원경과
(Qingke Yuan)
청징
(Jing Cheng)
박기수
(Kisoo Park)
김영철
(Youngchul Kim)
†
-
한서대학교 환경공학과
(Department of Environmental Engineering, Hanseo University)
© Korean Society on Water Quality. All rights reserved.
Key words
Construction sites, Fiber filter, Turbid water
1. Introduction
개발사업은 토양의 표면 교란과 더불어 피복 상태를 변 경시켜 강우시 다량의 토사 침식 및 유출을 야기 시키며 침식에 의하여 유출된 토양입자는 대부분
미세한 Silt 또는 Clay 성분이 대부분으로 이들은 강우에 의하여 유출 중 인 체 및 생태계에 위해를 끼칠 수 있는 각종 중금속을 흡착 하여 수계로
유입되어 퇴적되게 되며, 단기적으로는 생물축 적을 통해 생태계에 위해를 주며 장기적으로는 수계의 내부 오염원으로 작용하게 된다(Salomons and Forstner, 1984).
2003년도에 수행된 EPA 연구에 따르면 미국전역의 수계 에서 수질훼손의 가장 큰 요인은 토사로 보고하고 있으며(U. S. EPA., 2003) 하천과 호소, 연안지역의 탁도와 토사, 실트 질의 농도가 수질보고서에 지속적으로 수집 정리되고 있다. 1998년에 수행된 연구에 따르면 미국 하천의
수생태계 관련 문제 중 40% 정도가 토사 스트레스(Sediment Stress)에 의해 일어난 문제를 안고 있다고 보고하고 있다(U. S. EPA., 2001).
미국을 비롯하여 선진국들은 오래전부터 각종 개발사업 으로 발생하는 침식 및 토사유출에 의한 환경적 위해성을 저감하기 위하여 관리지침을 개발하여 엄격한
관리를 하고 있는데, 미국의 경우 매년 토사에 의한 수계에서의 환경적 위해는 32-130억 달러로 추정하고 있으며(Kim et al., 2015), TMDL (Total Maximum Daily Load)에서도 토사를 관리대 상 항목으로 선정하여 관리하고 있어서 수질오염총량관리 제가 시행되고
있는 국내의 경우에도 수계의 오염도를 저 감하기 위해서는 침식 및 토사유출 관리를 위한 지침의 제 정이 요구되고 있다.
우리나라에서는 2007년도 11월부터 시행된 “수질 및 수 생태계 보전에 관한 법률”에서는 토사를 오염물질로 규정 하고 공공수역에 다량의 토사를 투기하거나
유출하는 것을 금지하고 있고 개발사업이나 사업장에 비점오염저감시설의 설치를 규정하였다.
그러나 수질환경보전법상 토사를 유출하거나 버려 상수원 또는 하천·호소를 “현저히 오염되게 하는 행위”로 그 기준 이 모호하여 이 법률의 실효성에 대한
논란이 있었다(Kim et al., 2008). 그러나 2016년 5월에 개정된 법률에 따라 토 사배출사업장에서 배출되는 토사량 및 토사의 농도기준을 설정하여 객관적인 규제가 가능해졌다.
수질 및 수생태계 보전에 관한 법률 시행규칙 제26조 2 항에는 건설사업장에서 공공수역에 유출하거나 버리는 행 위가 금지되는 토사의 기준을 공공하수도
중 하수관로 등에 유출되거나 버려지는 1천 킬로그램 이상의 토사량으로 정하 고 있다. 또한 농도기준으로 토사 유입 후의 부유물질 농도 에서 토사 유입-전후의
부유물질 농도를 뺀 값이 100 mg/L 이하로 규정하고 있다. 이 기준은 미국의 일부 주에서 적 용하고 있는 방법인데, 규제항목으로 부유물질 대신
탁도를 기준으로 하고 있다(KEC, 2008).
그러나 허용 토사배출량을 산정하는데 규제대상 강우특 성을 독립된 강우사상의 누적강우량 20 mm 이하로 규정하 고 있다. 이 규정은 공사과정에서 강우의
크기에 의해 불 가항력적으로 배출될 수밖에 없는 토사량을 인정하고 있다 는 측면에서 매우 합리적이다. 그러나 강우시 토사유출량이 강우의 깊이 보다는
강우강도에 의해 결정된다는 관점에서 보면 실효성이 떨어지지만 과거의 제도와 비교할 때 매우 큰 진전으로 평가된다.
