정세웅
(Se-Woong Chung)
*†
유지수
(Ji-Su Yoo)
*
박형석
(Hyung-Seok Park)
*
SchladowS. Geoffrey
(S. Geoffrey Schladow)
**
Copyright © 2016, Korean Society on Water Environment
Key words
CO2 emission, Eutrophic reservoirs, Green house gases, Net Atmospheric Flux, Temperate monsoon region
1. Introduction
지난 200년간 대기 중 이산화탄소(CO2) 농도의 지속적인 증가(280ppm→380ppm)와 이에 따른 기후변화는 전 지구 규모의 탄소 순환 해석을 위한 다양한 연구를 파생시켰다. 지구
규모의 탄소순환 연구는 대부분 육상계와 해양계로 이분화 하여 탄소의 흡수량과 배출량을 산정하였으며, 육상계에서는 산림, 초지, 농경지, 습지와 같은
토지피복만을 대상으로 하여 하천, 호수, 저수지와 같은 육상 담수(Inland waters)의 기능을 고려하지 않았다. 그러나, Battin et al.(2009)은 전 지구적인 탄소 순환 해석을 통해 그 동안 간과했던 육상 담수의 중요성을 새롭게 제시한 바 있다. 즉, 전체 지구표면의 약 2% (Wetzel, 2001)에 불과한 육상 담수는 연간 약 1.2 Pg C/yr의 탄소를 대기 중으로 배출하며, 이양은 육상계 전체가 흡수하는 대기 중 탄소량 2.2 Pg C/yr의
약 50%에 해당한다.
육상 담수에서 탄소의 물질수지에 관한 연구는 기후대에 따라 한대(boreal) 지역(Huttunen et al., 2002; Tremblay et al., 2005), 온대(temperate) 지역(Soumis et al., 2004; Therrien et al., 2005), 그리고 열대(tropical) 지역(Abril et al., 2005; Delmas et al., 2001; Guerin et al., 2006; Kemenes et al., 2007; Santos et al., 2006)의 호수와 저수지에서 다양하게 이루어져 왔다.Louis et al. (2000)의 연구결과에 의하면, 캐나다, 미국, 핀란드 등 중위도에 위치한 온대 저수지들로부터 CO2 순 대기 배출 플럭스(Net Atmospheric Flux, NAF)는 평균 1,400 mg-CO2 m-2day-1로 산정되었다. 그러나, 지구 전체의 육상 담수로 부터 CO2 총배출량을 정량적으로 산정하기 위해서는 육상에 분포하는 담수의 면적과 기체 전달속도에 대한 산정 과정에서 많은 불확실성이 있었다. 이를 개선하기
위해 Raymond et al. (2013)은 육상 담수로 부터 탄소배출량 산정의 정확도를 높이기 위해 전지구적 규모를 대상으로 담수 수면적과 기체 전달속도를 산정하여 제시하고 하천과 저수지로부터의
CO2 배출량을 구분하여 제시한 바 있다. 또한 Hanson et al. (2014)은 육상 담수의 CO2 배출량 및 흡수량 산정의 신뢰도를 높이기 위해 필요한 다양한 기술적 문제를 검토하고, 유역과 저수지를 통합한 탄소수지 해석 연구의 필요성을 제시한
바 있다.
유엔 교육 과학 문화 기구인 UNESCO (2008)를 비롯한 많은 선행 연구들은 댐 저수지를 대기 중 CO2의 중요한 배출원으로 보고하고 있다. Cole et al. (1994)은 전세계 1835개의 저수지 수면에서 측정된 CO2 분압을 분석하였으며, 조사대상 저수지 샘플의 87%에서 CO2 농도는 과포화 상태인 것으로 나타났다. 저수지로부터 CO2 발생은 담수과 정에서 수몰된 토양 및 식물에 포함된 유기물의 분해, 저수지 내 조류 및 수생식물 사체의 분해, 유역으로부터 유입한 유기물의 분해과정에서
일어난다. CO2는 수체와 퇴적층의 호기성 및 혐기성 상태에서 모두 발생되며, 저수지의 유광대에서 1차 생산에 의해 소비되며, 일부는 수력 터빈을 통한 댐 방류 과정에서
탈기 또는 호 내 수직 확산과 수면에서 기체 교환에 의해 대기로 배출 된다.
반면, 우리나라에는 18,000 여개 이상의 크고 작은 댐 저수지가 건설되었으며, 그 중 대댐으로 분류되는 높이 15 m 이상 또는 높이 10 ~
15 m로서 길이가 2,000 m 이상이거나 저수용량 300만 m3 이상인 댐은 1,206개소가 있다. 현재 운영 중인 다목적댐(16개소)과 건설 중인 댐(4개소), 용수 전용댐(13개소), 수력발전댐(9개소)의
총 저수면적은 653 km2에 이르며 이것은 우리나라 국토면적의 약 0.65%에 해당한다. 국내에서 댐 저수지에 대한 물질순환 연구는 주로 부영양화와 녹조제어를 위한 수질관리
측면의 이화학적 지표(유기탄소, 질소, 인)에 중점을 두어왔다(Choi et al, 2000; Chung et al., 2008; Seo et al., 1998; Yu et al., 1999). 하천과 저수지의 난분해성 유기물 오염도 증가로 인해 자연 유기물 부하 특성에 대한 조사와 연구가 진행된 바 있다(Yu et al., 2005). 또한 댐 저수지에 퇴적된 유기물로부터 용존유기물의 잠재적인 용출량(Park, 2003), 영양염류의 용출량(Cho and Chung, 2007; KRCC, 2005; K-water, 2002; Lee, 2005)에 대한 연구가 다수 수행된 바 있다. Kim et al. (2000)은 소양호에서 여름 홍수기 동안과 계절별로 유입하는 유기탄소의 성분에 대한 연구를 수행한 바 있다. 그러나 이러한 연구들은 모두 저수지에서 무기탄소의
물질순환을 종합적으로 해석하지 않았으며, 특히 CO2 배출량에 대한 기초자료는 전무한 실정이다.
본 연구의 목적은 중위도 온대지역에 위치한 인공호수인 대청호를 대상으로 일별 CO2 배출량 및 흡수량을 산정하고, 비모수 통계기법과 다중회귀분석을 통해 CO2 배출량의 변동에 영향을 미치는 주요한 인자들을 규명하는데 있다. 본 연구결과는 국내 댐 저수지의 CO2 NAF의 발생 특성과 배출량에 대한 정량적 기초자료를 제공하고, 다양한 국내 저수지와 하구에서의 탄소순환 해석을 위한 연구방법론으로 활용될 수 있다.
