg
Table 1.

Characteristics of landuse in the Geumho A unit watershed

../../Resources/kswe/32-4/images/SJBJB8_2016_v32n4_375_t001.jpg

금호A λ‹¨μœ„μœ μ—­ λ‚΄ μœ λ‹¬μœ¨ 산정을 μœ„ν•œ λŒ€ν‘œ 싀츑지점은 κΈˆν˜Έκ°• μ§€λ₯˜μΈ 고촌천, λΆμ•ˆμ²œ, μ‹ λ Ήμ²œ 3개 μ†Œμœ μ—­ 말단 지점을 μ„ νƒν•˜μ˜€λ‹€. 각 μ§€μ μ˜ νŠΉμ§•μ„ 보면 고촌천 μœ μ—­(금호A07)은 μœ μ—­λ©΄μ μ΄ μ•½ 97.7 km2이고 μœ λ‘œμ—°μž₯ 20.5 km인 μ§€λ°©2κΈ‰ ν•˜μ²œμ΄λ©°, 경상뢁도 μ˜μ²œμ‹œ 고경면을 κ΄€λ₯˜ν•˜μ—¬ κΈˆν˜Έκ°•μœΌλ‘œ ν•©λ₯˜λœλ‹€. λΆμ•ˆμ²œ μœ μ—­(금호A09)은 μœ μ—­λ©΄μ μ΄ μ•½ 94.1 km2이고 μœ λ‘œμ—°μž₯ 15.9 km인 μ§€λ°©2κΈ‰ ν•˜μ²œμ΄λ©°, 경상뢁도 μ˜μ²œμ‹œ λΆμ•ˆλ©΄μ„ κ΄€λ₯˜ν•˜μ—¬ κΈˆν˜Έκ°•μœΌλ‘œ ν•©λ₯˜λœλ‹€. μ‹ λ Ήμ²œ μœ μ—­(금호A08)은 μœ μ—­λ©΄μ μ΄ μ•½ 180.59 km2이고 μœ λ‘œμ—°μž₯ 27.5 km인 μ§€λ°©2κΈ‰ ν•˜μ²œμ΄λ©°, 경상뢁도 μ˜μ²œμ‹œ 신녕면을 κ΄€λ₯˜ν•˜μ—¬ κΈˆν˜Έκ°•μœΌλ‘œ ν•©λ₯˜λœλ‹€.

2.2. μœ λ‹¬λΆ€ν•˜λŸ‰ μΆ”μ • 방법

2.2.1. μ˜€μ—Όλ¬Όμ§ˆ λ°°μΆœλΆ€ν•˜λŸ‰ μ‚°μ • 및 λ°°μΆœκ³„μˆ˜

ν™˜κ²½κΈ°μ΄ˆμ‹œμ„€κ³Ό 같이 λ°°μΆœμ§€μ μ΄ λͺ…ν™•ν•˜κ³  츑정이 μš©μ΄ν•˜μ—¬ λ°°μΆœμ§€μ μ—μ„œ μ‹€μΈ‘ν•œ 수질과 μœ λŸ‰μ˜ 곱으둜 λ°°μΆœλΆ€ν•˜λŸ‰μ„ μ‚°μ •ν•˜λŠ” κ²½μš°λŠ” κ·Έ κ²°κ³Όλ₯Ό κ·ΈλŒ€λ‘œ μ΄μš©ν•˜μ§€λ§Œ, 싀츑이 μ–΄λ €μš΄ μ μ˜€μ—Όμ› λ˜λŠ” λΉ„μ μ˜€μ—Όμ›μ˜ κ²½μš°λŠ” 연평균 일일 λ°œμƒλΆ€ν•˜μ›λ‹¨μœ„λ₯Ό μ΄μš©ν•˜μ—¬ λ°œμƒλΆ€ν•˜λŸ‰μ„ μ‚°μ •ν•œ ν›„ λ‹€μ–‘ν•œ κ°œλ³„μ²˜λ¦¬κ³Όμ •μ˜ 삭감비(reduction rate)λ₯Ό μ μš©ν•˜μ—¬ 연평균 일일 λ°°μΆœλΆ€ν•˜λŸ‰μ„ μ‚°μ •ν•˜κ³  μžˆλ‹€. μ΄λ ‡κ²Œ μ‚°μ •λœ 연평균 일일 λ°°μΆœλΆ€ν•˜λŸ‰ 쀑 μ μ˜€μ—Όμ›μ˜ κ²½μš°λŠ” λ°œμƒλœ μ˜€μ—Ό 물질이 μ²˜λ¦¬μ‹œμ„€ 등을 톡해 μ €κ°λœ ν›„ λ°°μΆœλ˜λŠ” κ³Όμ •μ—μ„œ 외뢀쑰건에 큰 영ν–₯을 λ°›μ§€ μ•Šκ³  연쀑 μΌμ •ν•˜κ²Œ λ°°μΆœλ˜μ§€λ§Œ, ν† μ§€κ³„λ‘œ λŒ€ν‘œλ˜λŠ” λΉ„μ μ˜€μ—Όμ›μ΄λ‚˜ ν•©λ₯˜μ‹ κ΄€κ±°μ˜ μ›”λ₯˜(CSOs), κ°„μ΄κ³΅κ³΅μ²˜λ¦¬μ‹œμ„€μ˜ λ°©λ₯˜ 등은 λ°œμƒ ν›„ κ°œλ³„μ‚­κ°λœ μ˜€μ—Όλ¬Όμ§ˆμ΄ λ°°μΆœλ˜λŠ” κ³Όμ •μ—μ„œ κ°•μš° λ“± μ™ΈλΆ€ ν™˜κ²½μ— 따라 λ‹€λ₯΄κ²Œ λ°°μΆœλœλ‹€. 이렇듯 λ°œμƒ ν›„ κ°œλ³„μ‚­κ° 된 μ˜€μ—Όλ¬Όμ§ˆ(연평균 일일 λΆ€ν•˜λŸ‰)이 λ°°μΆœλ˜λŠ” κ³Όμ •μ—μ„œ κ°•μš° λ“± μ™ΈλΆ€ ν™˜κ²½μ˜ 영ν–₯으둜 연평균 μΌμΌλ°°μΆœλŸ‰κ³Ό λ‹€λ₯΄κ²Œ λ°°μΆœλ˜λŠ” 경우, κ·Έ 정도λ₯Ό ν‘œν˜„ν•œ 것을 λ°°μΆœκ³„μˆ˜(discharge coefficient)라 ν•˜λ©°, μ΅œμ’… λ°°μΆœλΆ€ν•˜λŸ‰μ€ 식 (1)κ³Ό 같이 ν‘œν˜„ν•  수 μžˆλ‹€.

../../Resources/kswe/32-4/images/SJBJB8_2016_v32n4_375_e901.jpg

μ—¬κΈ°μ„œ, GEN Load (Generated Pollution Load)λŠ” 연평균 일일 λ°œμƒλΆ€ν•˜λŸ‰(kg/day)이며, DIS Load (Discharged Pollution Load)λŠ” t 쑰건의 λ°°μΆœλΆ€ν•˜λŸ‰(kg/day)이며, Ξ±iλŠ” t 쑰건의 삭감비(reduction rate)이고 Ξ²iλŠ” t 쑰건의 λ°°μΆœκ³„μˆ˜(discharge coefficient)이닀.

λ°°μΆœκ³„μˆ˜λŠ” 연평균 일일 λ°œμƒλΆ€ν•˜λŸ‰μ΄ κ°œλ³„μ²˜λ¦¬ 과정을 거친 ν›„μ˜ λΆ€ν•˜λŸ‰κ³Ό μ›ν•˜λŠ” μœ λŸ‰μ‘°κ±΄ μ‹œκΈ°μ— μ‹€μ œ λ°°μΆœλ˜λŠ” 일일 λΆ€ν•˜λŸ‰μ˜ λΉ„λ‘œ μ •μ˜ν•  수 μžˆλ‹€. κΈ°μˆ μ§€μΉ¨μ— λ”°λ₯΄λ©΄, μ •μƒμƒνƒœ 수질λͺ¨λΈλ§ 등을 μˆ˜ν–‰ν•˜κΈ° μœ„ν•΄ μ΄λŸ‰κ΄€λ¦¬ κΈ°μ€€μœ λŸ‰ 쑰건의 λ°°μΆœλŸ‰ 산정이 ν•„μš”ν•œ 경우 κ°•μš°μ— 영ν–₯을 λ°›λŠ” λŒ€μƒμ— λŒ€ν•˜μ—¬ λ°°μΆœκ³„μˆ˜λ₯Ό μ μš©ν•˜λ„λ‘ λ˜μ–΄ 있으며 λŒ€ν‘œμ μœΌλ‘œ μ΄λŸ‰κ΄€λ¦¬ κΈ°μ€€μœ λŸ‰ 쀑 μ €μˆ˜λŸ‰μ€ 0.15, ν‰μˆ˜λŸ‰μ€ 0.5둜 κ·œμ •ν•˜κ³  μžˆλ‹€.

2.2.2. μœ λ‹¬λΆ€ν•˜λŸ‰κ³Ό μœ λ‹¬μœ¨

λ°°μΆœμ›μ—μ„œ 배좜된 μ˜€μ—Όλ¬Όμ§ˆμ΄ ν•˜μ²œμ— λ„λ‹¬ν•˜μ—¬ μˆ˜μ²΄μ— λ―ΈμΉ˜λŠ” 영ν–₯을 νŒŒμ•…ν•˜κΈ° μœ„ν•΄μ„œλŠ” ν•˜μ²œμœΌλ‘œ μœ μž…λ˜λŠ” μ§€μ μ—μ„œ κ·Έ 양을 μ‹€μΈ‘ν•˜λŠ” 것이 κ°€μž₯ μ’‹λ‹€. κ·ΈλŸ¬λ‚˜, 무수히 λ§Žμ€ λ°°μΆœμ›μ—μ„œ 배좜된 μ˜€μ—Όλ¬Όμ§ˆμ΄ ν•˜μ²œμ— λ„λ‹¬ν•˜λŠ” 양을 μ‹€μΈ‘ν•˜κΈ°λž€ 물리적·경제적으둜 μ–΄λ €μš°λ©° 싀츑을 ν•˜λ”λΌλ„ κ°•μš°, κΈ°ν›„, μ§€ν˜• λ“± λ‹€μ–‘ν•œ μ™ΈλΆ€ν™˜κ²½μ„ μΆ©λΆ„νžˆ λ°˜μ˜ν•  수 μžˆλŠ” 연속츑정은 μ–΄λ ΅λ‹€. 특히, λΉ„μ μ˜€μ—Όμ› λ“± μœ μž…μ§€μ μ΄ λšœλ ·ν•˜μ§€ μ•Šμ€ λ°°μΆœμ›μ˜ 경우 츑정방법에 λŒ€ν•œ 기술적 ν•œκ³„λΆ€ν„° μ§λ©΄ν•˜κ²Œ λœλ‹€.