현재 국내 토사배출사업장에서 적용하고 있는 기술은 토 사트랩, 침강지, 식생 여과대, 자갈필터, 실트펜스 등인데 (DEP, 2012) 압도적으로 많이 적용되고 있는 기술은 토공 으로 조성한 물막이 댐이다. 이와 같은 간이 처리기술로는 새로 제정된 법 기준을 만족시키기는 어렵다.
가까운 일본 에서는 건설현장에서 발생되는 탁수를 처리하기 위하여 기 계적인 응집-침전 및 여과시설을 운영하고 있다(KEC, 2008).
따라서 배출되는 토사를 효과적으로 차단하기 위한 방법 으로 본 연구에서는 기존의 자갈필터를 보완할 방법으로 섬유필터의 적용성을 검토하고자 하였다.
섬유필터의 경우 나일론(nylon), 스판덱스(spandex), 폴리프로필렌(polypropylene), 폴리에스터(polyester), 아크릴 섬유(acrylic),
레이온(rayon) 등의 강력한 재질을 사용함으로서 내마모성과 탄성이 우수 하고 약품에 의한 변형, 좀, 곰팡이, 미생물에 저항성이 높 아 안정성과
내구성이 큰 것이 특징이다(Ko, 2006).
섬유여재는 일반적인 입상여재(모래, 활성탄, 자갈 등)에 비해 공극율이 매우 크므로 여과속도가 큰 조건에서 운전 이 가능하기 때문에 단위시간당 처리수량이
큰 장점을 가 지고 있으므로 설치에 필요한 부지면적이 적게 소요된다 (Niu et al., 2015). 이미 대기분야의 분진처리에서는 섬유 필터를 이용한 다수의 우수한 필터기술이 개발되어 상용화 되었지만 아직까지 수처리 분야에서는 일반 비직조 섬유를
이용한 여과에 대한 연구는 미미한 형편이다(Park et al., 2015).
본 연구의 목적은 새로 제정된 토사배출사업장의 토사배 출기준 시행에 대비하고 배출되는 토사에 의한 배수계통의 막힘을 방지하기 위해 배수계통 시작 지점인
배수구를 보 호할 수 있는 유연성 합성섬유를 충진한 수로형 여과장치 에 대한 실험적 연구를 수행하였다.
2. Materials and Methods
2.1. 실험장치의 구성
본 연구에 사용된 실험장치는 벤치스케일 배수구보호 필 터(이하 배수구 필터)로 Fig. 1에는 실험장치의 모식도를 나타내었다. 실험장치는 유입원수 공급탱크와 수로형 필터 모듈로 구성되어 있다.
Fig. 1. Experimental set-up of the fiber filter.
유입원수 탱크는 가로 1.0 m, 세로 1.0 m 높이 1.0 m의 1.0 m3 규모이며, 수로형 필터모듈은 가로 0.32 m, 세로 0.12 m 높 이 0.20 m의 크기로 아크릴을 이용하여 제작하였다. 실험장 치의 핵심인
수로형 필터모듈 내부에는 자갈과 섬유여재를 충진하였고 내부에 정류벽을 설치하여 여재가 수류에 의해 움직이지 않도록 고정시켰다.
2.2. 합성섬유 여재 및 운전조건
본 실험에 적용된 유연성 여재는 나일론 재질의 내심에 1100 데니아 폴리프로필렌 다섬사를 엮어 만든 선형구조의 섬유여재로 Fig. 2(a)와 같은 형태로 연구목적에 부응하도 록 설계 주문 제작하였으며 Fig. 2(b)에는 여재의 SEM 이 미지를 제시하였다. Bundle 형태의 여재는 다양한 배수구 구조에 맞도록 틀을 제작하여 쉽게 탈-부착할 수 있는 장 점을
가지고 있다.
Fig. 2. (a) Bundle type synthetic fiber filter and (b) its SEM image.
합성 섬유여재의 표면은 (-) 성질의 전하를 띠고 있으며 여재의 직경은 약 4 cm, 공극율은 약 90%, 여재의 비표면적 은 1.0-1.6 m2/m 범위를 나타내었으며 Fig. 1의 시험용 수로 에 장착했을 때 겉보기 충진밀도는 약 100-107 g/L 이었다.
본 실험에 사용된 유입원수는 50 μm 이하의 황토를 지하 수와 희석하여 제조한 인공탁수(흙탕물)를 사용하였다. Fig. 3 에는 필터운전에 사용된 황토분말과 입도분포를 분석한 결 과를 제시하였다. 입도분석 결과 전체 입자의 80% 이상이 12 μm 이하의 미세한 입자로
구성되어 있다. 유입원수의 농도는 100 NTU (TSS≒300mg/L)가 되도록 조제하였다.