2. Materials and Methods
2.1. 연구대상지역
본 연구의 대상인 대청호는 금강하구로부터 150 km 지점에 위치하고 있으며 1981년에 대청댐이 준공되면서 형성되었다. 총 유역면적은 3,204
km2로써 금강수계 전체 면적 9,886 km2의 32.4%를 점유한다. 상수만수위(EL. 76.5 m)에서 저수지 면적은 72.8 km2으로 충주댐(97.0 km2)에 이어 국내에서는 두 번째로 큰 저수면적을 가지고 있다. 댐의 주요 목적은 용수공급, 홍수조절, 수력발전, 관개용수 공급 등의 다목적으로 사용되고
있으며, 금강유역과 인근 도시의 최대 상수원으로 이용되고 있다. 대청댐의 연간 용수공급량은 1,649 × 106 m3으로서 그 중 79%가 생활 및 공업용수로 사용되며 대전, 청주 등의 충청권과, 전주, 군산, 이리를 포함한 전북권 지역의 물 공급을 담당하고 있다(K-water, 2007).
대청호는 환경부에서 조류경보제 운영을 시작한 1998년 이후 1999년을 제외하고 매년 최소 14일에서 최대 90일간 조류주의보(경보 포함)가 발령되고
있는 녹조 상습 발생 호수이다. 평상시에는 호 내 T-P 농도가 0.02 mg/L 내외로 중 영양상태를 보이고 있으나, 여름철에 강우가 발생하는 경우에는
유역으로부터 유입되는 영양염류의 영향으로 부영양 상태가 되며, 이로 인해 녹조현상이 주기적으로 발생되고 있다. 대청호의 영양상태와 녹조발생 특성은
당해 년도의 강수량 특성과 매우 밀접한 관계가 있는 것으로 보고되고 있으며, 강우량이 적은 연도에는 상류에서 증식된 조류가 천천히 확산하여 회남수역에
밀집하고, 강우량이 많은 해에는 유입수에 포함된 영양염류와 상류에서 성장한 조류가 하류 댐 지점까지 이동하여 광범위하게 녹조를 일으키고 있다(The Committee of Management at Guem river system, 2011). 연구기간인 2012년과 2013년의 연간 총강수량은 각각 1,522.3 mm와 1,125.9 mm로써, 2012년이 2013년에 비해 강수량이
더 풍부하였다.
대청호 내에는 총 6개 지점에서 환경부 정기수질측정망이 운영되고 있으며, 각 지점은 추동(R1), 댐앞(R2), 문의취수탑(R3), 장계(R4), 회남대교(R5), 대정리(R6)에 위치하고 있다(Fig. 1). 이 중 R5 지점에서 지난 24년간(1992 ~ 2015) pH는 연평균과표준편차가 7.55±0.23(범위 7.2-8.1), Chl-a 농도는
5.36±1.97(범위 2.6-11.3) mg/m3, T-P는 0.019±0.007(범위 0.008-0.039) mg/L의 값을 보였다.
Fig. 1.
Layout of Daecheong Reservoir and locations of monitoring stations.
본 연구에서는 대청호의 CO2 배출량 산정을 위해 환경부에서 수질자동측정망을 운영하고 있는 회남대교(R5) 지점을 대표지점으로 선정하였다. R5 지점은 비교적 수심이 깊고(최대수심
34 m) 수리학적으로 하천과 저수지의 천이부에 해당하여 유입수가 정체하는 특성을 보이며, 녹조가 자주 발생하여 조류경보제 지점으로 지정되어 있다.
R5 지점의 수질자동측정망은 대청호의 상수원 수질감시를 위해 1998년 12월에 설치되었으며, 측정항목은 기본항목인 수온, pH, DO, 전기전도도(EC)와
선택항목인 TOC, Chl-a, T-N, T-P를 포함한다. 측정주기는 기본항목은 5분 단위이고 선택항목은 시간 단위이다.
2.2. CO2 배출량 산정방법
대청호 수면을 통한 일별 CO2 배출량 및 흡수량의 산정은 Cole and Prairie (2009)이 제시한 방법을 사용하였다. 산정기간은 2012년과 2013년이며, 일 단위로 측정된 pH와 알칼리도(Alk)자료를 사용하여 용존무기탄소(DIC)의
농도를 산정하였다. 연간 탄소배출량 산정의 정확도를 높이기 위해 일별 저수지 수위와 수위-저수면적 관계식을 사용하여 저수지 수면적을 일별로 산정하였다.
CO2 기체 전달속도는 대청 AWS에서 측정한 일별 풍속자료를 이용하여 산정하였다. CO2의 배출량 및 흡수량은 일단위로 산정하고 다시 계절별 변동성을 분석하였다.
저수지 내 DIC 농도는 식 (1)과 같이 정의되며(Cole and Prairie, 2009), 일단위 실측 pH와 Alk자료를 사용하여 식 (2)에 의해 계산하였다.
여기서, K1과 K2는 탄산염 종 사이의 평형 조건을 가정한 온도별 해리상수이고 Kw는 온도에 따른 물의 해리상수이다.
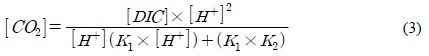
저수지 물속에 존재하는 CO2 농도는 식 (2)에서 산정한 DIC 농도와 실측 pH값을 사용하여 식 (3)에 의해 계산하였다(Cole and Prairie, 2009).
수중에서 용존상태로 존재하는 CO2의 포화농도는 대기 중 CO2 분압과 헨리의 법칙으로 설명될 수 있다. 대기-수면 경계면을 통해 교환되는 CO2의 NAF는 식 (4)를 이용하여 Fick의 1차 확산법칙으로 계산하였다. 물 속의 CO2 분압이 보다 큰 경우 배출이 일어나며 그 반대는 흡수가 일어난다.
여기서, KH는 온도에 따른 헨리 상수이며 kg는 기체전달속도(md-1)로 풍속과 흐름의 상태에 영향을 받는다. 본 연구에서 기체전달 속도는 Wanninkhof and Knox (1996)가 제안한 식 (5)를 이용하여 계산하였다.
여기서, t는 수온(℃), u는 수면 위 10 m 위치에서의 풍속(m/s)이며, Sc 는 수온에 따른 Schmidt number이다.
구해진 일별 NAF에 저수면적과 연간 일수를 곱해주면 연간 총 CO2 배출량 산정이 가능하다. 대청호의 일별 저수면적 변화를 정확히 반영하기 위해 퇴사량측정보고서(K-water, 2006)를 바탕으로 대청호 수위-저수면적관계식을 작성하였으며, 국가수자원정보시스템(WAMIS)에서 제공하는 일별 저수위자료를 적용하여 일별 저수면적을 산정하였다.
2.3. 입력변수 및 영향변수의 특성
대청호 CO2 배출량 산정을 위해서 풍속(WS), 수온(WT), pH, Alk 자료를 수집하였으며, NAF에 영향을 미치는 요인 분석과 다중회귀 모델 개발을 위해
