김영기
(Young-Kee Kim)
*†
신우석
(Woo-Seok Shin)
**
-
국립한경대학교 화학공학과, 화학기술연구소
(Department of Chemical Engineering and Research Center for Chemical Technology, Hankyong
National University)
-
충남연구원 서해안기후환경연구소
(Seohaean Research Institute, ChungNam Institute)
© Korean Society on Water Quality. All rights reserved.
Key words
Capping, Marine sediment, Natural zeolite, Pollution, Recycled aggregate
1. Introduction
최근 국내 연안해역에서의 수상레저 활동과 양식 및 수 산물 생산이 크게 증가하고 있으며, 이에 따라 연안 환경 에 관심이 날로 높아지고 있다. 산업발달과
인구 증가에 따라 육상에서 발생되는 오염물질은 증가 하고 있고, 육상 에서 발생된 오염물질은 수계를 통해 이동하여 최종적으로 연안 수계 또는 저질로
유입되어 농축되고 있다. 연안 환 경을 오염시키는 오염물질은 유기오염물질, 부영양화유발물 질, 중금속 등이 대표적이며 이 중 중금속은 분해되지 않
고 농축되는 특성을 가지고 있어, 연안 생태계 환경뿐 아 니라 먹이사슬을 통해 인간에게도 위해성을 가지고 있어 적절한 처리 및 제거의 필요성이 크게
부각되고 있다 (Acosta et al., 2011; Ryu et al., 2011; US EPA, 2005).
연안해역의 오염된 퇴적물 처리 방법으로는 국내 여건에 서 최근까지 흡입식 수거(준설) 후 해양투기가 광범위하게 활용되고 있었다. 하지만 런던의정서
발효에 의해 오염퇴적 물의 해양 투기가 2012년부터 현실적으로 어려워짐에 따라 해양 투기를 대신하여 연안 투기장에 처분하는 방법이 사 용되고 있으나
수거된 퇴적물의 양이 막대하여 투기장 포 화문제가 발생되고 신규 투기장의 확보가 어려운 등 문제 를 가지고 있다(Lee et al., 2011). 특히, 2016년부터는 해양 투기가 전면 금지되면서 수거하지 않고 원위치에서 정화할 수 있는 방법에 대한 필요성이 크게 증가하고 있다(MOF, 2015).
선진국에서는 준설을 대체할 수 있는 방안 중의 하나로 즉각적인 정화효과를 얻을 수 있고 비용이 적게 드는 장점 을 가지는 현장피복(In-Situ Capping)방법이
사용되고 있으 나 국내에서는 이 방법의 활용이 거의 이루어지고 있지 못 하다(Shin and Kim, 2016; US EPA, 2005). 현장피복기술 을 연안오염정화 현장에 적용하기 위해서는 피복소재, 시공 기술, 모니터링방안 등을 개발이 필요하다. 이 중 피복소재 는 전통적으로
모래를 활용하여왔으나 10여년 전부터 모래 가 가지는 오염물질 이동의 단순차단 효과를 뛰어넘어 중 금속의 경우 용출되기 어려운 화학적 형태로 전환시키는
능력도 가지는 반응성 피복소재에 대한 개발 및 활용이 선 진국에서 이루어지고 있다(Qian et al., 2009; Shin and Kim, 2016). 특히, 국내에서는 모래 남용에 의한 채취장 확 보의 어려움과 채취 장소의 환경파괴라는 문제가 있고, 낮 은 정화 효율의 문제점이 있어 모래를
대체할 수 있는 대 량 확보가 가능하고 저가의 반응성 피복소재를 개발하는 것이 시급하다.