Fig. 3. Particle size distribution of the feed water.
Fig. 4에는 여재를 충진한 후의 필터 사진을 제시하였다. 수로의 선단에는 잔자갈을 이용한 정류벽을 설치하여 대형 입자상 물질의 유입을 차단하고 유입 에너지를
소산시키면 서 필터로 유입되는 유량이 균등하게 분배될 수 있도록 하 였다. 자갈의 유효경 d10은 1.17 cm, 누적분포 60% 입경 d60 는 1.37, 균등계수는 1.17이었으며 공극율은 약 40%이었다.
Fig. 4. Filter lay-out and set-up used in this study.
여과속도는 800-1,500 m/day 범위에서 운전을 실시하였다. 필터의 성능평가를 위하여 매 10분마다 유입수 및 유출수 의 유량 및 탁도, 수두손실,
여과속도를 측정하였고 매 20 분 간격으로 채취된 시료에 대해서는 입도분석(AccuSizer 780A model)을 실시하였다. 필터의 운전시간은
실험실에서 고속으로 운전하는 관계로 원수 저수탱크의 용량 및 1톤의 물을 채웠을 때 발생하는 건물의 하중문제로 60분을 기본 으로 하였다.
여과성능의 재현성을 검증하기위해 연속적으로 3회의 반 복시험을 실시하였으며 운전조건에 따라 총 9회의 여과시 험을 수행하였다. 여과시험은 여과장치의
성능을 파악할 수 있도록 여재의 깊이(5, 10, 15 cm), 여과속도(800, 1,150, 1,500 m/day), 여재의 종류(섬유, 자갈)
등의 조건을 변화시켜 실 험을 수행하였다.
2.3. 세척
여과가 종료되면 여과모듈 내부의 체류수를 완전히 배출 하였다. 그 후 여재를 꺼내어 세척탱크에서 세척을 수행하 고 또한 섬유필터에 남아있는 입자상
물질을 세척하였다. 여재가 자유롭게 유동할 수 있을 정도의 크기에 세척탱크 에 세척수를 채우고 여재를 좌우로 흔들어 여재에 부착된 토사를 털어내는
방법으로 세척을 수행하였다. 세척수의 용 량은 5-15L를 사용하였으며 이 때 세척수의 탁도를 측정하 고 입도분석을 실시하였다.
3. Results and Discussion
3.1. 배수구 섬유필터의 운전
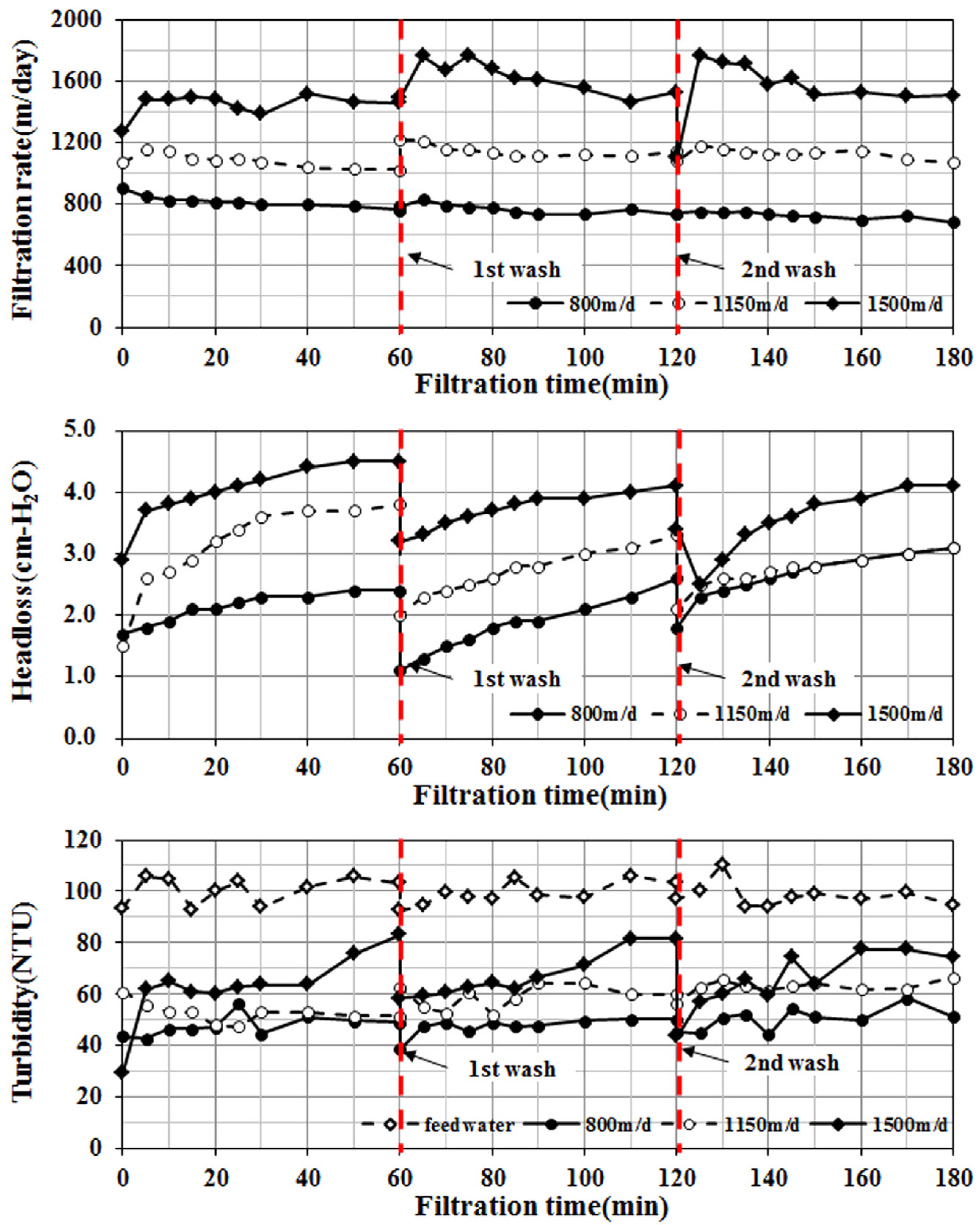
Fig. 5에는 평균 여과속도 800 m/day - 1,500 m/day 범위에 서 유입원수의 탁도 100 NTU, 여재의 깊이 15 cm (수직형 태로 충진)
조건에서 운전한 결과를 나타내었다. 여과속도 의 증가에 따라 수두손실이 증가하였다. 여과개시 후 공극 내에 토사입자의 억류량이 증가함에 따라 수두손실은