강수량(PRCP)과 Chl-a 자료를 함께 수집하였다. 풍속 자료는 기상청(www.kma.go.kr) 자료를 사용하였으며, WT, pH, Chl-a 자료는 환경부 실시간수질정보시스템(water.nier.go.kr)에서 일평균 값으로 처리하여 제공하는 자료를 사용하였다. Alk 자료는 환경부 실시간 측정자료에 포함되어 있지 않아 대청호 내 문의취수탑(R3)과
조정지 내 현도취수탑에서 원수를 취수하는 K-water의 C 정수장에서 일별로 측정한 원수의 Alk 자료를 제공받아 사용하였다.
연구기간인 2012년과 2013년 동안 대청호의 CO2 배출량 산정을 위해 사용한 일별 PRCP, WS, WT, pH, Alk, Chl-a 자료의 기본적 통계값을 Table 1에 제시하였다. 모든 통계처리는 IBM SPSS Statistics (Version 24)를 사용하였다. 사용된 자료의 정규성 검정을 Kolmogorov-Smirnov
테스트로 수행한 결과, 모든 항목에서 귀무가설이 기각되어 모든 통계분석은 비모수 통계기법으로 처리하였다. 2012년은 2013년과 비교하여 연 강수량이
396.3 mm 많았으며, Kruskal Wallis 검정결과 수온을 제외한 모든 항목에서 귀무가설이 기각되어 두 해의 평균값 동일성은 통계적으로
유의하지 않았다. 중위값을 기준으로 비교할 때, 2012년의 pH와 Chl-a 농도는 2013년 보다 낮았으며, 풍속과 Alk는 높은 값을 보였다.
Table 1.
Descriptive statistics of major parameters relevant to the estimation of NAF in Daecheong
Reservoir
2012년의 pH가 2013년 보다 낮았던 이유는 일반적으로 강우의 pH가 약 5.6으로써 산성이므로 강수량과 관계가 있을 것으로 유추된다. 이러한
가설을 확인하기 위해 대청호의 1992년부터 2005년까지(14년간) 연간 강수량과 연평균 pH의 상관분석을 실시한 결과, Spearman 상관계수가
-0.33으로 역상관관계가 나타나 강수량이 많을수록 pH가 낮아지는 추세는 확인하였으나, 통계적 유의성은 없었다(유의수준 5%). Fig. 2는 2012년과 2013년에 대해 대청호 내 조류 성장이 활발한 5월부터 9월 중순까지의 일별 강수량, Chl-a 농도, pH의 시계열 변화를 비교하여
제시하고 있다. 2013년은 6월과 7월에 각각 한차례씩 50 mm 이상의 강우가 왔으나, 그 이후에는 큰 강우사상이 없었다. 반면, 2012년에는
7월 이후 큰 강우가 자주 발생하였다. 회남수역에서 조류농도는 대체로 강우가 발생한 이후에 증가하는 경향을 보이고 있는데, 그 이유는 강우 이후 상류
유역과 정체수역에서 유입한 영양염류가 회남수역에서 정체하기 때문으로 판단된다(Chung et al., 2014; Kim et al., 2003). 여름철 저수지 표층의 pH는 조류 농도에 가장 큰 영향을 받는 것으로 보이며, 조류농도의 증가와 함께 pH도 증가하지만 집중호우 이후 일시적인
pH 저하를 일으키는 것으로 나타났다(Fig. 2(c)).
Fig. 2.
Temporal variations of (a) precipitation, (b) Chl-a, and (c) pH during summer in 2012
and 2013.
Table 2에는 2012년과 2013년에 대해 각각 변수들 간의 Spearman 상관계수를 제시하였다. PRCP를 제외한 대부분의 변수들 간의 상관성은 2012년과
2013년이 유사하였다. 2012년과 2013년 모두 수온은 조류 농도와 높은 상관성을 보였으며, 이에 따라 pH와도 높은 상관성을 보였다. 두 해
모두 강수량은 Alk 농도와 역상관성을 보였으며, Alk는 Chl-a와 역상관성을 보였다. 대청호에서 Alk는 큰 강우가 발생한 경우 급격히 떨어지는
경향을 보였다. 두 해에 걸쳐 변수들 간의 상관성이 일부 상이하게 나타나는 것은 강수량의 편차와 변수들 간의 비선형적인 복잡한 관계가 원인일 것으로
판단된다.
Table 2.
Bi-variables correlation analysis between parameters relevant to the estimation of
NAF in Daecheong Reservoir
3. Results and Discussion
3.1. DIC와 k값 산정결과
대청호 내 일별 pH와 Alk 측정 자료를 이용하여 산정한 DIC 농도와 풍속자료를 이용하여 산정한 기체전달속도 k값의 기초 통계값들을 Table 3에 제시하였다. Alk 값이 상대적으로 높았던 2012년의 DIC 중위값은 2013년보다 1.4 mg-C L-1 더 높게 산정되었으며, 최대값과 최소값의 변동폭도 더 크게 나타났다. k값의 중위값은 두 해 모두 유사하게 1.4 md-1의 값을 보였으나, 2012년에는 잦은 강우사상으로 인해 최대 5.2 md-1이며 4.3 md-1의 큰 변동 폭을 보였다. 연구기간 동안 저수지 내 풍속은 연 평균 1.2 ~ 1.3 ms-1의 작은 값을 보였으며, 최대 풍속은 2012년에 5.6 ms-1, 2013년에는 3.2 ms-1였다.
Table 3.
Estimated DIC and k values in 2012 and 2013
Fig. 3에 제시된 바와 같이 DIC 농도는 Alk 농도와 매우 높은 상관성을 보였으며, 강수량이 많았던 2012년이 2013년 보다 더 큰 분산을 보이고
있다. Alk와 DIC 농도는 겨울과 봄철에 증가하였다가, 강우기부터 감소하는 경향을 보였다(Fig. 4). DIC의 시계열 변동 특성은 Alk와 매우 유사하였으나, 여름철에 조류가 많이 발생하는 기간에는 광합성에 따른 수중 CO2 소모량이 증가하여 DIC 농도는 감소하고 pH는 증가하는 경향을 보인다. 여름철 수온증가는 CO2의 포화 농도를 감소시키므로 DIC의 또 다른 감소 요인에 해당한다.
Fig. 3.
Linear relationships between Alk and DIC in 2012 and 2013 in Daecheong Reservoir.