이와 같은 이유둜 μœ λ‹¬λΆ€ν•˜λŸ‰μ€ μœ μ—­λͺ¨ν˜•을 μ΄μš©ν•˜μ—¬ 톡합적 λ°©λ²•μœΌλ‘œ μœ λ‹¬λΆ€ν•˜λŸ‰μ„ μΆ”μ •ν•˜κ±°λ‚˜, λ°°μΆœλΆ€ν•˜λŸ‰κ³Ό κ°œλ³„ λ°°μΆœμ›μ—μ„œ 배좜된 μ˜€μ—Όλ¬Όμ§ˆμ΄ 수체의 νŠΉμ •μ§€μ μ— λ„λ‹¬ν•˜λŠ” λΉ„μœ¨μΈ μœ λ‹¬μœ¨μ„ μ΄μš©ν•˜μ—¬ ν•˜μ²œμ— λ„λ‹¬ν•˜λŠ” μœ λ‹¬λΆ€ν•˜λŸ‰μ„ 식 (2)에 따라 μΆ”μ •ν•  수 μžˆλ‹€.

../../Resources/kswe/32-4/images/SJBJB8_2016_v32n4_375_e902.jpg

μ—¬κΈ°μ„œ, DEL Loadt (Delivered Pollution Load)λŠ” t 쑰건의 μœ λ‹¬λΆ€ν•˜λŸ‰(kg/day)이며 DIS Loadt (Dischared Pollution Load)λŠ” t 쑰건의 λ°°μΆœλΆ€ν•˜λŸ‰(kg/day)이며, DRt (Delivery Ratio)은 t 쑰건의 μœ λ‹¬μœ¨μ΄λ‹€.

2.2.3. μœ λ‹¬μœ¨μ„ μ΄μš©ν•œ μœ λ‹¬λΆ€ν•˜λŸ‰ 좔정방법 및 ν•œκ³„

식 (2)λ₯Ό μ΄μš©ν•˜μ—¬ μœ λ‹¬λΆ€ν•˜λŸ‰μ„ μΆ”μ •ν•˜κΈ° μœ„ν•΄μ„œλŠ” 배좜 λΆ€ν•˜λŸ‰κ³Ό μœ λ‹¬μœ¨μ΄ ν•„μš”ν•œλ°, λ°°μΆœλΆ€ν•˜λŸ‰μ€ 2.2.1μ—μ„œ μ–ΈκΈ‰ν•œ 바와 같이 싀츑이 μ–΄λ €μš΄ 경우 λ°°μΆœκ³„μˆ˜λ₯Ό μ΄μš©ν•˜μ—¬ μ‚°μ •ν•  수 μžˆμœΌλ‚˜ μ‹œκ°„, κ°•μš° λ“± λ‹€μ–‘ν•œ ν™˜κ²½μ‘°κ±΄μ„ λŒ€λ³€ν•  수 μžˆλŠ” λ°°μΆœκ³„μˆ˜ λͺ¨λ‘λ₯Ό κΈ°μˆ μ§€μΉ¨μ— μ •ν•˜κΈ° μ–΄λ ΅λ‹€λŠ” ν•œκ³„κ°€ μžˆλ‹€. 그리고 μœ λ‹¬μœ¨ 산정을 μœ„ν•œ μœ λ‹¬λΆ€ν•˜λŸ‰μ˜ μ‹€μΈ‘ λ˜ν•œ μœ„μ—μ„œ μ–ΈκΈ‰ν•œ 바와 같이 μœ μ—­ λ‚΄ 수 λ§Žμ€ λ°°μΆœμ›μ—μ„œ 배좜된 μ˜€μ—Όλ¬Όμ§ˆ 각각의 μœ λ‹¬ 경둜λ₯Ό μΆ”μ ν•˜μ—¬ μ •λŸ‰ν™” ν•˜κΈ°λž€ ν˜„μ‹€μ μœΌλ‘œ μ–΄λ €μš°λ©° 배좜된 μ˜€μ—Όλ¬Όμ§ˆμ΄ μœ λ‹¬λ˜λŠ” 과정에 영ν–₯을 쀄 수 μžˆλŠ” μœ μ—­μ˜ 경사, μœ λŸ‰, μœ μ†, 길이, 수온 λ“± λ‹€μ–‘ν•œ 영ν–₯을 μΆ©λΆ„νžˆ κ³ λ €ν•˜κΈ° μ–΄λ ΅λ‹€.

λ”°λΌμ„œ, 식 (2)의 μ μš©μ„ μœ„ν•΄μ„œλŠ” ν˜„μ‹€μ  μ œμ•½μ‘°κ±΄μ— λŒ€ν•œ 가정을 μ„Έμš΄ ν›„ 이λ₯Ό λ°”νƒ•μœΌλ‘œ 적용 κ°€λŠ₯ν•˜λ©° μ΄λ ‡κ²Œ μ‚°μ •λœ μœ λ‹¬μœ¨μ„ μ œμ‹œν•  λ•ŒλŠ” λ°˜λ“œμ‹œ μˆ˜μ‹κ³Ό 가정을 ν•¨κ»˜ ν‘œκΈ°ν•˜μ—¬ μœ λ‹¬μœ¨ 적용 였λ₯˜λ₯Ό λ°©μ§€ν•˜μ—¬μ•Ό ν•œλ‹€. μœ λ‹¬μœ¨ μ‚°μ • μ‹œ μ μš©λ˜λŠ” λŒ€ν‘œμ  κ°€μ •μœΌλ‘œλŠ” 1) μ†Œμœ μ—­μ€ ν•˜λ‚˜μ˜ λ°°μΆœμ›μ΄λ©° μ†Œμœ μ—­λ‚΄ λͺ¨λ“  λ°°μΆœμ›μ€ λ™μΌν•œ μœ λ‹¬νŠΉμ„±μ„ κ°€μ§„λ‹€ 2) μœ λ‹¬μœ¨ 산정을 μœ„ν•œ μœ λ‹¬λΆ€ν•˜λŸ‰μ€ μΈ‘μ •μžλ£Œκ°€ μœ λ‹¬κ³Όμ •μ„ μΆ©λΆ„νžˆ λŒ€λ³€ν•œλ‹€ 3) μ†Œμœ μ—­λ³„ μœ λ‹¬μœ¨ 산정이 μ–΄λ €μš΄ κ²½μš°λŠ” μœ μ‚¬ μ†Œμœ μ—­μ˜ μœ λ‹¬μœ¨μ„ μ‚¬μš©ν•  수 μžˆλ‹€ λ“±μ˜ 가정이 μžˆλ‹€.

2.2.4. μ΄λŸ‰κ΄€λ¦¬ κΈ°μ€€μœ λŸ‰ 쑰건의 μœ λ‹¬λΆ€ν•˜λŸ‰ μΆ”μ •

ν˜„μž¬ μš°λ¦¬λ‚˜λΌ μ΄λŸ‰κ΄€λ¦¬λŠ” κΈ°μ€€μœ λŸ‰μ‘°κ±΄μ—μ„œ λͺ©ν‘œμˆ˜μ§ˆμ„ λ§Œμ‘±ν•  수 μžˆλŠ” ν—ˆμš©λ°°μΆœλΆ€ν•˜λŸ‰μ„ μ‚°μ •ν•˜κ³  이λ₯Ό ν• λ‹Ήν•˜μ—¬ κ΄€λ¦¬ν•˜λŠ” μ œλ„λ‘œ κΈ°μˆ μ§€μΉ¨μ—μ„œλŠ” κΈ°μ€€μœ λŸ‰μ‘°κ±΄μ˜ λ°°μΆœλΆ€ν•˜λŸ‰ 산정을 μœ„ν•œ λ°°μΆœκ³„μˆ˜λ₯Ό ν•˜λ‚˜μ˜ κ°’μœΌλ‘œ μ •ν•˜κ³  있고 λͺ©ν‘œμˆ˜μ§ˆ λ§Œμ‘±μ—¬λΆ€λ„ κΈ°μ€€μœ λŸ‰ 쑰건의 μ •μƒμƒνƒœ 수질λͺ¨μ˜λ₯Ό 톡해 νŒλ‹¨ν•˜λ„λ‘ ν•˜κ³  μžˆλ‹€.

이처럼 λͺ¨λ“  쑰건이 κΈ°μ€€μœ λŸ‰μ— λ§žμΆ”μ–΄μ Έ μžˆμœΌλ―€λ‘œ μ΄λŸ‰κ΄€λ¦¬ κ³„νšμˆ˜λ¦½ κ³Όμ •μ—μ„œ μˆ˜ν–‰λ˜λŠ” μœ λ‹¬λΆ€ν•˜λŸ‰ 좔정은 식 (2)의 쑰건을 κΈ°μ€€μœ λŸ‰μ— λ§žμΆ”μ–΄ 식 (3)κ³Ό 같이 λ³€ν˜•ν•˜μ—¬ μ μš©ν•  수 μžˆλ‹€. μ΄λ•Œ 기본가정은 1) μ†Œμœ μ—­μ€ ν•˜λ‚˜μ˜ λ°°μΆœμ›μ΄λ©° μ†Œμœ μ—­λ‚΄ λͺ¨λ“  λ°°μΆœμ›μ€ λ™μΌν•œ μœ λ‹¬νŠΉμ„±μ„ κ°€μ§„λ‹€ 2) μœ λ‹¬μœ¨ 산정을 μœ„ν•œ μœ λ‹¬λΆ€ν•˜λŸ‰μ€ μΈ‘μ •μžλ£Œκ°€ μœ λ‹¬κ³Όμ •μ„ μΆ©λΆ„νžˆ λŒ€λ³€ν•œλ‹€ 이며 κΈ°μ€€μœ λŸ‰ 쑰건의 λ°°μΆœλΆ€ν•˜λŸ‰μ€ κΈ°μˆ μ§€μΉ¨μ—μ„œ μ •ν•˜κ³  μžˆλŠ” λ°°μΆœκ³„μˆ˜λ₯Ό μ‚¬μš©ν•˜κ³  κΈ°μ€€μœ λŸ‰μ‘°κ±΄μ˜ μœ λ‹¬μœ¨μ€ μ‹€μΈ‘μžλ£Œλ₯Ό μ΄μš©ν•˜μ—¬ 식 (4)에 따라 μ‚°μ •ν•œλ‹€.