증가 하기 시작해 여과종기에 800 m/day의 여과속도에서 2.7 cm, 1,150 m/day에서 3.4 cm, 1,500 m/day에서 4.2
cm로 나타났다.
Fig. 5. Illustration of fiber filter operation with respect to filtration rate (filter length = 15 cm).
여과속도가 증가함에 따라 손실수두가 증가한 이유는 수 두손실은 속도에 비례하기 때문이다. 매우 빠른 고속 여과 속도와 비교하여 본 섬유여과에서 발생한
수두손실은 일반 적인 입상(모래 등)여과에서 발생되는 수두손실 2.5-3.0 m (Kawamura, 2000)와 비교하면 극히 미미하였다. 이는 섬유 필터의 공극율은 40-50% 사이의 공극율을 갖는 입상여재 와 비교하여 90% 이상으로 매우 컸기 때문이다.
Table 1.
Table 1. List of filter runs and operational conditions
|
Filter run
|
Filtration rate (m/day)
|
Feedwater Turbidity (NTU)
|
Media depth (cm)
|
Operation time (min)
|
Mode
|
|
1
|
800
|
100
|
5
|
60 × 3 times
|
Horizontal
|
|
2
|
1,150
|
100
|
10
|
60 × 3 times
|
Horizontal
|
|
3
|
1,150
|
100
|
15
|
60 × 3 times
|
Horizontal
|
|
4
|
800
|
100
|
5
|
60 × 3 times
|
Horizontal
|
|
5
|
1,150
|
100
|
10
|
60 × 3 times
|
Horizontal
|
|
6
|
1,500
|
100
|
15
|
60 × 3 times
|
Horizontal
|
|
7
|
800
|
100
|
5
|
60 × 3 times
|
Horizontal
|
|
8
|
1,150
|
100
|
10
|
60 × 3 times
|
Horizontal
|
|
9
|
1,500
|
100
|
15
|
60 × 3 times
|
Horizontal
|
한편 여과속도에 따른 여과수의 탁도변화를 살펴보면 800 m/day에서 38-58 NTU, 1,150 m/day에서 47-67 NTU, 1,500
m/day에서 52-84 NTU를 보였다. 필터 유출수의 탁도는 800 m/day와 1,150 m/day에서와 달리 1,500 m/day의 여과속
도에서 여과개시 직 후 부터 증가하기 시작하였는데 그 이 유는 여재 내부에 토사 억류량이 급속히 증가하여 수두손 실이 배가되었기 때문이다.