Fig. 4.
Temporal variations of DIC according to pH and Alk in 2012.
3.2. CO2 NAF산정 결과
2012년과 2013년에 대청호의 일별 CO2 NAF 산정 결과를 Fig. 5에 제시하였다. 2012년과 2013년 모두 NAF는 수온이 상승하여 조류가 성장하는 시기인 5월과 10월 사이에는 음의 값을 보인 반면, 나머지
기간에는 양의 값을 보였다. 이는 조류 성장에 따른 DIC 감소와 pH 증가가 원인으로 판단된다. 2012년과 2013년 NAF의 평균(±표준편차)는
각각 2590(±3127)과 771(±1624) mg-CO2 m-2day-1로써 강수량이 풍부했던 2012년의 NAF 평균값이 2013년 보다 3배 이상, 중위값은 16배 이상 크게 산정되었다(Table 4). 반면, 연간 단위면적당 CO2 흡수량은 2013년이 -118.2 g-m-2yr-1로써 2012년의 -87.3 g-m-2yr-1에 비해 많은 CO2를 흡수하였다. 이는 2013년의 Chl-a 농도가 2012년보다 1.8 mg m-3 높았기 때문으로 보인다(Table 1 참조).
Fig. 5.
Estimated daily CO2 NAFs for (a) 2012 and (b) 2013 in Daecheong Reservoir.
Table 4.
Estimated NAFs for 2012 and 2013 in Daecheong Reservoir
대청댐의 일별 저수면적을 고려하여 2012년과 2013년의 총 CO2 배출량을 산정한 결과, 각각 58.6 × 106 kg-CO2 yr-1과 20.8 × 106 kg-CO2 yr-1로써 2012년에 더 많은 CO2를 배출하였고, 5월과 10월 사이 총 CO2 흡수량은 각각 -4.6 × 106 kg-CO2 yr-1과 -5.5 × 106 kg-CO2 yr-1로써 2013년에 더 많은 CO2를 흡수하였다.
3.3. NAF와 영향인자의 회귀분석
2012년과 2013년 일별 NAF 산정결과와 영향인자들 간의 관계를 파악하고 NAF 예측 모형을 개발하기 위해 다중회귀 분석을 실시하였다. 회귀분석은
2012년과 2013년에 대해 각각 실시하여 수문사상이 다른 두 해의 특성을 파악하고자 하였으며, 2012-2013년 자료를 모두 사용한 결과도 함께
비교하였다. 다중회귀분석방법은 SPSS에서 제공하는 단계적 전진 방법을 사용하였으며, NAF를 종속변수로 하고 독립변수는 PRCP, WS, WT,
pH, Alk, Chl-a를 포함하였다. 이 방법은 변수가 모형에 순차적으로 입력되는 단계별 변수 선택 방법을 사용하며, 방정식에 입력할 첫 번째
변수는 종속변수와 최대 양의 상관 또는 음의 상관관계에 있는 변수를 선택한다. 그 다음 변수도 편상관이 가장 큰 독립변수가 순차적으로 입력되며, 진입
기준에 맞는 변수가 없으면 프로시저는 중단된다.
Table 5는 2012년 자료를 사용한 5개의 회귀모델에 사용된 입력변수, 상관계수(R), 결정계수(R2 and adjusted R2), 예측값에 대한 표준오차를 보여준다. 5개 모델 중 독립변수 pH, WT, Chl-a, WS, Alk를 사용한 Model 5가 종속변수인 NAF의
변동성을 75.7%까지 가장 잘 재현하였다. 2012년 자료로 개발한 Model 5 다중회귀식의 상수와 각 변수들의 기울기 값, 그리고 표준오차는
Table 6에 제시하였다. 회귀식의 모든 매개변수는 유의수준 5%에서 통계적으로 유의한 것으로 판단되었다.
Table 5.
Forward Stepwise Linear Multiple Regression Models used for the estimation of NAFs
in 2012
Table 6.
Results of the multiple regression model 5 for the estimation of NAFs in 2012
2013년 자료를 사용하여 검토한 5개의 회귀모델에 대한 예측 성능 비교는 Table 7에 제시하였다. 5개 모델 중 독립변수 pH, Alk, WT, Chl-a, WS를 사용한 Model 5가 종속변수인 NAF의 변동성을 84.0%까지
설명하여 가장 우수한 것으로 평가되었다. 2013년 Model 5의 다중회귀식의 상수와 각 변수들의 기울기 값, 그리고 표준오차는 Table 8에 제시되었으며, 회귀식의 모든 매개변수는 유의수준 5%에서 통계적으로 유의한 것으로 판단되었다.
Table 7.
Forward Stepwise Linear Multiple Regression Models used for the estimation of NAFs
in 2013
Table 8.
Results of the multiple regression model 5 for the estimation of NAFs in 2013
2012년과 2013년 자료를 모두 사용한 회귀분석 모델 결과는 Table 9와 10에 제시하였다. 5개 모델 중 역시 독립변수 pH, Alk, WS, Chl-a, WT를 사용한 Model 5가 가장 좋은 성능을 보였으나, 종속변수의
변동에 대한 설명력은 68.3%로 하락하였다. 그러나, 다중회귀식의 모든 매개변수는 유의수준 5%에서 통계적으로 유의한 것으로 판단되었다. 두 해를
모두 포함한 다중회귀모델의 성능이 각각의 해에 대한 모델에 비해 성능이 떨어지는 이유는 2012년과 2013년의 NAF에 영향을 미치는 독립변수들의
영향력이 서로 상이하기 때문이며, 이는 강수량의 차이와 이에 따른 저수지의 이화학적 특성 변화가 원인으로 생각된다.
Table 9.
Forward Stepwise Linear Multiple Regression Models used for the estimation of NAFs
for 2012 and 2013
Table 10.
Results of the multiple regression model 5 for the estimation of NAFs for 2012 and
2013
2012년, 2013년, 2012-2013년 자료를 사용하여 산정한 NAFs와 영양인자들 간의 이변량 상관분석을 실시한 결과는 Table 11과 같다. 2012년 NAFs는 WT, pH, Chl-a, WS와 통계적으로 유의할 만한 수준의 상관성이 있었으며, 2013년 NAFs는 WS를 제외한