../../Resources/kswe/32-4/images/SJBJB8_2016_v32n4_375_e903.jpg

../../Resources/kswe/32-4/images/SJBJB8_2016_v32n4_375_e904.jpg

μ—¬κΈ°μ„œ, Ξ²sfλŠ” κΈ°μ€€μœ λŸ‰(Standard Flow)쑰건의 BOD와 T-P의 λ°°μΆœκ³„μˆ˜μ΄λ©° 점배좜인 경우 μ €μˆ˜, ν‰μˆ˜ λͺ¨λ‘ 1.0, 비점 배좜인 경우 μ €μˆ˜λŠ” 0.15, ν‰μˆ˜λŠ” 0.5이닀.

κ·Έκ°„ μ΄λŸ‰κ΄€λ¦¬ κ³„νšμˆ˜λ¦½ κ³Όμ •μ—μ„œ μœ λ‹¬μœ¨ 산정을 μœ„ν•΄ λŒ€ν‘œ μ†Œμœ μ—­μ—μ„œ 8일 κ°„κ²©μœΌλ‘œ μ—° 30회 μ΄μƒμ˜ 자료λ₯Ό μ‹€μΈ‘ν•˜κ³  μžˆμœΌλ‚˜, 이 쀑 μ†Œμˆ˜ μ…‹μ§Έμžλ¦¬ 숫자둜 ν‘œν˜„λœ μ΄λŸ‰κ΄€λ¦¬ κΈ°μ€€μœ λŸ‰μ‘°κ±΄μ˜ μΈ‘μ •μžλ£Œμ™€ λ™μΌν•œ 수치의 자료λ₯Ό μ„ νƒν•˜μ—¬ μœ λ‹¬μœ¨μ„ μ‚°μ •ν•˜κΈ°λŠ” 자료의 개수 등에 λ”°λ₯Έ ν•œκ³„κ°€ μ‘΄μž¬ν•œλ‹€. 이런 경우 ν˜„ν–‰ κΈ°μˆ μ§€μΉ¨μ—μ„œ 수질λͺ¨λΈ μ‹œμ‹€μΈ‘μˆ˜μ§ˆκ³Ό λͺ¨μ˜μˆ˜μ§ˆμ˜ ν—ˆμš© μ˜€μ°¨λ²”μœ„ 인 Β±20% 쑰건 등을 μΈμš©ν•˜μ—¬ κΈ°μ€€μœ λŸ‰μ˜ Β±20% 쑰건으둜 μžλ£Œμ„ νƒ λ²”μœ„λ₯Ό ν™•λŒ€ν•œ ν›„ κΈ°μ€€μœ λŸ‰ 쑰건의 자료 개수λ₯Ό 늘릴 수 μžˆλ‹€. ν•˜μ§€λ§Œ, μ΄λŠ” κΈ°μ€€μœ λŸ‰ 쑰건이 μ•„λ‹Œ λ‹€λ₯Έ μœ λŸ‰μ‘°κ±΄μ˜ μžλ£Œκ°€ 선택될 κ°€λŠ₯성이 있으며 λ²”μœ„ν™•μž₯에도 λΆˆκ΅¬ν•˜κ³  μ„ νƒλœ 자료의 κ°œμˆ˜κ°€ λ„ˆλ¬΄ 적어 κΈ°μ€€μœ λŸ‰ 쑰건의 μˆ˜μ§ˆμ„ λŒ€ν‘œν•˜κΈ° μ–΄λ €μš΄ κ²½μš°κ°€ λ°œμƒν•˜λŠ” λ“±μ˜ 문제점이 μžˆμ–΄ μœ λ‹¬μœ¨ 산정이 μ–΄λ €μš΄ 싀정이닀. λ˜ν•œ μ΄λ ‡κ²Œ μ‚°μ •λœ 계츑 μ†Œμœ μ—­μ˜ μœ λ‹¬μœ¨μ€ νŠΉμ • κΈ°μ€€μœ λŸ‰μ—μ„œ 만의 μœ λ‹¬μœ¨μ΄λ―€λ‘œ κΈ°μ€€μœ λŸ‰μ΄ λ‹€λ₯Έ 미계츑 μ†Œμœ μ—­μ— μ μš©ν•˜κΈ°κ°€ μ–΄λ €μš΄ 문제점이 μžˆλ‹€.

λ”°λΌμ„œ, 계츑 μ†Œμœ μ—­μ˜ μΈ‘μ •μžλ£Œ ν•œκ³„λ₯Ό λ³΄μ™„ν•˜κ³  μ‚°μ •λœ μœ λ‹¬μœ¨μ„ μœ λ‹¬ν™˜κ²½μ΄ λ‹€λ₯Έ 미계츑 μ†Œμœ μ—­μ— μ „νŒŒν•  수 μžˆλŠ” λ²”μš©μ  μœ λ‹¬μœ¨ μ‚°μ • 및 적용 방법이 ν•„μš”ν•˜λ‹€.

2.3. λ²”μš©μ  μ΄λŸ‰μœ λ‹¬μœ¨ μ‚°μ • 방법 개발

미계츑 값을 μΆ”μ •ν•˜λŠ” 방법 쀑 νšŒκ·€μ‹μ€ ν•œμͺ½μ˜ λ³€μˆ˜μ—μ„œ λ‹€λ₯Έμͺ½μ˜ λ³€μˆ˜ 값을 μ˜ˆμΈ‘ν•˜κΈ° μœ„ν•œ λ°©μ •μ‹μœΌλ‘œ 두 λ³€μˆ˜μ™€μ˜ 관계가 μ„±λ¦½λ˜λ©΄ ν•©λ¦¬μ μœΌλ‘œ λ―ΈμΈ‘μ • λ³€μˆ˜λ₯Ό μΆ”μ •ν•  수 μžˆλ‹€.

μœ„μ—μ„œ μ–ΈκΈ‰λœ 계츑 μ†Œμœ μ—­μ˜ μΈ‘μ •μžλ£Œ ν•œκ³„λ₯Ό ν•΄κ²°ν•˜κΈ° μœ„ν•΄ μΈ‘μ •λœ λͺ¨λ“  자료λ₯Ό μ΄μš©ν•˜λŠ” λ°©μ•ˆκ³Ό 미계츑 μ†Œμœ μ—­μ˜ μ μš©μ„± κ°•ν™”λ₯Ό μœ„ν•΄ λ²”μš©μ  νšŒκ·€μ‹μ„ λ„μΆœν•˜μ—¬ μ μš©ν•˜λŠ” λ°©μ•ˆμ„ λ§ˆλ ¨ν•˜μ˜€λ‹€. κ·ΈλŸ¬λ‚˜, ν˜„ν–‰ μ΄λŸ‰μ œμ—μ„œ λ°°μΆœλΆ€ν•˜λŸ‰μ€ 연평균일일 μ›λ‹¨μœ„λ‘œλΆ€ν„° μ‚°μ •λœ 평균 κ°œλ…μ˜ λ°°μΆœλΆ€ν•˜λŸ‰μ΄κΈ° λ•Œλ¬Έμ— κ³„μΈ‘λœ λͺ¨λ“  자료λ₯Ό ν™œμš©ν•˜λŠ” 경우 μΈ‘μ •μžλ£Œμ— λŒ€μ‘ν•˜λŠ” μΈ‘μ •μ‹œκΈ°μ˜ λ°°μΆœλΆ€ν•˜λŸ‰μ„ μ‚°μ •ν•  μˆ˜κ°€ μ—†μœΌλ©°, νšŒκ·€μ‹ λ„μΆœμ„ μœ„ν•΄μ„œλŠ” μœ λ‹¬μœ¨μ— 영ν–₯을 μ£ΌλŠ” λ‹€μ–‘ν•œ μš”μΈ 쀑 일뢀λ₯Ό λ³€μˆ˜λ‘œ μ§€μ •ν•΄μ•Ό ν•˜λŠ” ν•œκ³„κ°€ μžˆλ‹€. λ”°λΌμ„œ λ³Έ μ—°κ΅¬μ—μ„œλŠ” λ‹€μŒμ˜ 가정을 κ°€μ§€κ³  μœ λ‹¬μœ¨μ„ μ‚°μ •ν•˜κ³  μ μš©ν•˜μ˜€λ‹€.

  • 1) μ†Œμœ μ—­μ€ ν•˜λ‚˜μ˜ λ°°μΆœμ›μ΄λ©° μ†Œμœ μ—­λ‚΄ λͺ¨λ“  λ°°μΆœμ›μ€ λ™μΌν•œ μœ λ‹¬νŠΉμ„±μ„ κ°€μ§„λ‹€.

  • 2) μ†Œμœ μ—­ λ°°μΆœλΆ€ν•˜λŸ‰μ€ κΈ°μˆ μ§€μΉ¨μ— 따라 μ‚°μ •λœ 연평균 μΌμΌλ°°μΆœλΆ€ν•˜λŸ‰μ„ 일괄 μ μš©ν•œλ‹€.

  • 3) μœ λ‹¬λΆ€ν•˜λŸ‰μ€ μ†Œμœ μ—­ μœ μΆœκ΅¬μ—μ„œ κ°„ν—μ μœΌλ‘œ μΈ‘μ •ν•œ μœ λŸ‰κ³Ό 수질 곱으둜 ν•œλ‹€.

  • 4) μœ λ‹¬ν™˜κ²½μ€ μœ μ—­λ©΄μ κ³Ό μœ λŸ‰μ— κ°€μž₯ λ§Žμ€ 영ν–₯을 λ°›μœΌλ©° μœ λ‹¬μœ¨μ€ 면적에 λ°˜λΉ„λ‘€ν•˜κ³  μœ λŸ‰μ— λΉ„λ‘€ν•œλ‹€.