여과 지속시간 동안 평균 여과효율은 800 m/day에서 51%, 1,150 m/day에서 42%, 1,500 m/day에서 34%이었다. Fig.
6 에는 여과시간에 따라 촬영된 필터사진을 나타내었다. 그림 에서 보는 바와 같이 여과 시작과 동시에 여재 전 영역에서 서서히 여과가 시작되어 전체
여재 층에서 심화되는 심층 여과(depth filtration)가 진행되었음을 보여주고 있다.
Fig. 6. Views of the depth filtration progress.
세척은 Fig. 5에 제시한 바와 같이 60분 간격으로 수행하 였으며 90-92%의 입자상 물질 회수율을 보였다. 또한 세척 후 2차, 3차 여과시험에서 1차 여과시험과
마찬가지로 여 과수의 탁도가 유사한 수준을 나타내어 여재의 손상은 미 미한 수준으로 생각된다.
3.2. 여과지 운전변수에 따른 여과성능
Fig. 7(a)에는 서로 다른 여재 두께에서 여과속도에 따른 여과효율을 비교하여 제시하였으며 Fig. 7(b)에는 수두손실 에 따른 여과효율의 변화를 나타내었다. 여과속도가 낮을수 록 여재의 두께가 증가할수록 여과효율이 증가하는 전형적 인 여과곡선을 보이고
있다. 한편 여재두께가 작을수록 여 과속도 증가에 따른 수두손실의 변화에 여과효율은 민감한 반응을 보였다.
Fig. 7. (a) Filtration efficiency versus filtration rate with respect to filter length, (b) Filtration efficiency versus headless with respect to filter length.
Fig. 8에는 세척시 입자상 물질의 회수율을 비교하여 제 시하였다. 그림에 나타난 바와 같이 입자상 물질의 회수율 은 여과속도의 증가에 따라 미약한 수준이었지만
감소하였다.
Fig. 8. Percent particle recovery versus filtration rate.
그 이유는 여과속도가 증가할수록 여재에 억류되는 입자 의 양도 증가하기 때문에 여재로부터 세척 분리할 수 없는 입자의 양이 컸던 것으로 판단된다.
또한 큰 여과속도 조 건에서 관성력의 영향으로 선형여재의 깊숙한 사이트까지 파고들어 분리가 이루어졌기 때문으로 사료된다. 그러나 고 형물 회수율은
90-92% 범위로 양호하였으며 유사한 회수 율을 나타내었다.
3.3. 섬유필터의 성능과 여과속도 및 여재두께와의 관계
지난 100년이 넘는 기간 동안 널리 적용되어 온 모래와 같은 입상여재를 적용하는 필터의 성능예측 및 설계에 대한 수많은 모델 및 공식이 제안되었다.
그러나 수처리를 위한 비직조(non-woven) 섬유여재의 도입은 2000년대 이후 시작 되어 성능평가 모델에 대한 연구는 매우 빈약한 형편이다.
Yu et al. (2013)과 Yu et al. (2015)은 본 연구에서 사용된 비직조(non-woven) 끈상 여재와 동일한 여재를 이용한 탁 수차단 실험을 바탕으로 이론적, 경험적인 설계모델을 제안 한
바 있다. 그의 경험적인 모델은 무차원 수리학적 인자. 온도인자, 여재인자, 농도인자, 입자인자가 포함되어 있으며 이들은 탁수 확산차단에 복합적인
영향을 끼치는 것으로 가정하였다.
그러나 Yu et al. (2013)과 Yu et al. (2015)이 제안한 모델 은 압력변화가 거의 없는 자유수면 수로에 설치된 수평 흐 름형 여과매트에서 충격탁수 유입에 의해 일어나는 여과현 상을 바탕으로 개발된
것으로 본 연구의 하향류, 압력식 연속 운전되는 고속필터에 적용하기에는 거리가 있다.
본 연구에서는 고속필터 여과수의 탁도를 예측하기 위해 Hudson and Sawyer (1961)에 의해 입상여재를 충진한 여 과지를 대상으로 개발된 모델을 적용하였다. Hudson이 제 안한 모델의 형태는 아래 식과 같다. 이 모델은 여과속도
인자, 여재의 특성인자, 수두손실인자, 여재의 깊이인자를 포함하고 있다.