건설공사 등으로 인하여 발생한 건설폐기물을 친환경적 으로 적정처리하고 재활용을 촉진하여 국가자원의 효율적 이용은 물론 국민경제발전과 공공복리증진에
기여하기 위 해 ‘건설폐기물의 재활용 촉진에 관한 법률’이 제정되었고, 이에 따라 건설폐기물을 재활용하기 위하여 생산된 일정 품질기준 이상의 골재를
순환골재라고 한다(MOE, 2015). 순환골재는 도로기층용 및 도로보조기층용, 콘크리트용, 콘 크리트제품 제조용, 아스팔트콘크리트 제조용, 성·복토용 등의 용도로 활용되고 있으며,
한국환경공단의 ‘2012년 건 설폐기물 재활용 통계조사 보고서’에 따르면 2012년 건설 폐기물 총발생량 67,863천톤 중 약 74.5 %에 해당하는
50,557천톤을 순환골재로 생산하였다(Cho et al., 2015).
최근, 순환골재를 중금속 제거에 활용하고자 하는 시도가 이루어지고 있어, 분쇄된 콘크리트 입자를 이용하여 중금속 제거 효과(Coleman et al., 2005), 순환골재에 이용한 수용 액상 혼합 중금속 흡착효과에 대한 연구(Shin and Kim, 2013), 다양한 재료가 혼합된 저질개선제를 이용한 수용액 상 중금속 흡착특성 연구(Shin et al., 2016)가 발표된 바 있다. 하지만, 현재까지 순환골재를 해양퇴적물의 오염정화 에 적용하고자 하는 시도는 이루어진 바 없다.
제올라이트는 광물형태의 천연제품과 인공합성제품으로 구분되며, 토양개량제와 사료첨가제 등의 용도로 활용되지 만 강한 양이온 흡착성을 가져 오염정화용으로도
활용되고 있다. 합성제품에 비해 천연광물의 양이온 흡착능력이 떨어 지지만, 합성제올라이트의 가격이 $500-600/톤인데 비해 천 연광물의 경우 $50-100/톤으로
경제성의 강점이 있다(Alibaba.com, 2016). 또한, 경북지역에 풍부한 매장량을 보여 국내 생산량이 중국에 이어 세계 2위를 기록할 정도로 대량 확 보가 용이한 장점을 가지고 있다(USGS, 2015). 천연제올라 이트는 높은 이온교환능력을 지니고 있기 때문에 중금속의 오염방지를 위해 사용되고 있으며, 양이온교환능력(cation exchange
capacity, CEC)에 따라 가격이 형성되는 광물이 다. 하지만, 해양퇴적물처럼 복합적인 오염이 이루어진 매 체에 대한 오염물질 차단 성능에
대한 연구는 아직 이루어 지지 못하고 있다.
따라서, 본 연구에서는 유기오염물질, 부영양물질, 중금속 에 의해 복합적으로 오염된 해양퇴적물을 대상으로 순환골 재와 천연 제올라이트를 소재로 이용하여
피복하였을 때 퇴적물 내 오염물질의 수계로의 용출차단 효과에 대한 평 가를 수행하였다.
2. Materials and Methods
2.1. 실험 시료 및 재료
해양퇴적물 시료는 부산 북항 인근에서 200 m × 200 m 의 영역에서 10개 지점을 선정하여 표층 약 10~30 cm 깊 이의 퇴적물을 채취하여
밀폐용기에 넣어 1일 이내에 실험 실로 운반하여 사용하였다. 채취된 퇴적물 습시료는 상온에 서 풍건 후 체(<1 mm)를 사용하여 이물질을 제거한
후 10 개 지점의 퇴적물을 혼합하여 실험에 사용하였다.
순환골재는 경기도 안성에 소재한 건설폐기물 재활용업 체(동부이엔티(주))로부터 공급받았으며, 불순물 제거를 위 해 증류수로 세척 후 상온에서 건조하였다.
건조된 순환골 재는 35번과 10번 체로 체질하여 1.0-2.0 mm 사이의 입경 을 가지도록 선별하여 실험에 사용하였다. 천연 제올라이트 는 경상북도
포항에 위치한 (주)렉셈에서 생산된 제품을 사 용하였으며, CEC 90 이상의 입경 1-4 mm의 제품을 사용 하였다.