μœ„ 가정에 따라 μœ λ‹¬λΆ€ν•˜λŸ‰μ„ μ†Œμœ μ—­ 유좜ꡬ의 μΈ‘μ •μžλ£Œλ‘œ μ΄μš©ν•  κ²½μš°λŠ” λ°°μΆœλΆ€ν•˜λŸ‰ μ™Έ μœ λ‹¬κ³Όμ •μ—μ„œ κΈ°μ €μœ μΆœ 및 뢈λͺ…μ˜€μ—Όμ› 등에 μ˜ν•œ μ˜€μ—ΌλΆ€ν•˜λŸ‰μ΄ μΆ”κ°€λ‘œ 포함될 수 μžˆλ‹€. 그리고 μœ λ‹¬ν™˜κ²½μ˜ 경우 일반적 μœ λ‹¬μœ¨μ€ λ°œμƒλœ μ˜€μ—Όλ¬Όμ§ˆμ΄ 흘러 λ‚΄λ €μ˜€λ©΄μ„œ μΌμ–΄λ‚˜λŠ” λ³€ν™”κ³Όμ •μœΌλ‘œ μ΄λ•Œ λ¬Όμ§ˆμˆ˜μ§€ λ³€ν™”λŠ” λŒ€λΆ€λΆ„ 침투, 증발 등에 λ”°λ₯Έ μœ λŸ‰μ˜ κ°μ†Œμ™€ μ˜€μ—Όλ¬Όμ§ˆμ˜ μžμ •μž‘μš©, 흑착 등에 λ”°λ₯Έ λ†λ„κ°μ†Œκ°€ 원인이닀. κ·ΈλŸ¬λ‚˜, μ΄λŸ‰μœ λ‹¬μœ¨μ€ λΆ„λͺ¨κ°€ μ—°ν‰κ· μΌμΌλ°°μΆœλΆ€ν•˜λŸ‰μ΄λ―€λ‘œ 일반적 μœ λ‹¬κ³Όμ •μ˜ μš”μΈκ³Ό ν•¨κ»˜ λ°°μΆœκ³„μˆ˜μ— 영ν–₯을 μ£ΌλŠ” κ°•μš°, ν† μ§€μ΄μš©, μœ μ—­κ²½μ‚¬ 등이 μΆ”κ°€λœλ‹€. ν•˜μ§€λ§Œ, ν˜„ν–‰ μ΄λŸ‰κ΄€λ¦¬κ³„νš 수립 μ‹œ λ°°μΆœκ³„μˆ˜λŠ” κΈ°μˆ μ§€μΉ¨ 상에 μ •ν•˜μ—¬ μ μš©ν•˜κ³  있기 λ•Œλ¬Έμ— λ³Έ μ—°κ΅¬μ—μ„œλŠ” μ΄λŸ‰μœ λ‹¬μœ¨μ— 영ν–₯을 μ£ΌλŠ” 인자둜 μœ λŸ‰κ³Ό 면적을 μ„ νƒν•˜μ˜€λ‹€.

2.3.1. μ΄λŸ‰μœ λ‹¬μœ¨ μ‚°μ • 및 νšŒκ·€μ‹ λ„μΆœ

μ†Œμœ μ—­ λ‚΄μ˜ λͺ¨λ“  λ°°μΆœμ›μœΌλ‘œλΆ€ν„° 배좜된 λΆ€ν•˜λŸ‰μ„ κΈ°μˆ μ§€μΉ¨μ— 따라 μ—°ν‰κ· λ°°μΆœλΆ€ν•˜λŸ‰μœΌλ‘œ μ‚°μ •ν•˜κ³  μ†Œμœ μ—­ μœ μΆœκ΅¬μ— λ„λ‹¬ν•˜λŠ” μœ λ‹¬λΆ€ν•˜λŸ‰μ„ μ‹€μΈ‘ μœ λŸ‰κ³Ό μˆ˜μ§ˆμ„ κ³±ν•˜μ—¬ μ‚°μ •ν•œ ν›„ 식 (5)에 따라 μΈ‘μ • νšŸμˆ˜λ³„ μ΄λŸ‰μœ λ‹¬μœ¨μ„ μ‚°μ •ν•˜μ˜€λ‹€. μ΄λŸ‰μœ λ‹¬μœ¨μ€ μ‹μ˜ λΆ„λͺ¨κ°€ μœ„ κ°€μ •κ³Ό 같이 κΈ°μˆ μ§€μΉ¨μ— λ”°λ₯Έ μ—°ν‰κ· λ°°μΆœλΆ€ν•˜λŸ‰μœΌλ‘œ μΌμ •ν•˜λ‹€λŠ” 것이 νŠΉμ§•μ΄λ‹€.

../../Resources/kswe/32-4/images/SJBJB8_2016_v32n4_375_e905.jpg

μ—¬κΈ°μ„œ, TPLC_DRi은 i번째 μ΄λŸ‰μœ λ‹¬μœ¨μ΄λ©°, DEL LoadiλŠ” i번째 μΈ‘μ •μžλ£Œλ‘œλΆ€ν„° μ‚°μ •λœ μœ λ‹¬λΆ€ν•˜λŸ‰(kg/day)이며, DIS LoadavgλŠ” κΈ°μˆ μ§€μΉ¨ 등에 따라 μ‚°μ •λœ 연평균 λ°°μΆœλΆ€ν•˜λŸ‰(kg/day)이며, Qi 및 CiλŠ” i번째 μΈ‘μ • μœ λŸ‰(m3/day) 및 수질(mg/L)이며, Ξ±avgλŠ” 평균 삭감비(reduction rate)이고 Ξ²avgλŠ” 평균 λ°°μΆœκ³„μˆ˜(=1.0)이닀.

λ―ΈμΈ‘μ • κΈ°κ°„μ˜ μœ λ‹¬μœ¨μ„ λ³΄κ°„ν•˜κ³  μœ λ‹¬ν™˜κ²½μ΄ λ‹€λ₯Έ 미계츑 μ†Œμœ μ—­μ— μ μš©ν•˜κΈ° μœ„ν•΄ κ°œλ³„ μ΄λŸ‰μœ λ‹¬μœ¨κ³Ό μ†Œμœ μ—­ 면적, κ°œλ³„ μœ λŸ‰μ„ μ΄μš©ν•˜μ—¬ 식 (6) λ˜λŠ” 식 (7)에 따라 λ²”μš©μ  μ΄λŸ‰μœ λ‹¬νšŒκ·€μ‹μ„ λ„μΆœν•˜μ˜€λ‹€.

식 (6)은 단일 μ†Œμœ μ—­μ—μ„œ μ‹€μΈ‘μžλ£Œμ˜ λΆ€μ‘±μœΌλ‘œ μΈν•œ λ―Έκ³„μΈ‘κΈ°κ°„μ˜ μœ λ‹¬μœ¨μ„ λ³΄κ°„ν•˜κ³ μž ν•  λ•Œ 주둜 μ‚¬μš©ν•˜λŠ” νšŒκ·€μ‹μœΌλ‘œ λ…λ¦½λ³€μˆ˜λŠ” μœ λŸ‰-면적비(Q/A)이며 식 (7)은 미계츑 κΈ°κ°„μ˜ 보간 뿐 μ•„λ‹ˆλΌ 미계츑 μ†Œμœ μ—­μ— ν™•λŒ€ μ μš©ν•˜κΈ° μœ„ν•΄ μ‚¬μš©ν•˜λŠ” λ‹€μ€‘νšŒκ·€μ‹μœΌλ‘œ λ…λ¦½λ³€μˆ˜λŠ” μœ λŸ‰(Q)κ³Ό 면적(1/A)이며 2개 μ΄μƒμ˜ μ†Œμœ μ—­μ—μ„œ μΈ‘μ •λœ 자료λ₯Ό μ΄μš©ν•˜λ©° ν†΅κ³„ν”„λ‘œκ·Έλž¨μ„ μ΄μš©ν•˜μ—¬ μƒμˆ˜μ™€ μ§€μˆ˜λ₯Ό λ„μΆœν•  수 μžˆλ‹€.

../../Resources/kswe/32-4/images/SJBJB8_2016_v32n4_375_e906.jpg

../../Resources/kswe/32-4/images/SJBJB8_2016_v32n4_375_e907.jpg

μ—¬κΈ°μ„œ, TPLC_DRt 은 μœ λŸ‰κ³Ό 면적이 t 쑰건일 λ•Œ μ΄λŸ‰μœ λ‹¬μœ¨(Ξ²=1)이며 Qt 및 CtλŠ” t 쑰건의 μœ λŸ‰ 및 수질이며 aλŠ” μƒμˆ˜μ΄λ©°, b, cλŠ” μ§€μˆ˜μ΄λ‹€.

이 λ°©λ²•μ˜ νŠΉμ§•μ„ 보면 식 (5)의 λΆ„μžμΈ μœ λ‹¬λΆ€ν•˜λŸ‰μ€ ν•˜μ²œμ˜ μ§€ν•˜μˆ˜ λ“± κΈ°μ €μœ μΆœμ„ ν¬ν•¨ν•˜λŠ” λΆ€ν•˜λŸ‰μ΄λ©° λΆ„λͺ¨μΈ λ°°μΆœλΆ€ν•˜λŸ‰μ€ κΈ°μ €μœ μΆœμ΄ 배제된 μ§€ν‘œλ°°μΆœλΆ€ν•˜λŸ‰μ΄λ―€λ‘œ 식 (5)~(7)에 μ˜ν•΄ μ‚°μ •λœ μ΄λŸ‰μœ λ‹¬μœ¨μ€ ν•΄λ‹Ήμœ μ—­μ˜ κΈ°μ €μœ μΆœμ„ ν¬ν•¨ν•˜κ³  μžˆλ‹€.

λ˜ν•œ, 일반적으둜 μ μ˜€μ—Όλ¬Όμ§ˆμ˜ λ°°μΆœλΆ€ν•˜λŸ‰(μ΄ν•˜ 점배좜)은 κ°•μš°μ— μ˜ν•œ 영ν–₯이 적어 μ‹œκ°„μ— λ”°λ₯Έ λ³€ν™”κ°€ 거의 μ—†μœΌλ‚˜ λΉ„μ μ˜€μ—Όλ¬Όμ§ˆμ˜ λ°°μΆœλΆ€ν•˜λŸ‰(μ΄ν•˜ λΉ„μ λ°°μΆœ)은 κ°•μš°μ— μ˜ν•œ 영ν–₯을 λ°›μ•„ μ‹œκ°„μ— λ”°λ₯Έ λ³€ν™”(μœ λŸ‰μ‘°κ±΄ λ³€ν™”)에 λŒ€ν•œ 영ν–₯이 크기 λ•Œλ¬Έμ— 점배좜과 λΉ„μ λ°°μΆœμ΄ ν•˜μ²œ μˆ˜μ§ˆμ— λ―ΈμΉ˜λŠ” 영ν–₯이 λ‹€λ₯΄μ§€λ§Œ 식 (5)의 λΆ„λͺ¨μΈ λ°°μΆœλΆ€ν•˜λŸ‰μ€ 연평균 점배좜과 연평균 λΉ„μ λ°°μΆœμ˜ λ‹¨μˆœ 합을 μ‚¬μš©ν•˜λ―€λ‘œ ν™˜κ²½κΈ°μ΄ˆμ‹œμ„€κ³Ό 같은 μ£Όμš” 점배좜의 영ν–₯이 큰 μœ μ—­μ—μ„œμ˜ μ μš©μ€ μ ν•©ν•˜μ§€ μ•Šλ‹€. 특히, 토지계λ₯Ό λŒ€ν‘œλ‘œ ν•˜λŠ” λΉ„μ λ°°μΆœμ˜ 경우 μ—°ν‰κ· λ°œμƒλΆ€ν•˜μ›λ‹¨μœ„λ₯Ό μ‚¬μš©ν•˜μ—¬ λ°°μΆœλΆ€ν•˜λŸ‰μ„ μ‚°μ •ν•˜λ―€λ‘œ λΆ„μžμΈ μœ λ‹¬λΆ€ν•˜λŸ‰μ—λŠ” μ‹€μΈ‘ μ‹œμ˜ 점배좜의 μœ λ‹¬λ³€ν™”μ™€ λΉ„μ λ°œμƒλŸ‰μ— λ°°μΆœκ³„μˆ˜λ₯Ό κ³±ν•œ λΉ„μ λ°°μΆœμ˜ μœ λ‹¬λ³€ν™”λ₯Ό 각각 ν¬ν•¨ν•˜κ³  μžˆλ‹€.