여기서, Ce = 여과수의 탁도(NTU)
C0 = 유입원수의 탁도(NTU)
V = 여과속도(m/day)
d = 유효경(mm)
p = 공극율
H = 여과장치의 수두손실(m)
S = 수두손실의 범위
L = 여재의 깊이(m)
본 연구에서는 상기식에서 수두손실 인자 H와 S는 0-5 cm 로 매우 작으므로 전체적인 효율에 미치는 효과는 제한적 이므로 무시하였다. 또한 공극율은
90% 이상으로 모든 여 과 실험과정에서 동일하였으므로 배제하였다. 배수구 보호 목적의 필터 실험결과를 바탕으로 여과성능 C/C0 는 다음 과 같이 여재의 두께와 여과속도 만의 함수로 보고 다음과 같은 Log-Log 관계식을 제안하였다.
여기서 kf 는 경험적 여과상수를 나타낸다. 유입수 및 유 출수의 탁도, 여재깊이(L), 여과속도(V)를 변수로 운전한 필터 운전자료를 바탕으로 Excel Solver 를 이용하여 모델 상수 a, b, kf 를 산출한 결과 다음 식과 같았다.
한편 본 연구를 통하여 제안된 섬유필터 모델에 27세트 의 운전자료를 적용하여 실측값과 계산값의 Zero-interception 선형 상관관계를 분석한 결과 Fig. 9와 같았다. 그림에 나타난 바와 같이 선형회귀직선의 기울기가 0.99로 자료의 증감이 잘 반영되고 있으며 측정값과 계산 값이 일치하고 있음을 알 수
있다.
Fig. 9. Relationship between observed and calculated values.
한편 본 연구에서 제안하고 있는 섬유필터를 현장에 적 용하고자 할 경우 설계 목표효율을 달성하기 위한 필터의 두께(두께) L, 필터의 면적(A)을
결정할 수 있도록 식 (4)를 다음과 같이 변형하였다.
건설사업장 배수계통의 여건에 따라 두 가지 형태의 설 계방식이 가능하다. 먼저 식 (5)를 통해서 설계 목표효율 (Ce/C0)과 여과속도(V)가 결정되면 요구되는 필터의 두께 L 을 산출할 수 있으며 필터의 단면적 A는 설계 유출유량을 바탕으로 계산할 수 있다. 한편 설계 목표효율(Ce/C0)과 필 터의 두께(L)을 결정한 후 여과속도 V를 산출하여 이 값을 바탕으로 필터의 단면적 A를 산출할 수 있다.
3.4. 자갈필터와 섬유여재 필터의 효율비교
현재 일반적으로 국내외 건설사업장에서는 흙탕물 처리 를 위하여 임시 침강지를 설치하고 Fig. 10(a)와 같이 유출 부에 자갈필터를 설치하여 운영하고 있다. 본 절에서는 자 갈필터 대신에 Fig. 10(b)와 같이 유출부에 본 연구에서 제 안하고자 하는 섬유필터 설치를 상정하여 자갈필터와 섬유 필터를 비교 평가하였다.
Fig. 10. (a) Gravel filter barrier widely used at the construction site, (b) Fiber filter barrier installed to replace the gravel barrier.
운전조건은 동일하게 유입수의 평균탁도는 100 NTU, 여 재층의 두께는 15 cm, 평균 여과속도는 약 1,150 m/day이었 다. Fig. 11에 따르면 섬유여재 필터와 자갈필터의 운전초기 수두손실은 각각 1.5 cm와 0.5 cm 이하를 보여 섬유필터에 서 더 컸는데 그 이유는 섬유필터의
공극율이 90%로 자갈 필터의 40%에 비해 훨씬 컸지만 섬유필터의 간극 크기 및 공극의 구조가 작고 훨씬 복잡하기 때문이다.
Fig. 11. Comparative operation of gravel barrier and fiber filter (filtration rate = 1150 m/day, filter length = 15 cm).
여과가 진행되는 동안 섬유필터에서 수두손실은 점진적 으로 증가하여 여과종기에는 2.5cm에 이르렀지만 자갈필터 에서는 거의 변화가 나타나지 않았다.
섬유필터에서 여과가 진행되는 동안 수두손실의 점진적 증가는 억류되는 토사량 의 증가와 관련이 있다.
3회의 연속운전을 바탕으로 평가한 효율은 섬유여재 필 터에서 약 32%를 보였고, 자갈필터에서는 약 9%의 효율을 나타내었다. 자갈필터에서 나타난
여과기작은 대부분 수류 진행 방향으로 움직이는 토사입자가 자갈표면에 침적되는 현상이 주종을 이루었다.