2.2. 모형수조를 이용한 퇴적물 내 오염물질 용출차단 실험방법
퇴적물에 존재하는 오염물질의 수계로의 용출 차단 효과 를 평가하기 위해 순환골재와 천연제올라이트를 이용한 피 복실험을 수행하였다(Fig. 1). 온도를 20°C로 제어한 유효 용량 1 m3의 수조 3개에 동일한 퇴적물 시료를 10 cm 두 께로 설치한 후 대조군은 피복을 하지 않고, 나머지 2개의 수조에는 각각 순환골재와 제올라이트를
2 cm 두께로 덮 었다. 각 모형수조에 퇴적물 설치와 피복재 포설이 완료된 후 충청남도 당진시 왜목항에서 채수한 해수를 1 m3 넣어 현장모사 실험을 수행하였으며, 60일 동안 양생 후 해수의 유기오염물질, 부영양물질, 중금속 농도 분석을 통해 오염 물질 용출 차단 성능을
평가하였다.
Fig. 1. Side view images of field simulation water tank (a) without capping layer, and capped with (b) recycled aggregate and (c) natural zeolite.
오염물질 차단 성능평가는 60일 양생 후 각각의 수조 내 해수를 이용하여 산출하였다. 수조내로 용출된 오염물질인 화학적 산소요구량(COD), 질산성
질소(NO3-N)와 인산염 인(PO4-P)은 수질공정시험법에 준하는 HACH kit 방법을 이용하여 분석하였다. 수계 내 중금속(Ni, Zn, Cu, Pb, Cd, As, Cr) 농도
분석은 ICP-MS(Agilent 7500 Series, USA)를 이용하였다.
2.3. 퇴적물 및 재료 분석
퇴적물의 pH 측정은 풍건된 시료를 10.0 g 취한 후 증류 수 50 mL를 가하여 1시간동안 교반한 후 pH 측정기를 이 용하여 수행하였고(Park and Jun, 2008), 퇴적물의 입도 분 석은 입도 분석기(Bluewave, Microtrac, USA)를 이용하였다. 유기탄소와 총 질소는 원소분석기(EA-1110,
Instruments, Italy)로 정량분석하였으며, 총 인 분석은 해양환경공정시험 법을 따라 수행하였다. 중금속(Ni, Zn, Cu, Pb, Cd,
As, Cr) 은 ICP-MS를 이용하여 정량 분석하였다. 순환골재와 천연 제올라이트의 무기성분 분석은 X-ray fluorescence spectrometry
(XRF, XRF-1700, Shimadzu Co., Kyoto, Japan)를 이용하여 수행하였다.
3. Results and Discussion
3.1. 퇴적물 물리화학적 특성
퇴적물의 기본적인 물성과 주요 오염물질 농도를 분석한 결과를 Table 1에 표시하였다. 퇴적물의 평균 pH는 8.3이 고, 입도 분석결과 silt-clay 90 %, sand 10 %로 구성되어 있었다. 연구 대상인 부산
북항의 연안 퇴적물은 육상에서 유입된 세립질이 오랜기간 축적된 것으로 보이며, 주변 지 역으로부터 지속적인 오염물 유입에 따라 퇴적물 내 오염 물질이
축적되었을 것으로 판단된다. 특히, 이번 연구대상 퇴적물은 silt와 clay가 대부분으로 세립질의 특성상 상대적 으로 큰 비표면적을 가지게 되고
결과적으로 오염물질의 축적 가능성을 높일 수 있다(PARI, 2010).