2.3.2. μ΄λŸ‰μœ λ‹¬μœ¨μ˜ 적용

μ΄λ ‡κ²Œ μ‚°μ •λœ μ΄λŸ‰μœ λ‹¬νšŒκ·€μ‹μ— μ†Œμœ μ—­μ˜ μ΄λŸ‰κ΄€λ¦¬ κΈ°μ€€μœ λŸ‰κ³Ό 면적을 μž…λ ₯ν•˜λ©΄ κΈ°μ€€μœ λŸ‰ 쑰건의 μ΄λŸ‰μœ λ‹¬μœ¨μ΄ μƒμ„±λœλ‹€. μ΄λŸ‰μœ λ‹¬μœ¨μ€ μ—°ν‰κ· λ°°μΆœλΆ€ν•˜λŸ‰μ„ λΆ„λͺ¨λ‘œ ν•˜μ—¬ μΆ”μ •λ˜μ—ˆκΈ° λ•Œλ¬Έμ— μœ λ‹¬λΆ€ν•˜λŸ‰μ€ 식 (8)κ³Ό 같이 μ—°ν‰κ· λ°°μΆœ λΆ€ν•˜λŸ‰μ— μ΄λŸ‰μœ λ‹¬μœ¨μ„ κ³±ν•˜μ—¬ μ‚°μ •ν•˜μ—¬μ•Ό ν•œλ‹€.

../../Resources/kswe/32-4/images/SJBJB8_2016_v32n4_375_e908.jpg

κ·ΈλŸ¬λ‚˜ μ΄λŸ‰κ΄€λ¦¬μ™€ 같이 λ°°μΆœλΆ€ν•˜λŸ‰μ„ 점, λΉ„μ μœΌλ‘œ κ΅¬λΆ„ν•˜κ³  λ°°μΆœκ³„μˆ˜λ₯Ό μ •ν•˜μ—¬ λ°°μΆœλΆ€ν•˜λŸ‰μ„ μ‚°μ •ν•˜λŠ” νŠΉμ„±μƒ 이런 κ²½μš°μ—λŠ” μ΄λŸ‰μœ λ‹¬μœ¨(식 (6) λ˜λŠ” (7))을 식 (4)와 같은 μΌλ°˜μœ λ‹¬μœ¨λ‘œ μ „ν™˜ν•˜μ—¬ μ μš©ν•˜μ—¬μ•Ό ν•œλ‹€. μ „ν™˜μ‹μ€ μ΄λŸ‰μœ λ‹¬μœ¨μ„ μ‚¬μš©ν•˜λŠ” 식 (9)와 μΌλ°˜μœ λ‹¬μœ¨μ„ μ‚¬μš©ν•˜λŠ” 식 (10)의 μœ λ‹¬λΆ€ν•˜λŸ‰μ€ κ°™κΈ° λ•Œλ¬Έμ— 이 두식을 μ •λ¦¬ν•˜λ©΄ 식 (11)κ³Ό 같이 λœλ‹€.

../../Resources/kswe/32-4/images/SJBJB8_2016_v32n4_375_e909.jpg

../../Resources/kswe/32-4/images/SJBJB8_2016_v32n4_375_e910.jpg

../../Resources/kswe/32-4/images/SJBJB8_2016_v32n4_375_e911.jpg

μ—¬κΈ°μ„œ, P.Load λŠ” λ°œμƒλœ μ˜€μ—ΌλΆ€ν•˜λŸ‰μ— κ°œλ³„μ‚­κ°λœ ν›„ λ°°μΆœν˜•νƒœκ°€ κ°•μš°μ— 영ν–₯을 λ°›μ§€ μ•ŠλŠ” 경우의 λΆ€ν•˜λŸ‰μ΄λ©° NP.LoadλŠ” κ°•μš°μ— 영ν–₯을 λ°›λŠ” λΆ€ν•˜λŸ‰μ΄λ‹€.

3. Results and Discussion

3.1. μˆ˜μ§ˆμœ λŸ‰μžλ£Œ 및 λ°°μΆœλΆ€ν•˜λŸ‰ 쑰사결과

λ³Έ μ—°κ΅¬μ—μ„œλŠ” μ‹€μΈ‘ μœ λ‹¬λΆ€ν•˜λŸ‰ 산정을 μœ„ν•΄ 고촌천, λΆμ•ˆμ²œ, μ‹ λ Ήμ²œ 말단 3개 μ§€μ μ—μ„œ μ΄λŸ‰κ΄€λ¦¬ κ³„νšμˆ˜λ¦½ 및 이행평가(Yeong Cheon City, 2011; 2012; 2013; 2014)λ₯Ό μœ„ν•΄ 2011λ…„λΆ€ν„° 2014λ…„κΉŒμ§€ μΈ‘μ •λœ μ•½ 462개의 수질ο½₯μœ λŸ‰ 자료λ₯Ό ν™œμš©ν•˜μ˜€μœΌλ©°, μΈ‘μ •μžλ£Œμ˜ 평균값 및 ν‘œμ€€νŽΈμ°¨λŠ” Table 2와 κ°™λ‹€.

Table 2.

Average and standard deviation of measurement data

../../Resources/kswe/32-4/images/SJBJB8_2016_v32n4_375_t002.jpg

κ°œλ³„ μœ λ‹¬μœ¨ 산정을 μœ„ν•œ λ°°μΆœλΆ€ν•˜λŸ‰μ€ 2011λ…„λΆ€ν„° 2014λ…„κΉŒμ§€μ˜ 경상뢁도 μ˜μ²œμ‹œ μ΄λŸ‰κ΄€λ¦¬ μ‹œν–‰κ³„νš μ΄ν–‰ν‰κ°€μžλ£Œλ₯Ό ν™œμš©ν•˜μ˜€μœΌλ©° 고촌천, λΆμ•ˆμ²œ, μ‹ λ Ήμ²œ 3개 μ†Œμœ μ—­μ˜ 해당년도별 λ°°μΆœλΆ€ν•˜λŸ‰μ„ μ μš©ν•˜μ˜€λ‹€. λ°°μΆœλΆ€ν•˜λŸ‰ 뢄석결과, 금호A λ‹¨μœ„μœ μ—­μ˜ BOD의 총 λ°°μΆœλΆ€ν•˜λŸ‰μ€ 9,921 kg/day둜 ν† μ§€κ³„μ˜ κΈ°μ—¬μœ¨μ΄ 46.6%, 좕산계 33.9%, μƒν™œκ³„ 19.0%, 산업계 0.4%을 λΉ„μœ¨μ„ μ°¨μ§€ν•˜κ³  μžˆλ‹€. T-P의 총 λ°°μΆœλΆ€ν•˜λŸ‰μ€ 565 kg/day둜 ν† μ§€κ³„μ˜ κΈ°μ—¬μœ¨μ΄ 44.5%, 좕산계 41.5%, μƒν™œκ³„ 13.6%, 산업계 0.4%을 λΉ„μœ¨μ„ μ°¨μ§€ν•˜κ³  μžˆλ‹€. λ°°μΆœλΆ€ν•˜λŸ‰ 뢄석결과 금호A λ‹¨μœ„μœ μ—­μ˜ λ°°μΆœλΆ€ν•˜λŸ‰μ€ μ μ˜€μ—Όμ›μ— λΉ„ν•˜μ—¬ μƒλŒ€μ μœΌλ‘œ λΉ„μ μ˜€μ—Όμ› ν˜•νƒœλ‘œ λ°°μΆœλ˜λŠ” 토지계 및 μΆ•μ‚°κ³„μ˜ κΈ°μ—¬μœ¨μ΄ 높은 λΉ„μœ¨μ„ μ°¨μ§€ν•˜λŠ” κ²ƒμœΌλ‘œ λΆ„μ„λ˜μ—ˆλ‹€.

3.2. μ΄λŸ‰μœ λ‹¬ νšŒκ·€μ‹ λ„μΆœ

3개 μ†Œμœ μ—­μ—μ„œ μΈ‘μ •λœ 462개의 수질 및 μœ λŸ‰κ³Ό κΈ°μˆ μ§€μΉ¨μ— 따라 μ‚°μ •λœ μ—°ν‰κ· μΌμΌλ°°μΆœλΆ€ν•˜λŸ‰μ„ ν† λŒ€λ‘œ 식 (5)에 따라 μΈ‘μ •μžλ£Œλ³„ μ΄λŸ‰μœ λ‹¬μœ¨μ„ μ‚°μ •ν•œ κ²°κ³ΌλŠ” Table 3κ³Ό κ°™μœΌλ©° μ‹€μΈ‘μœ λŸ‰ 0.023~6.649 m3/sec λ²”μœ„μ—μ„œ μ‚°μ •λœ μ΄λŸ‰μœ λ‹¬μœ¨μ€ BOD 0.002~0.683, T-N 0.009~2.826, T-P 0.001~0.494 λ²”μœ„λ₯Ό λ‚˜νƒ€λƒˆλ‹€.

Table 3.