모든 요인과 유의할 만한 상관성을 보여 주었다. 반면, 2012-2013년 NAFs를 모두 사용한 경우에는 PRCP를 제외한 모든 요인과 상관성을
보였다. 3가지 경우 모두에서 WT와 pH, 그리고 Chl-a는 NAFs와 매우 큰 음의 상관성을 보였으며, 특히 pH는 가장 큰 역상관성을 보이고
있어 대청호의 CO2 배출량은 pH에 가장 민감한 것으로 판단된다.
Table 11.
The correlation analysis between the influencing parameters and NAFs
2012년과 2013년의 다중회귀모델을 사용하여 예측한 NAF와 본 연구에서 산정한 NAFs의 시계열 비교를 Fig. 6에 제시하였다. 2013년 모델은 일별 NAF 변화를 매우 잘 재현하는 것으로 보이며, 2012년 NAF값은 분산이 매우 커 높은 값에서 회귀모델은
실측값과 큰 편차를 보였다.
Fig. 6.
Comparison of the estimated NAFs with the multiple regression model for 2012 and 2013.
3.4. 선행연구결과와 비교고찰
본 연구에서 산정한 대청호의 NAF와 국외연구 결과를 비교하여 Table 12에 제시하였다. 2012년과 2013년 대청호의 평균 NAF는 1,681 mg CO2 m-2day-1였으며, 이는 Louis et al. (2000)이 중위도에 위치한 온대 저수지들에서 제시한 NAF 1,400 CO2 m-2day-1 보다 다소 큰 값에 해당한다. 반면 대청호에서 산정한 NAF는 Almeida et al. (2001)이 브라질에 있는 여러 저수지에서 산정한 값들의 범위 내에 포함되고 있다. Tracy (2011)는 Lake Tahoe에서 호수의 표층 pH를 7.1로 가정하여 NAF를 3,269 CO2 m-2day-1로 산정한 바 있다. Lake Tahoe는 빈영양 호수로써 1차 생산성이 매우 낮아 대부분의 빈영양호와 같이 대청호 보다 NAF가 2배 정도 크게
산정되었다. 이러한 결과를 종합해 볼 때, 대청호와 같이 녹조가 자주 발생하는 부영양호는 빈영양호에 비해 수질관리 측면에서는 어려움이 있으나, 수면으로부터
대기 중으로 CO2 배출을 억제하는 또 다른 측면이 있음을 알 수 있다.
Table 12.
Comparison of the NAF estimated in this study with that in previous studies
4. Conclusion
본 연구에서는 대청호를 대상으로 연 강수량이 서로 다른 2012년(1,522.3 mm, 평수년 이상)과 2013년(1,125.9 mm, 평수년 이하)에
대해 각각 일별 CO2 NAF를 산정하고, NAF의 계절별 변동 특성에 영향을 미치는 요인들을 통계 분석하였다. 본 연구를 통해 도출된 주요 결론은 다음과 같다.
-
1) 대청호는 2012년과 2013년 모두 대기 중 CO2의 배출원으로 밝혀졌으며, 강수량이 풍부했던 2012년 NAF(2590±3127 mg-CO2 m-2day-1)는 2013년 NAF(771±1624 mg-CO2 m-2day-1)보다 평균은 3배 이상, 중위값은 16배 이상 높았다.
-
2) NAF는 연중 계절적인 변동성을 보였으며, 수온이 상승하고 조류가 성장하는 시기인 5월과 10월 사이에는 음의 값(대기 중 CO2 흡수)을 보인 반면, 나머지 기간에는 양의 값(대기로 CO2 배출)을 보였다.
-
3) 단계적 다중회귀분석 결과, 2012년과 2013년의 NAFs는 PRCP를 제외한 5개 독립변수(WT, pH, Alk, Chl-a, WS)를 사용했을
때 가장 높은 결정계수와 작은 표준오차를 보였으며, 2012년과 2013년의 결정계수는 각각 0.757과 0.838로써 개발된 회귀식은 NAF의 일별
변동성에 대해 높은 설명력을 보였다.
-
4) 2012년, 2013년, 2012-2013년 자료를 사용하여 산정한 NAFs와 영양인자들 간의 이변량 상관분석 결과, NAF는 수온, pH,
그리고 Chl-a 농도와 매우 큰 음의 상관성을 보였으며, 특히 pH는 가장 큰 역상관성을 보여 대청호의 CO2 배출량은 pH에 가장 민감한 것으로 규명되었다.
본 연구에서는 CO2 NAF 산정을 위해 무기 탄소 이온들간의 화학평형이론을 가정하였으나, 향후에는 이에 대한 실험적 검증과 현장에서 CO2 NAF를 직접 측정하여 이론적으로 산정한 NAF와 비교하는 연구가 필요하다.
Acknowledgements
이 논문은 2015년도 충북대학교 학술연구지원사업의 교내 연구비 지원에 의하여 연구되었음(This work was supported by the intramural
research grant of Chungbuk National University in 2015). 논문에 사용된 수질자료를 제공해 주신 K-water와
국립환경과학원에 감사를 표합니다.
References
(2005), Carbon Dioxide and Methane Emissions and the Carbon Budget of a 10-years old
Tropical Reservoir (Petit-Saut, French Guiana), Global Biogeochemical Cycles, Abril,
G., Guérin, F., Richard, S., Delmas, R., Galy-Lacaux, C., Gosse, P., Tremblay, A.,
Varfalvy, L., dos Santos, M. A., and Matvienko, B. (2005). Carbon Dioxide and Methane
Emissions and the Carbon Budget of a 10-years old Tropical Reservoir (Petit-Saut,
French Guiana), Global Biogeochemical Cycles, 19, GB 4007, doi:10.1029/2005GB002457.,
Vol. 19, pp. GB 4007