Table 1. Physicochemical characteristics of marine sediment sample
|
Property
|
Values
|
NOAA Standard
|
|
ERL
|
ERM
|
|
pH
|
8.3 ± 0.4
|
|
|
|
silt-clay (%)
|
90.0 ± 3.0
|
|
|
|
water content (%)
|
51.2 ± 4.5
|
|
|
|
Organic Carbon (%)
|
1.62 ± 0.24
|
|
|
|
T-N (%)
|
0.15 ± 0.03
|
|
|
|
Ni (mg/kg)
|
37.9 ± 4.5
|
20.9
|
51.6
|
|
Zn (mg/kg)
|
203.7 ± 63.1
|
150
|
410
|
|
Cu (mg/kg)
|
67.3 ± 12.3
|
34
|
270
|
|
Pb (mg/kg)
|
42.4 ± 22.1
|
46.7
|
218
|
|
Cd (mg/kg)
|
0.94 ± 0.25
|
1.2
|
9.6
|
|
As (mg/kg)
|
30.8 ± 6.3
|
8.2
|
70
|
|
Cr (mg/kg)
|
65.7 ± 16.6
|
81
|
370
|
퇴적물 내 주요 오염물질 농도를 분석한 결과에 의하면 유기탄소, 총질소 및 총인은 각각 1.62 %, 0.15 %, 0.49 g/kg의 함유량을 보였다(Table
1). 퇴적물 내 중금속오염물 질의 기준농도는 미국 National Oceanic and Atmospheric Administration(NOAA)에서
screening quick reference tables (SQuiRTs)로 제시되어있다(Buchman, 2008). Table 1에 표 시된 중금속 7종(Ni, Zn, Cu, Pb, Cd, As, Cr)의 퇴적물 내 농도를 SQuiRTs과 비교해보면, 대상해역 퇴적물의 총 중금
속함량은 Ni, Zn, Cu, As은 Effect Range-Low(ERL)보다 높고 Effect Range-Median(ERM)보다 낮은 범위에
존재하 며, As이 ERL대비 상대적으로 가장 높은 농도를 보이고 있다. 7종의 분석된 중금속 중 나머지 3종류(Pb, Cd, Cr)는 ERL 이하의
값을 보이고 있으나, ERL에 거의 근접한 수 치를 보이고 있다.
순환골재와 천연 제올라이트의 구성성분을 XRF를 이용 하여 분석한 결과, 순환골재는 SiO2, CaO3, Al2O3, Fe2O3가 각각 38.4 %, 36.2 %, 9.9 %, 6.0 %로 주요 구성성분이고, 천연제올라이트는 SiO2와 Al2O3가 각각 76.5 %와 12.0 %로 주성분으로 나타났다(Table 2).