Delivery ratios of measuring data

../../Resources/kswe/32-4/images/SJBJB8_2016_v32n4_375_t003.jpg

T-N의 경우 BOD와 T-P에 λΉ„ν•΄ μœ λ‹¬μœ¨μ˜ 변동 λ²”μœ„κ°€ 크게 λ‚˜νƒ€λ‚¬μœΌλ©°, μœ λ‹¬μœ¨μ΄ 1을 μ΄ˆκ³Όν•˜λŠ” 결과값이 μ‚°μ •λ˜κΈ°λ„ ν•˜μ˜€λ‹€. μœ λ‹¬μœ¨μ΄ 1을 μ΄ˆκ³Όν•œλ‹€λŠ” 것은 κΈ°μˆ μ§€μΉ¨μ— 따라 μ‚°μ •λœ μ—°ν‰κ· μΌμΌλ°°μΆœλΆ€ν•˜λŸ‰ 보닀 μ‹€μΈ‘λœ μœ λ‹¬λΆ€ν•˜λŸ‰μ΄ 더 λ§Žμ„ 경우λ₯Ό μ˜λ―Έν•˜λŠ”λ°, Shon et al. (2009)의 연ꡬ에 μ˜ν•˜λ©΄ T-N의 경우 λ‹€λ₯Έ μ˜€μ—Όμ›μ— λΉ„ν•΄ μœ λ‹¬μœ¨μ΄ 큰변동을 λ‚˜νƒ€λ‚΄λŠ” 이유둜 μ§€ν•˜μˆ˜ λ“± κΈ°μ €μœ μΆœμ—μ„œ κΈ°μΈν•˜λŠ” μ§ˆμ†Œμ˜ 배경농도가 λ†’μŒμ—λ„ λΆˆκ΅¬ν•˜κ³  ν˜„ν–‰ μ˜€μ—ΌλΆ€ν•˜λŸ‰ μ‚°μ •λ°©μ‹μ—λŠ” μ˜€μ—Όλ¬Όμ§ˆμ˜ 배경농도λ₯Ό κ³ λ €ν•  수 μ—†κΈ° λ•Œλ¬ΈμœΌλ‘œ νŒλ‹¨ν•˜κ³  μžˆλ‹€.

μ‹€μΈ‘μžλ£Œλ‘œλΆ€ν„° μ‚°μ •λœ μ΄λŸ‰μœ λ‹¬μœ¨μ„ ν† λŒ€λ‘œ 식 (6)에 따라 μœ λŸ‰-면적비(Q/A)와 κ°œλ³„ μ΄λŸ‰μœ λ‹¬μœ¨(TPLC_DRt)의 관계λ₯Ό 3개의 μ†Œμœ μ—­λ³„λ‘œ 도식화(Fig. 2)ν•˜μ—¬ κ±°λ“­μ œκ³± ν˜•νƒœμ˜ νšŒκ·€μ‹μ„ λ„μΆœν•œ κ²°κ³ΌλŠ” Table 4와 κ°™μœΌλ©°, μœ λŸ‰-면적비와 κ°œλ³„ μ΄λŸ‰μœ λ‹¬μœ¨ κ°„ 상관성을 λ‚˜νƒ€λ‚΄λŠ” κ²°μ •κ³„μˆ˜(R2)λŠ” T-N 0.80~0.89, BOD 0.78~0.88, T-P 0.70~0.76 순으둜 λ‚˜νƒ€λ‚¬λ‹€. Choi et al, (2012)λŠ” R2κ°€ 0.6 이상이면 νšŒκ·€μ‹μ˜ 좔세값을 잘 λ°˜μ˜ν•œλ‹€κ³  μ œμ•ˆν•˜μ˜€λŠ”λ° 이와 같은 μ„ ν–‰μ—°κ΅¬λ“€μ˜ μ œμ•ˆμ„ λ°”νƒ•μœΌλ‘œ λ³Ό λ•Œ μ‹€μΈ‘μžλ£Œλ‘œλΆ€ν„° μ‚°μ •ν•œ μ΄λŸ‰μœ λ‹¬μœ¨κ³Ό μœ λŸ‰-λ©΄μ λΉ„μ™€μ˜ νšŒκ·€μ‹μ€ 동 μ†Œμœ μ—­μ˜ 미계츑 κΈ°κ°„ μ΄λŸ‰μœ λ‹¬μœ¨μ„ μΆ”μ •ν•  수 μžˆμ„ κ²ƒμœΌλ‘œ νŒλ‹¨λœλ‹€.

Fig. 2.

Relationship between (Q/A) and TPLC_DR at Geumho A.

../../Resources/kswe/32-4/images/SJBJB8_2016_v32n4_375_f002.jpg
Table 4.

Regression equations for delivery ratios

../../Resources/kswe/32-4/images/SJBJB8_2016_v32n4_375_t004.jpg

ν•˜μ§€λ§Œ, μ‹€μΈ‘μžλ£Œκ°€ ν™•λ³΄λ˜μ§€ μ•Šμ€ 미계츑 μ†Œμœ μ—­μ— μ μš©ν•˜κΈ° μœ„ν•΄μ„œλŠ” 보닀 λ§Žμ€ 자료의 확보와 톡계적인 접근이 ν•„μš”ν•˜λ‹€. λ”°λΌμ„œ λ³Έ μ—°κ΅¬μ—μ„œλŠ” 식 (7) ν˜•νƒœμ˜ λ‹€μ€‘νšŒκ·€μ‹μ„ λ„μΆœν•˜κΈ° μœ„ν•˜μ—¬ 고촌천, λΆμ•ˆμ²œ, μ‹ λ Ήμ²œ 3개 μ§€μ μ—μ„œ μΈ‘μ •λœ λͺ¨λ“  자료λ₯Ό μ·¨ν•©ν•˜μ—¬ SPSS ν†΅κ³„ν”„λ‘œκ·Έλž¨μ„ ν™œμš©ν•˜μ—¬ λΉ„μ„ ν˜• λ‹€μ€‘νšŒκ·€λΆ„μ„μ„ 톡해 μƒμˆ˜μ™€ μ§€μˆ˜λ₯Ό μ‚°μ •ν•˜κ³  νšŒκ·€μ‹μ„ λ„μΆœν•˜μ˜€λ‹€. κ·Έ κ²°κ³Ό BOD의 a, b, cλŠ” 각각 8.571, 1.040, 0.931둜 λ‚˜νƒ€λ‚¬μœΌλ©° T-NλŠ” 각각 0.051, 0.999, -0.381둜 λ‚˜νƒ€λ‚¬μœΌλ©° T-PλŠ” 11.573, 0.871, 1.029둜 λ‚˜νƒ€λ‚¬λ‹€(Table 5).

Table 5.

Result of nonlinear regression analysis

../../Resources/kswe/32-4/images/SJBJB8_2016_v32n4_375_t005.jpg

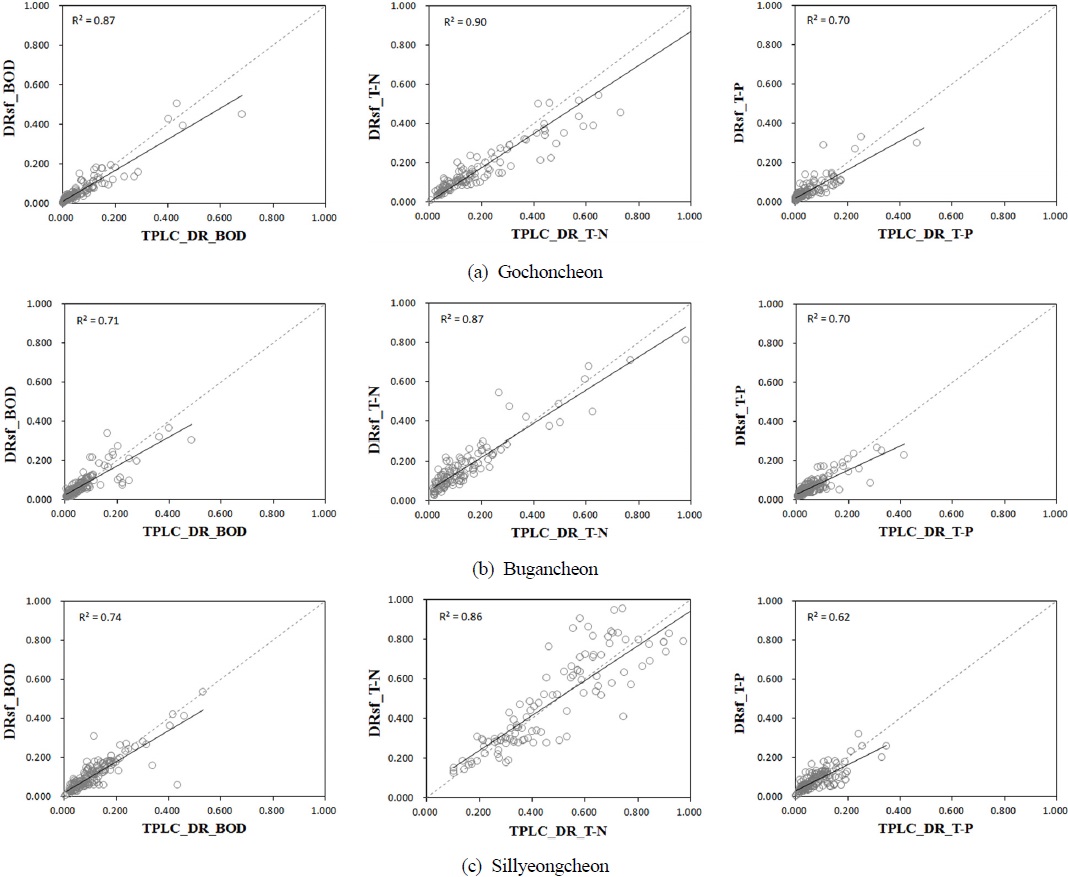
λ„μΆœλœ νšŒκ·€μ‹(Table 5)의 μ μš©μ„±μ„ ν‰κ°€ν•˜κΈ° μœ„ν•΄ 고촌천, λΆμ•ˆμ²œ, μ‹ λ Ήμ²œ 3개 μœ μ—­μ— λŒ€ν•΄ λ™μΌν•œ μ‹€μΈ‘μœ λŸ‰ μ‘°κ±΄μ—μ„œ μ‚°μ •ν•œ κ°œλ³„ μ΄λŸ‰μœ λ‹¬μœ¨(TPLC_DRi)κ³Ό Table 5μ—μ„œ λ„μΆœλœ μ΄λŸ‰μœ λ‹¬ νšŒκ·€μ‹μœΌλ‘œ μ‚°μ •ν•œ μ΄λŸ‰μœ λ‹¬μœ¨(TPLC_DRt)과의 상관관계λ₯Ό κ·Έλž˜ν”„λ‘œ λ„μ‹ν™”ν•˜μ˜€λ‹€(Fig. 3). κ·Έ κ²°κ³Ό, κ²°μ •κ³„μˆ˜(R2)λŠ” T-N 0.86~0.90, BOD 0.71~0.87, T-P 0.62~0.70 순으둜 λ³Έ μ—°κ΅¬μ—μ„œ μ œμ‹œν•œ 식 (7) ν˜•νƒœμ˜ λΉ„μ„ ν˜• λ‹€μ€‘νšŒκ·€λΆ„μ„μ„ 톡해 λ„μΆœν•œ νšŒκ·€μ‹μ˜ μ μš©μ„±μ€ 높은 κ²ƒμœΌλ‘œ νŒλ‹¨λ˜μ–΄ μ΄λŸ‰μœ λ‹¬μœ¨μ„ ν•©λ¦¬μ μœΌλ‘œ μΆ”μ •ν•  수 μžˆμ„ κ²ƒμœΌλ‘œ νŒλ‹¨λœλ‹€. λ˜ν•œ 보닀 μ •ν™•ν•œ μ΄λŸ‰μœ λ‹¬μœ¨ 좔정을 μœ„ν•΄ μœ λŸ‰μ‘°κ±΄ λ“± μΈ‘μ • λ²”μœ„κ°€ ν™•λŒ€λ˜μ–΄μ•Ό ν•  κ²ƒμœΌλ‘œ νŒλ‹¨λœλ‹€.