3.5. 섬유필터의 효율향상 방안
앞서 제시한 섬유필터의 성능자료에 따라면 여과속도 기준 으로 800-1,500 m/일, 유입수의 탁도 100NTU(TSS = 300 mg/L) 조건에서
필터두께에 따라 약 10-60% 저감할 수 있는 것으 로 나타났다. 섬유필터의 면적을 늘려 여과속도를 줄이거나 필터두께를 증가시키면 당연히 효율을
향상시킬 수 있으나 현장 배수구의 형상이나 사업장 여건에 따라 어려울 수 있다.
이와 같은 경우에 여과효율은 여과보조제(응집제)의 주입 으로 크게 향상시킬 수 있다. 황토 콜로이드 입자의 (-) 전 하와 본 연구에 사용된 합성섬유여재가
갖는 전하가 (-)로 동일하므로 섬유여재와 입자사이에는 반발력이 우세하게 작용하게 된다.
따라서 일반적인 심층여과가 일어나는 필터의 간극이나 공극에서 일어나는 충돌(impaction), 침전(settling), 확산(diffusion),
차단(interception), 응결(flocculation) 등과 같은 기작 에 따르는 억류는 일어나지 않고 여과지로 유입되는 입자 중 여재가 제공하는
공극의 크기보다 큰 입자상 물질만이 우연한 접촉에 의해 강제 억류 제거되는 체거름(straining/ trapping) 기작만이 일어났기 때문에 여과속도가
크거나 여 재두께가 작은 경우에 낮은 효율을 보인 것으로 해석된다.
또한 입자와 섬유여재 사이에 존재하는 반발력은 공극에 억류된 입자의 부착력을 약화시키는 작용을 하므로 고속운 전조건에서 형성되는 수류의 전단력에 의해
파괴되어 유실 되므로 매우 작은 수두손실의 변화에도 여과수의 탁도가 크게 증가한 것으로 판단된다.
본 연구에서 사용한 섬유와 동일한 나이론 합사를 충진 한 하향류 압력여과시험에 따르면 여과보조제로 PAC 0.5 mg/L를 주입한 결과 주입하지 않은
경우와 비교하여 효율 을 30% 이상 향상시킬 수 있다고 보고하고 있다(Park et al., 2015; Niu et al., 2016). 그러나 응집제의 투여는 여과효율 을 향상시키는 효과가 있는 반면에 단점으로는 응집제 주 입에 따른 운전비용의 상승과 슬러지 발생량이 증가한다는
점이다.
또한 응집제를 넣게 되면 단순한 여과로 제거된 토사가 일반 슬러지가 아니라 화학적인 슬러지로 전환되기 때문에 슬러지 처리/처분 비용이 크게 상승하게
된다. 따라서 섬유 필터를 이용한 토사입자 여과를 위한 응집처리는 도심지에 서 이루어지는 터파기 공사나 지하철 공사장에서 평상시 지하수 발생과 함께
발생하는 흙탕물을 처리하는 목적이 아니면 바람직하지 않다고 판단된다.
4. Conclusion
본 연구에서는 새로운 토사배출사업장 배수구 보호 및 흙탕물 배출량 규제에 대응하기 위하여 고안한 유연성 필 터를 충진한 수로형 섬유필터를 운전하였다.
본 연구의 주 요 결과들에 대한 요약 및 논의는 다음과 같다.
-
수로형 섬유필터의 운전결과 여과속도 기준으로 800- 1,500 m/일, 유입수의 탁도 100 NTU (TSS = 300 mg/L에 해당)의 혹독한
운전조건에서 필터두께(5-15 cm)에 따라 약 10-60%의 토사를 분리할 수 있는 것으로 나타났다. 여과변수에 따라 여과속도가 낮을수록 여재의
두께가 증 가할수록 여과효율이 증가하는 전형적인 여과곡선을 보 였으며 특히 여재의 두께가 작을수록 여과속도 증가에 따른 수두손실의 변화에 효율은 민감하게
반응하였다.
-
운전결과를 바탕으로 성능과 여재두께 및 여과속도 사 이의 경험적인 Log-Log 관계식을 제안하였는데 이 공식 을 바탕으로 목표효율을 달성하는데 필요한 여재의 두 께나 소요 여과면적을 산출할 수 있다.
-
현재 국내외 건설사업장에서 설치 운영하고 있는 자갈 필터와 본 연구에서 섬유필터를 운전조건 유입수의 평 균 탁도 100 NTU, 여재층의 두께는 15
cm, 평균 여과속 도는 약 1,150 m/day에서 섬유여재 필터에서 약 32%를 보였고, 자갈필터에서는 약 9%의 효율을 나타내었다.