Table 2. Chemical compositions of recycled aggregate and natural zeolite
|
Component
|
Al2O3 |
Fe2O3 |
SiO2 |
Na2O
|
TiO2 |
CaO
|
SO3 |
ZrO2 |
P2O5 |
|
Recycled Aggregate
|
9.9
|
6.0
|
38.4
|
1.5
|
0.4
|
36.2
|
nd
|
nd
|
0.1
|
|
Natural Zeolite
|
12.0
|
1.7
|
76.5
|
2.5
|
0.3
|
1.9
|
0.1
|
nd
|
0.1
|
3.2. 피복에 의한 오염물질 용출 차단 효과 분석
순환골재와 천연제올라이트를 이용한 퇴적물 피복 후 해 양 퇴적물로부터 해수로의 오염물질 용출 차단효과를 관찰 하기 위하여 피복하지 않은 대조군과 순환골재와
천연 제 올라이트로 각각 피복한 수조에서 60일 양생 후 해수에 존 재하는 유기물(COD), 질산성 질소, 인산염 인, 중금속 등의 농도를 분석하여
비교하였다. 순환골재와 천연제올라이트는 기존에 광범위하게 사용되던 모래에 비해 오염물질에 대한 흡착능을 비교해 볼 때 유기물과 부영양화물질의 흡착능은
크게 차이가 나지 않으나, 중금속의 흡착능은 상당한 차이 를 보인다. 본 연구진이 수행한 중금속 흡착능 비교실험에 의하면, Ni, Zn, Cu, Pb,
Cd 등 양이온성 중금속의 경우 순 환골재의 흡착능(1.178 - 2.985 mg/g)과 천연제올라이트의 흡착능(1.207 - 2.991 mg/g)이
모래의 흡착능(1.116 - 1.779 mg/g) 에 비해 높은 것으로 분석되었다. 따라서, 중금속에 의한 오염이 이루어진 대상에 대한 피복소재의
개발을 위해 순 환골재와 천연제올라이트의 피복효과 검증을 수행하였다. 피복하지 않은 대조군 해수의 COD 농도가 120 mg/L인데 비해 순환골재와
천연제올라이트 피복에서는 각각 92 mg/L, 112 mg/L로 각각의 차단율이 23 %와 7 %로 관찰되었다 (Fig. 2(a)). 질산성 질소의 경우 대조군 해수 내 농도가 2.8 mg/L인데 비해 순환골재와 천연제올라이트로 피복한 경우 2.3 mg/L와 2.5 mg/L로
각각 18 %와 11 %의 차단율을 보였다 (Fig. 2(b)). 인산염 인의 경우는 대조군에서의 농도가 0.80 mg/L인데 비해 순환골재가 0.55 mg/L, 천연제올라이트가 0.69 mg/L로 각각 31
%와 14 %의 용출 차단효과를 보였 다(Fig. 2(c). 유기오염이나 부영양물질의 용출차단에 모두 순환골재가 제올라이트에 비해 우수한 성능을 보였다.