Fig. 3.

Relationship between TPLC_DR and DRsf at Geumho A.

../../Resources/kswe/32-4/images/SJBJB8_2016_v32n4_375_f003.jpg

3.3. μ΄λŸ‰κ΄€λ¦¬ κΈ°μ€€μœ λŸ‰μ—μ„œμ˜ μœ λ‹¬μœ¨ μ‚°μ •

금호A λ‹¨μœ„μœ μ—­ λ‚΄ 10개 μ†Œμœ μ—­μ„ λŒ€μƒμœΌλ‘œ κΈ°μ€€μœ λŸ‰μ‘°κ±΄ μœ λ‹¬λΆ€ν•˜λŸ‰ 산정을 μœ„ν•΄ λΉ„μ„ ν˜• λ‹€μ€‘νšŒκ·€λΆ„μ„μ„ 톡해 λ„μΆœν•œ νšŒκ·€μ‹μ— μ†Œμœ μ—­λ³„ κΈ°μ€€μœ λŸ‰κ³Ό λͺ©ν‘œμˆ˜μ§ˆμ„ λŒ€μž…ν•˜μ—¬ μ΄λŸ‰μœ λ‹¬μœ¨μ„ λ„μΆœν•˜κ³  이λ₯Ό 식 (11)에 따라 μΌλ°˜μœ λ‹¬μœ¨λ‘œ μ „ν™˜ν•˜μ—¬ μ†Œμœ μ—­λ³„ μœ λ‹¬μœ¨μ„ μ‚°μ •ν•˜μ˜€λ‹€(Table 6, 7). μ΄λ•Œ μ†Œμœ μ—­λ³„ κΈ°μ€€μœ λŸ‰κ³Ό 점 및 비점 λ°°μΆœλΆ€ν•˜λŸ‰μ€ 경상뢁도 μ˜€μ—Όμ΄λŸ‰κ΄€λ¦¬ 3단계 κΈ°λ³Έκ³„νš(Gyeongsanbuk-do, 2015)의 값을 μ μš©ν•˜μ˜€λ‹€.

Table 6.

Delivery ratios of standard flow (Q275)

../../Resources/kswe/32-4/images/SJBJB8_2016_v32n4_375_t006.jpg
Table 7.

Delivery ratios of standard flow (Q185)

../../Resources/kswe/32-4/images/SJBJB8_2016_v32n4_375_t007.jpg

금호A λ‹¨μœ„μœ μ—­μ˜ μœ λ‹¬μœ¨ μ‚°μ •κ²°κ³Ό 쀑 μ΅œμƒλ₯˜μ— μœ„μΉ˜ν•˜κ³  μžˆλŠ” 금호A01 μ†Œμœ μ—­μ˜ 결과값을 λŒ€ν‘œμ μœΌλ‘œ ν•΄μ„ν•˜λ©΄ μ΄λŸ‰κ΄€λ¦¬ κΈ°μ€€μœ λŸ‰ 쀑 μ €μˆ˜λŸ‰ μ‘°κ±΄μ—μ„œ μ΄λŸ‰μœ λ‹¬μœ¨μ€ BOD 0.040, T-N 0.168, T-P 0.037둜 μΆ”μ •λ˜μ—ˆμœΌλ©°, 이λ₯Ό μΌλ°˜μœ λ‹¬μœ¨λ‘œ ν™˜μ‚°ν•˜λ©° BOD 0.157, T-N 0.915, T-P 0.180이 λœλ‹€. λ˜ν•œ ν‰μˆ˜λŸ‰ μ‘°κ±΄μ—μ„œ μ΄λŸ‰μœ λ‹¬μœ¨μ€ BOD 0.141, T-N 0.569, T-P 0.107둜 μΆ”μ •λ˜μ—ˆμœΌλ©° 이λ₯Ό μΌλ°˜μœ λ‹¬μœ¨λ‘œ ν™˜μ‚°ν•˜λ©° BOD 0.252, T-N 1.094, T-P 0.201이 λœλ‹€.

이처럼 μ΄λŸ‰κ΄€λ¦¬κ³„νš μˆ˜λ¦½μ„ μœ„ν•΄ μ΄μš©λ˜λŠ” μ΄λŸ‰μœ λ‹¬μœ¨μ€ 일반적으둜 ν†΅μš©λ˜λŠ” μœ λ‹¬μœ¨κ³Ό μ˜λ―Έκ°€ λ‹€λ₯Έλ° μœ„μ—μ„œ μ–ΈκΈ‰ν•œ 바와 같이 μ΄λŸ‰μœ λ‹¬μœ¨μ€ λ°°μΆœκ³„μˆ˜λ₯Ό ν¬ν•¨ν•œ μœ λ‹¬μœ¨μ„ λ§ν•˜λ©° μœ λ‹¬μœ¨ μ •μ˜μ— λ”°λ₯Έ 일반적 μœ λ‹¬μœ¨μ€ 순수 μœ λ‹¬μœ¨λ§Œμ„ ν¬ν•¨ν•˜κ³  μžˆμ–΄ μˆ˜μ‹μ μœΌλ‘œλŠ” λ°°μΆœκ³„μˆ˜ λ“±μœΌλ‘œ 인해 μ΄λŸ‰μœ λ‹¬μœ¨μ€ μΌλ°˜μœ λ‹¬μœ¨ 보닀 적은 수치둜 ν‘œν˜„λœλ‹€.

λ”°λΌμ„œ μ΄λŸ‰κ΄€λ¦¬κ³„νš λ“±μ—μ„œ μœ λ‹¬μœ¨μ„ μ΄μš©ν•˜λŠ” κ²½μš°μ—λŠ” λͺ…칭을 λͺ…ν™•νžˆ ν‘œκΈ°ν•  ν•„μš”κ°€ μžˆλ‹€. λ˜ν•œ μ΄λŸ‰κ΄€λ¦¬ κΈ°μ€€μœ λŸ‰ 인 μ €μˆ˜λŸ‰ 및 ν‰μˆ˜λŸ‰ μ™Έμ˜ μœ λ‹¬μœ¨μ„ μΆ”μ •ν•˜κ³ μž ν•˜λŠ” κ²½μš°μ—λŠ” μ μ ˆν•œ λ°°μΆœκ³„μˆ˜λ₯Ό κ³ λ €ν•˜μ—¬μ•Ό ν•  κ²ƒμœΌλ‘œ νŒλ‹¨λœλ‹€.

4. Conclusion

λ³Έ μ—°κ΅¬μ—μ„œλŠ” μœ λ‹¬κ³Όμ •μ˜ λ¬Όμ§ˆμˆ˜μ§€ μž¬ν˜„μ„ μœ„ν•œ μœ λ‹¬μœ¨ λ„μΆœλ°©λ²•μ„ κ²€ν† ν•˜κ³  μ΄λŸ‰κ΄€λ¦¬ κ³„νšμˆ˜λ¦½μ— μ ν•©ν•œ μœ λ‹¬μœ¨ 산정방법을 λ§ˆλ ¨ν•˜μ—¬ λ‚™λ™κ°•μˆ˜κ³„ 금호A λ‹¨μœ„μœ μ—­μ— μ μš©Β·κ²€μ¦ ν•΄λ΄„μœΌλ‘œμ¨ μ΄λŸ‰κ΄€λ¦¬ κ³„νšμˆ˜λ¦½ μ‹œ μœ λ‹¬λΆ€ν•˜λŸ‰ 산정에 도움이 λ˜κ³ μžν•˜μ˜€μœΌλ©° κ·Έ κ²°κ³ΌλŠ” λ‹€μŒκ³Ό κ°™λ‹€.

  • 1) μ‹€μΈ‘μžλ£Œμ— μ˜ν•œ μœ λ‹¬λΆ€ν•˜λŸ‰κ³Ό κΈ°μˆ μ§€μΉ¨μ— 따라 μ‚°μ •λœ λ°°μΆœλΆ€ν•˜λŸ‰μ„ μ΄μš©ν•˜μ—¬ 금호A λ‹¨μœ„μœ μ—­ λ‚΄ 고촌천, λΆμ•ˆμ²œ, μ‹ λ Ήμ²œ μ†Œμœ μ—­μ˜ κ°œλ³„(μ‹€μΈ‘μžλ£Œλ³„) μ΄λŸ‰μœ λ‹¬μœ¨μ„ μ‚°μ •ν•˜μ˜€μœΌλ©°, κ·Έ κ²°κ³ΌλŠ” μ‹€μΈ‘μœ λŸ‰ 0.023~6.649 m3/secλ²”μœ„μ—μ„œ μ΄λŸ‰μœ λ‹¬μœ¨μ€ BOD 0.002~0.683, T-N 0.009~2.826, T-P 0.001~0.494 λ²”μœ„λ₯Ό λ‚˜νƒ€λƒˆλ‹€.

  • 2) 미계츑 μœ μ—­μ˜ μœ λ‹¬μœ¨ 산정을 λͺ©μ μœΌλ‘œ λ³Έ μ—°κ΅¬μ—μ„œ λ„μΆœν•œ μœ λ‹¬νšŒκ·€μ‹μ˜ 검증을 μœ„ν•΄ 고촌천, λΆμ•ˆμ²œ, μ‹ λ Ήμ²œ 3개 μœ μ—­μ— λŒ€ν•΄ λ™μΌν•œ μ‹€μΈ‘μœ λŸ‰ μ‘°κ±΄μ—μ„œ μ‚°μ •ν•œ κ°œλ³„ μ΄λŸ‰μœ λ‹¬μœ¨κ³Ό μœ λ‹¬μœ¨ νšŒκ·€μ‹μœΌλ‘œ μ‚°μ •ν•œ μΆ”μ • μ΄λŸ‰μœ λ‹¬μœ¨κ³Όμ˜ 상관관계λ₯Ό λΆ„μ„ν•œ κ²°κ³Ό, κ²°μ •κ³„μˆ˜(R2)λŠ” T-N 0.86~0.90, BOD 0.71~0.87, T-P 0.62~0.69 순으둜 λ‚˜νƒ€λ‚˜ λ„μΆœλœ νšŒκ·€μ‹μ˜ 적합성은 높은 κ²ƒμœΌλ‘œ νŒλ‹¨λœλ‹€.