(2001), Measuring the CO2 Flux at the Air/Water Interface in Lakes using Flow Injection
Analysis, The Royal Society of Chemistry, Almeida, F. V., Guimara, J. R., and Jardima,
W. F. (2001). Measuring the CO2 Flux at the Air/Water Interface in Lakes using Flow
Injection Analysis, The Royal Society of Chemistry, 3, pp. 317-321., Vol. 3, pp. 317-321

(2009), The Boundless Carbon Cycle, Nature Geoscience, Battin, T. J., Luyssaert, S.,
Kaplan, L. A., Aufdenkampe, A. K., Richter, A., and Tranvik, L. J. (2009). The Boundless
Carbon Cycle, Nature Geoscience, 2, pp. 598-600., Vol. 2, pp. 598-600

(2007), Sediment Release Rate of Nutrients from Namyang Reservoir, Journal of Korean
Society of Environmental Engineers, Cho, Y. C. and Chung, S. W. (2007). Sediment Release
Rate of Nutrients from Namyang Reservoir, Journal of Korean Society of Environmental
Engineers, 29(12), pp. 1345-1352. [Korean Literature], Vol. 29, No. 12, pp. 1345-1352

(2000), Relationships between Organic Carbon and CODMn in a Deep Reservoir, Lake Soyang,
Korea, Korean Journal of Limnology, Choi, K. S., Kim, B. C., Kim, H. B., and Sa, S.
H. (2000). Relationships between Organic Carbon and CODMn in a Deep Reservoir, Lake
Soyang, Korea, Korean Journal of Limnology, 33(4), pp. 328-335., Vol. 33, No. 4, pp.
328-335