-
여과공정에서 수두손실은 에너지 관점에서 매우 중요하 며 특히 본 연구에서 제안하고 있는 수로에 직접 설치 되는 필터에서는 접근수로의 침수범람을 유발할
수 있 으므로 중요하다. 본 배수구 필터에서 운전초기에서 말 기로 진행될 때 수두손실은 1-5 cm에 불과했으며 운전 후 수행한 세척작업에서 90%
이상의 양호한 고형물 회 수율을 나타내었으며 반복적으로 실시된 운전결과 세척 에 따른 효율변화는 미미한 수준이었다.
본 연구는 강화된 흙탕물 규제기준에 대응해서 강우시 빠른 속도로 빗물과 함께 유출되는 토사를 효율적으로 제 거하는 방안을 제안하는데 의의가 있다.
섬유여재를 장착한 필터의 장점은 가벼우면서 내구성이 강하고 다양한 형태로 직조/제작할 수 있을 뿐만 아니라 공극율이 90% 이상으로 매우 큰 합성섬유를
충진한 상태에서 운전되므로 고속운전 이 가능하여 강우시 건설사업장에서 발생하는 흙탕물 처리 에 매우 적합한 처리방법으로 사료된다.
여과속도 1,500 m/day는 하루에 단 1 m2의 여재면적을 통 해서 1,500톤의 물을 처리할 수 있다는 의미이므로 대단히 매력적이나 연구결과 여과속도가 증가할수록 여과효율은 급속히 감소하는
단점을 드러내었다. 본 연구결과에는 구체 적으로 제시하지 않았지만 경험에 따르면 이에 대한 보완 책으로 여과보조제(응집제)를 사용할 경우 효율을 크게
향 상 시킬 수 있으나 슬러지 발생량 및 최종 처리/처분 비용 이 크게 증가할 수 있으므로 그 적용을 신중하게 결정해야 할 것으로 사료된다.
Acknowledgement
본 연구는 국토교통부/국토교통과학기술진흥원 건설기술 연구사업의 연구비지원(13건설연구S04)에 의해 수행되었습 니다.
References
Department of Environmental Protection (DEP), 2012, Erosion and Sediment Pollution
Control Program Manual
Hudson H E, Sawyer A W, 1961, Nation's First Municipal Filter Plant is “Retired”,
Water Work Supply

Kawamura S, 2000, Integrated Design and Operation of Water Treatment Facilities, John
Wiley & Sons, In
Kim C M, Lee E J, Lee S Y, Kim Y, Kim L H, 2008, Sediment Unit Loads from Developing
Areas during Storms, [Korean Literature], Journal of Wetlands Research, Vol. 10, No.
1, pp. 59-68

Kim Y, Kim L H, Hwang S W, 2015, Review on Soil Erosion and Loss Management System
of the Calgary City Government, Albert, Canada, [Korean Literature], Journal of Wetlands
Research, Vol. 17, No. 2, pp. 163-175

Ko J S, 2006, [Korean Literature], Industrial Textile Materials-Theory and Practices,
Chonnam National University Press
Korea Environment Corporation (KEC), 2008, [Korean Literature], A Report on Soil Erosion
and Loss Management at the Construction Sites, Korea Environment Corporation
Niu S, Park K, Guerra H B, Kim Y, 2015, Experimental Study on Non-woven Filamentous
Fibre Micro-filter with High Filtration Speed, Water Science and Technology, Vol.
71, No. 9, pp. 1414-1422

Niu S, Park K, Yu J, Kim Y, 2016, Operation and Performance Evaluation of High-speed
Filter using Porous Non-woven Filamentous Fibre for the Treatment of Turbid Water,
Environmental Technology, Vol. 37, No. 5, pp. 577-589

Park K, Cheng J, Kim Y, 2015, Treatment Study of the Turbid Water by High-speed Synthetic
Fiber Filter System, [Korean Literature], Journal of Korean Society on Water Environment,
Vol. 31, No. 3, pp. 262-271

Salomons W, Forstner U, 1984, Metals in Hydrocycles, Springer Verlag
United States Environmental Protection Agency (U. S. EPA), 2001, The Biological Effect
of Suspended and Beded Sediments (SABS) in Aquatic Systems: A Review
United States Environmental Protection Agency (U. S. EPA), 2003, Developing Water
Quality Criteria for Suspended and Bedded Sediments
Yu J, Yu H, Kim Y, 2013, Model Development and Application Design of Fiber Mat Used
for Turbid Runoff Treatment, Environ Technology, Vol. 34, No. 11, pp. 1429-1437

Yu J, Kim Y, 2015, Developed Mathematical Equation for Predicting Turbidity Removal
Using Synthetic Fiber Filter, Separation Science and Technology, Vol. 50, pp. 174-180