  • 3) μœ λ‹¬νšŒκ·€μ‹μ„ 톡해 μΆ”μ •ν•œ μ΄λŸ‰μœ λ‹¬μœ¨μ„ μΌλ°˜μœ λ‹¬μœ¨λ‘œ ν™˜μ‚°ν•œ κ²°κ³Ό 금호A 01 μ†Œμœ μ—­μ˜ κΈ°μ€€μœ λŸ‰ 쀑 μ €μˆ˜λŸ‰ 쑰건 μ΄λŸ‰μœ λ‹¬μœ¨μ€ BOD 0.040, T-N 0.168, T-P 0.037둜 μΆ”μ •λ˜μ—ˆμœΌλ©° 이λ₯Ό μΌλ°˜μœ λ‹¬μœ¨λ‘œ ν™˜μ‚°ν•˜λ©° BOD 0.157, T-N 0.915, T-P 0.180으둜 λ‚˜νƒ€λ‚¬λ‹€.

  • 4) μ΄λŸ‰μœ λ‹¬μœ¨μ€ μœ λ‹¬μœ¨ μ™Έ λ°°μΆœκ³„μˆ˜λ₯Ό ν¬ν•¨ν•˜κ³  μžˆμ–΄ 순수 μœ λ‹¬μœ¨ λ§Œμ„ κ³ λ €ν•˜λŠ” μΌλ°˜μœ λ‹¬μœ¨κ³ΌλŠ” μ˜λ―Έκ°€ λ‹€λ₯΄λ―€λ‘œ μ΄λŸ‰κ΄€λ¦¬κ³„νš 수립 λ“±μ—μ„œ μœ λ‹¬μœ¨μ„ μ΄μš©ν•˜λŠ” κ²½μš°μ—λŠ” λͺ…칭을 λͺ…ν™•νžˆ ν‘œκΈ°ν•  ν•„μš”κ°€ 있으며 μ΄λŸ‰κ΄€λ¦¬ κΈ°μ€€μœ λŸ‰ 인 μ €μˆ˜λŸ‰ 및 ν‰μˆ˜λŸ‰ μ™Έμ˜ μœ λ‹¬μœ¨μ„ μΆ”μ •ν•˜κ³ μž ν•˜λŠ” κ²½μš°μ—λŠ” μ μ ˆν•œ λ°°μΆœκ³„μˆ˜κ°€ κ³ λ €ν•˜μ—¬μ•Ό ν•  κ²ƒμœΌλ‘œ νŒλ‹¨λœλ‹€.

  • 5) λ³Έ μ—°κ΅¬μ—μ„œ μ œμ‹œν•œ μœ λ‹¬μœ¨ μΆ”μ •λ°©λ²•μ˜ 뢄석결과, μ‹€μΈ‘μžλ£Œκ°€ μ—†λŠ” 미계츑 μœ μ—­ 및 μ΄λŸ‰κ΄€λ¦¬ κΈ°μ€€μœ λŸ‰ 쑰건의 μœ λ‹¬μœ¨ μ‚°μ • μ‹œ 합리적인 μœ λ‹¬μœ¨ 산정이 κ°€λŠ₯ν•  κ²ƒμœΌλ‘œ νŒλ‹¨λœλ‹€. μœ λ‹¬μœ¨μ€ μœ λ‹¬λΆ€ν•˜λŸ‰μ„ μΆ”μ •ν•˜μ—¬ μ΄λŸ‰κ΄€λ¦¬ κ³„νš 수립 μ‹œ 수질λͺ¨λΈμ˜ μž…λ ₯자료둜 ν™œμš©λ˜λ―€λ‘œ κ³Όμ†Œ λ˜λŠ” κ³ΌλŒ€ μ‚°μ •λ˜λ©΄ 수질λͺ¨λΈ 적용 μ‹œ λ¬΄λ¦¬ν•œ λ§€κ°œλ³€μˆ˜λ₯Ό μ μš©ν•˜κ²Œ 되고, μ˜€μ—ΌλΆ€ν•˜λŸ‰κ³Ό ν•˜μ²œμˆ˜μ§ˆ κ°„μ˜ λ°˜μ‘μ΄ λΉ„ν˜„μ‹€μ μœΌλ‘œ λ‚˜νƒ€λ‚˜λŠ” κ²°κ³Όλ₯Ό μ΄ˆλž˜ν•  수 μžˆλ‹€. λ”°λΌμ„œ ν–₯ν›„ λ‹€μ–‘ν•œ μœ μ—­μ„ λŒ€μƒμœΌλ‘œ λ³Έ μ—°κ΅¬μ—μ„œ μ œμ‹œν•œ μœ λ‹¬μœ¨ 좔정방법에 λŒ€ν•œ 검증과 μ΄λŸ‰κ΄€λ¦¬ κ³„νš 수립 μ‹œ μ μš©ν•˜κ³  μžˆλŠ” 수질λͺ¨λΈκ³Ό μ—°κ³„ν•œ 검증 연ꡬ가 ν•„μš”ν•  κ²ƒμœΌλ‘œ νŒλ‹¨λœλ‹€.

References

1 
(2012), Estimation of Pollutant Load Delivery Ratio for Flow Duration Using L-Q Equation from the Oenam-cheon watershed on Junam Lake, Journal of the Environmental Sciences, Choi, D. H., Jung, J. W., Lee, K. S., Choi, Y. J., Yoon, K. S., Cho, S. H., Park, H. N., Lim, B. J., and Chang, N. I. (2012). Estimation of Pollutant Load Delivery Ratio for Flow Duration Using L-Q Equation from the Oenam-cheon watershed on Junam Lake, Journal of the Environmental Sciences, 21(1), pp 31-39. [Korean Literature], Vol. 21, No. 1, pp. 31-39DOI
2 
(2015), The Third Stage Basic Plan of Gyeongsanbuk-do TMDL in Nakdong River, Gyeongsanbuk-do. (2015). The Third Stage Basic Plan of Gyeongsanbuk-do TMDL in Nakdong River, Gyeongsanbuk-do, pp. 7-8. [Korean Literature], pp. 7-8Google Search
3 
(2015), Study on Estimation and Application of Discharge Coefficient about Nonpoint Source Pollutants using Watershed Model, Journal of Korean Society on Water Environment, Hwang, H. S., Rhee, H. P., Park, J. H., Kim, Y. S., Lee, S. J., and Ahn, K. H. (2015). Study on Estimation and Application of Discharge Coefficient about Nonpoint Source Pollutants using Watershed Model, Journal of Korean Society on Water Environment, 31(6), pp. 653-664. [Korean Literature], Vol. 31, No. 6, pp. 653-664DOI
4 
(2012), Evaluation of Flow-Pollutant Load Delivery Ratio Equation on Main Subwatersheds within Junam Lake, Journal of the Environmental Sciences, Jung, J. W., Lim, B. J., Choi, D. H., Choi, Y. J., Lee, K. S., Kim, Y. J., Kim, K. S., Chang, N. I., and Yoon, K. S. (2012). Evaluation of Flow-Pollutant Load Delivery Ratio Equation on Main Subwatersheds within Junam Lake, Journal of the Environmental Sciences, 21(10), pp. 1235-1244. [Korean Literature], Vol. 21, No. 10, pp. 1235-1244DOI
5 
(2010), A Study Calculating of Delivery Ratio Daily WinHSPF/BASINS Model, Journal of Korean Society of Water Science and Technology, Kang, J. H., Hong, J. J., Kim, S. G., Son, M. S., Lee, Y. J., and Lim, B. J. (2010) A Study Calculating of Delivery Ratio Daily WinHSPF/BASINS Model, Journal of Korean Society of Water Science and Technology, 18(5), pp. 19-28. [Korean Literature], Vol. 18, No. 5, pp. 19-28Google Search
6 
(2014), The technical guideline for Total water Pollutant Load Management System, National Institute of Environmental Research. (2014). The technical guideline for Total water Pollutant Load Management System, National Institute of Environmental Research. [Korean Literature]Google Search
7 
(2012), Estimation of Delivery Ratio Based on BASINS/HSPF Model for Total Maximum Daily Load, Journal of Korean Society on Water Environment, Park, J. H., Hwang, H. S., Rhew, D. H., and Kwong, O. S. (2012). Estimation of Delivery Ratio Based on BASINS/HSPF Model for Total Maximum Daily Load, Journal of Korean Society on Water Environment, 28(6), pp. 833-842. [Korean Literature], Vol. 28, No. 6, pp. 833-842Google Search
8 
(2013), Application of Load Duration Using Discharge-Load Rating Curve at Jiseok Stream Watershed, Journal of Korean Society on Water Environment, Park, J. W., Kim, K. S., Hwang, K. S., Lee, Y. W., and Lim, B. J. (2013). Application of Load Duration Using Discharge-Load Rating Curve at Jiseok Stream Watershed, Journal of Korean Society on Water Environment, 29(4), pp. 523-530. [Korean Literature], Vol. 29, No. 4, pp. 523-530Google Search
9 
(2009), A Study on Estimation of the Delivery Ratio by Flow Duration in a Small-Scale Test Bed for Managing TMDL in Nakdong River, Journal of Korean Society on Water Environment, Shon, T. S., Park, J. B., and Shin, H. S. (2009). A Study on Estimation of the Delivery Ratio by Flow Duration in a Small-Scale Test Bed for Managing TMDL in Nakdong River, Journal of Korean Society on Water Environment, 25(5), pp. 792-802. [Korean Literature], Vol. 25, No. 5, pp. 792-802Google Search
10 
(2011), The Implementation Report for Total Water Pollutant Load Management System Action Plan., Yeong Cheon City. (2011). The Implementation Report for Total Water Pollutant Load Management System Action Plan. Yeong Cheon City. [Korean Literature]Google Search
11 
(2012), The Implementation Report for Total Water Pollutant Load Management System Action Plan., Yeong Cheon City. (2012). The Implementation Report for Total Water Pollutant Load Management System Action Plan. Yeong Cheon City. [Korean Literature]Google Search
12 
(2013), The Implementation Report for Total Water Pollutant Load Management System Action Plan., Yeong Cheon City. (2013). The Implementation Report for Total Water Pollutant Load Management System Action Plan. Yeong Cheon City. [Korean Literature]Google Search
13 
(2014), The Implementation Report for Total Water Pollutant Load Management System Action Plan., Yeong Cheon City. (2014). The Implementation Report for Total Water Pollutant Load Management System Action Plan. Yeong Cheon City. [Korean Literature]Google Search