(2014), The Influence of Physical and Physiological Processes on the Spatial Heterogeneity
of a Microcystis Bloom in a Stratified Reservoir, Ecological Modelingl, Chung, S.
W., Imberger, J., Hipsey, M. R., and Lee, H. S., (2014). The Influence of Physical
and Physiological Processes on the Spatial Heterogeneity of a Microcystis Bloom in
a Stratified Reservoir, Ecological Modelingl. 289, pp. 133-149., Vol. 289, pp. 133-149

(2008), The Effect of Hydrodynamic Flow Regimes on the Algal Bloom in a Monomictic
Reservoir, Water Science and Technology, Chung, S. W., Lee, H. S., and Jung, Y. R.
(2008). The Effect of Hydrodynamic Flow Regimes on the Algal Bloom in a Monomictic
Reservoir, Water Science and Technology, 58(6), pp. 1291-1298, ISSN Print: 0273-1223.,
Vol. 58, No. 6, pp. 1291-1298

(2009), Dissolved CO2, Encyclopedia of Inland Waters, Cole, J. J. and Prairie, Y.
T. (2009). Dissolved CO2, Encyclopedia of Inland Waters, pp. 30-34., pp. 30-34

(1994), Carbon Dioxide Supersaturation in the Surface Waters of Lakes, Science, Cole,
J. J., Caraco, N. F., Kling, G. W., and Kratz, T. K. (1994). Carbon Dioxide Supersaturation
in the Surface Waters of Lakes, Science, 265(9), pp. 1568-1570., Vol. 265, No. 9,
pp. 1568-1570

(2001), Emissions of Greenhouse Gases from the Tropical Hydroelectric Reservoir of
Petit Saut (French Guiana) Compared with Emissions from Thermal Alternatives, Global
Biogeochemical Cycles, Delmas, R., Galy-Lacaux, C., and Richard, S. (2001). Emissions
of Greenhouse Gases from the Tropical Hydroelectric Reservoir of Petit Saut (French
Guiana) Compared with Emissions from Thermal Alternatives, Global Biogeochemical Cycles,
15, pp. 993-1003., Vol. 15, pp. 993-1003

(2006), Methane and Carbon Dioxide Emissions from Tropical Reservoirs: Significance
of Downstream Rivers, Geophysical Research Letters, Guérin, F., Abril, G., Richard,
S., Burban, B., Reynouard, C., Seyler, P., and Delmas, R. (2006). Methane and Carbon
Dioxide Emissions from Tropical Reservoirs: Significance of Downstream Rivers, Geophysical
Research Letters, 33, L21407, doi:10.1029/2006GL027929., Vol. 33, pp. L21407

(2014), Intergrating Landscape Carbon Cycling: Research Needs for Resolving Organic
Carbon Budgets of Lakes, Ecosystems, Hanson, P. C., Pace, M. L., Carpenter, S. R.,
Cole, J. J., and Stanley, E. H. (2014). Intergrating Landscape Carbon Cycling: Research
Needs for Resolving Organic Carbon Budgets of Lakes, Ecosystems, DOI: 10.1007/s10021-014-9826-9.

(2002), Fluxes of CH4, CO2, and N2O in Hydroelectric Reservoirs Lokka and Porttipahta
in the Northern Boreal Zone in Finland, Global Biogeochemical Cycles, Huttunen, J.
T., Väisänen, T. S., Heikkikinen, M., Hellsten, S., Nykänen, H., Nenonen, O., and
Martikainen, P. J. (2002). Fluxes of CH4, CO2, and N2O in Hydroelectric Reservoirs
Lokka and Porttipahta in the Northern Boreal Zone in Finland, Global Biogeochemical
Cycles, 16, pp. 1-17., Vol. 16, pp. 1-17

(2007), Methane Release Below a Tropical Hydroelectric Dam, Geophysical Research Letters,
Kemenes, A., Forsberg, B. R., and Melack, J. M. (2007). Methane Release Below a Tropical
Hydroelectric Dam, Geophysical Research Letters, 34, L12809, doi:10.1029/2007GL029479.,
Vol. 34, pp. L12809

(2000), Effects of the Summer Monsoon on the Distribution and Loading of Organic Carbon
in a Deep Reservoir, Lake Soyang, Korea, Environmental Research, Kim, B., Choi, K.,
Kim, C., Lee, U., and Kim, Y. (2000). Effects of the Summer Monsoon on the Distribution
and Loading of Organic Carbon in a Deep Reservoir, Lake Soyang, Korea, Environmental
Research, 17, pp. 284-293. [Korean Literature], Vol. 17, pp. 284-293

(2003), Relationship between Limnological Characteristics and Algal Bloom in Lake-type
and River-type Reservoirs, Korean Journal of Limnology, Kim, J. M., Heo, S. N., Noh,
H. R., Yang, H. J., and Han, M. S. (2003). Relationship between Limnological Characteristics
and Algal Bloom in Lake-type and River-type Reservoirs, Korean Journal of Limnology,
36(2), pp. 124-138. [Korean Literature], Vol. 36, No. 2, pp. 124-138

(2002), The Final Report of Water Quality and Sediment Survey at Heung-bu Area during
the Raining Event, Korea Rural Community Corporation (KRCC). (2002). The Final Report
of Water Quality and Sediment Survey at Heung-bu Area during the Raining Event, Korea
Rural Community Corporation. [Korean Literature]

(2002), The Study of Sediment Pollutant Decay and Release in Dam Reservoir, K-water.
(2002). The Study of Sediment Pollutant Decay and Release in Dam Reservoir, K-water.
[Korean Literature]

(2006), The Report of Sedimentation Measuring at Daechung Reservoir, K-water. (2006).
The Report of Sedimentation Measuring at Daechung Reservoir, K-water. [Korean Literature]

(2007), Dam Operational Practices Handbook, K-water. (2007). Dam Operational Practices
Handbook, K-water. [Korean Literature]

, Water Quality Effect of Sediment Release on Reservoir., Lee, Y. S. (2005). Water
Quality Effect of Sediment Release on Reservoir. Proceedings of the 2005 Spring Co-conference
of the Korean Society on Environmental Engineers, pp. 1149-1152. [Korean Literature],
pp. 1149-1152

(2000), Reservoir Surfaces as Sources of Greenhouse Gases to the Atmosphere: A Global
Estimation, BioScience, Louis, V. L. ST., Kelly, C. A., Duchemin, E., Rudd, J. W..
M., and Rosenberg, D. M. (2000). Reservoir Surfaces as Sources of Greenhouse Gases
to the Atmosphere: A Global Estimation, BioScience, 50(9), pp. 766-775., Vol. 50,
No. 9, pp. 766-775

(2003), Characteristics of DOC Release from Sediment in Eutrophic Lake, Korean Journal
of Limnology, Park, J. C. (2003). Characteristics of DOC Release from Sediment in
Eutrophic Lake, Korean Journal of Limnology, 36(3), pp. 304-310. [Korean Literature],
Vol. 36, No. 3, pp. 304-310

(2013), Global Carbon Dioxide Emissions from Inland Waters, Nature, Raymond, P. A.,
Hartmann, J., Lauerwald, R., Sobek, S., McDonald, C., Hoover, M., Butman, D., Striegl,
R., Mayorga, E., Humborg, C., Kortelainen, P., Durr, H., Meybeck, M. and Ciais, P.,
and Guth, P. (2013). Global Carbon Dioxide Emissions from Inland Waters, Nature, 503,
pp. 355-359, doi:10.1038/naturel2760., Vol. 503, pp. 355-359

(2006), Gross Greenhouse Gas Emissions from Hydro-power Reservoir Compared to Thermo-power
Plants, Energy Policy, Santos, dos, M. A., Rosa, L. P., Sikar, B., Sikar, E., and
dos Santos, E. D. (2006). Gross Greenhouse Gas Emissions from Hydro-power Reservoir
Compared to Thermo-power Plants, Energy Policy, 34, pp. 481-488., Vol. 34, pp. 481-488

(1998), Stratification Characteristics and Water Quality Management Strategies of
Daechung Lake, Journal of Korean Society of Environmental Engineers, Seo, D. I. (1998).
Stratification Characteristics and Water Quality Management Strategies of Daechung
Lake, Journal of Korean Society of Environmental Engineers, 20(9), pp. 1219-1234.
[Korean Literature], Vol. 20, No. 9, pp. 1219-1234

(2004), Greenhouse Gas Emissions from Reservoirs of the Western United States, Global
Biogeochemical Cycles, Soumis, N., Duchemin, E., Canuel, R., and Lucotte, M. (2004).
Greenhouse Gas Emissions from Reservoirs of the Western United States, Global Biogeochemical
Cycles, 18, doi:10.1029/2003GB 002197., Vol. 18

(2011), Study on Constraining Algae for Management of Water Quality in the Daecheong
and Boryeong Lake., The Committee of Management at Guem river system. (2011). Study
on Constraining Algae for Management of Water Quality in the Daecheong and Boryeong
Lake. [Korean Literature]

(2005), CO2 emissions from semi-arid reservoirs and natural aquatic ecosystems. L.
Varfalvy, C. Roehm and M. Garneau (eds), Hydroelectric Reservoirs and Natural Environments.
Environmental Science Series, Therrien, J., Tremblay, A., Jacques, R. (2005). CO2
emissions from semi-arid reservoirs and natural aquatic ecosystems. L. Varfalvy, C.
Roehm and M. Garneau (eds), Hydroelectric Reservoirs and Natural Environments. Environmental
Science Series, Springer, New York, pp. 233-250., pp. 233-250

(2011), Carbon Fluxes and Carbon Loading at Lake Tahoe, California-Nevada, Tracy,
B. (2011). Carbon Fluxes and Carbon Loading at Lake Tahoe, California-Nevada, MS Thesis,
UCDavis, CA, USA.

(2005), Greenhouse Gas Emissions: Fluxesand Processes, Hydroelectric Reservoirs and
Natural Environments, Environmental Science Series, Tremblay, Varfalvy, L., Roehm,
C., and Garneau, M. (2005). Greenhouse Gas Emissions: Fluxesand Processes, Hydroelectric
Reservoirs and Natural Environments, Environmental Science Series, Springer, New York,
pp. 732., pp. 732

(2008), Assessment of the GHG Status of Freshwater Reservoirs., UNESCO. (2008). Assessment
of the GHG Status of Freshwater Reservoirs.

(1996), Chemical Enhancement of CO2 Exchange in Natural Waters, Limnology and Oceanography,
Wanninkhof, R. and Knox, M. (1996). Chemical Enhancement of CO2 Exchange in Natural
Waters, Limnology and Oceanography, 41(4), pp. 689-697., Vol. 41, No. 4, pp. 689-697

(2001), Limnology, Lake and River Ecosystems, Wetzel, R. G. (2001). Limnology, Lake
and River Ecosystems, Academic Press, New York.

(1999), Index of Organic Matter in Stream and Lake, Yu, S. J., Hwang, J. Y., Yoon,
Y. S., and Han, E. J. (1999). Index of Organic Matter in Stream and Lake, 8(1), pp.
81-92. [Korean Literature], Vol. 8, No. 1, pp. 81-92

(2005), Analysis of Natural Organic Matter (NOM) Characteristics in the Geum River,
Journal of Korean Society on Water Environment, Yu, S. J., Kim, C. S., Ha, S. R.,
Hwang, J. Y., and Chae, M. H. (2005). Analysis of Natural Organic Matter (NOM) Characteristics
in the Geum River, Journal of Korean Society on Water Environment, 21(2), pp. 125-131.
[Korean Literature], Vol. 21, No. 2, pp. 125-131