Fig. 2. Effect of capping on inhibition of contaminants release from sediment to seawater. (a) COD, (b) nitrate nitrogen, and (c) phosphate-phosphorus concentrations.
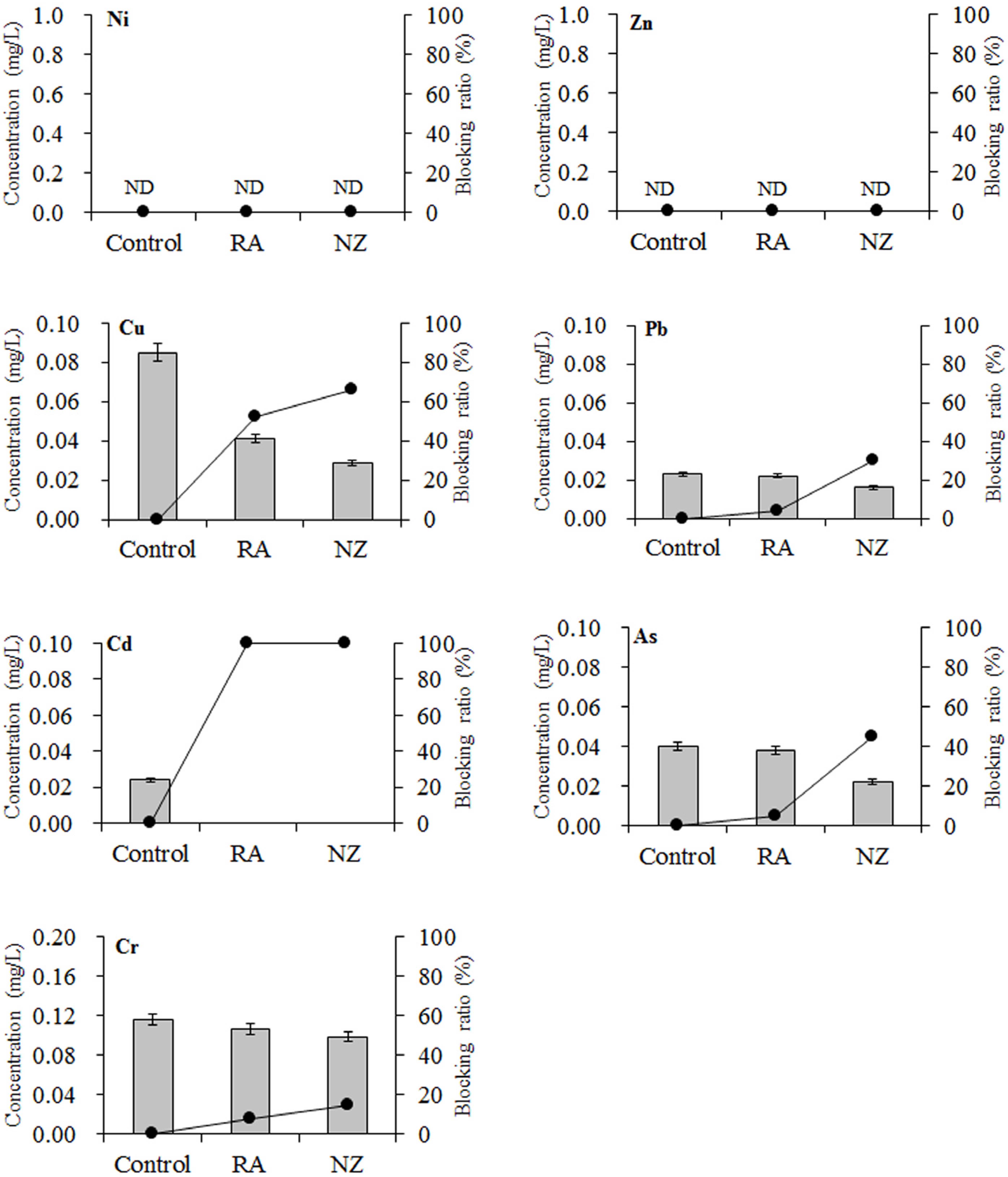
중금속의 용출에 대한 차단 효과를 관찰하기 위하여 실 험 후 해수 중 7종(Ni, Zn, Cu, Pb, Cd, As, Cr)의 중금속 농도를 분석하였으며
그 결과를 Fig. 3에 표시하였다. Ni과 Zn는 모든 실험조건에서 용출이 이루어지지 않아 실험 후 에도 검출하한농도 이하로 측정되었으며, Cu, Pb, Cd, As,
Cr 등 5종의 중금속은 실험 후 해수로 용출되어 분석되었 다. 5종의 중금속 모두 천연제올라이트를 사용한 경우가 순환골재를 피복소재로 사용한 경우보다
용출 차단효과가 우수하였으며, 특히 Cu와 Cd의 용출차단효과가 각각 66 % 와 100 %로 가장 우수한 것으로 분석되었다.
Fig. 3. Effect of capping on inhibition of heavy metals release from sediment to seawater. RA: Recycled Aggregate, NZ: Natural Zeolite. Symbols: bar (concentration), line (blocking ratio).
결론적으로 볼 때 유기오염물질과 부영양물질의 용출 차 단에는 순환골재가 효과적인 것으로 나타났으나, 중금속의 경우에는 천연제올라이트가 더 효과적인
것으로 관찰되었 다. 하지만, 유기오염물질과 부영양물질 용출차단효과에 비 해 중금속 용출차단효과가 상대적으로 매우 커서, 실험에 사용된 소재들은 중금속으로
오염된 연안 퇴적물의 피복소 재로 유용하게 사용될 수 있을 것으로 판단된다. 순환골재 의 경우 CaO가 다량 존재하므로 적용 후 고화현상이 관찰 되어
유기오염물질과 부영양물질의 용출차단 효과가 우수 하게 나타나는 것으로 볼 수 있다.
중금속의 경우는 환경 내 존재형태가 다양하여 퇴적물 내 중금속의 수계로의 이동성은 중금속의 화학적 존재형태 에 의해 좌우된다. 퇴적물 내 중금속은
일반적으로 연속추 출법에 의해 이온교환(exchangeable), 탄산염(carbonate), 산 화물(oxide), 유기물(organic)결합형태와
잔류물(residual)의 5 단계 화학적 존재형태로 표현하며, 이러한 존재형태에 따라 용출 특성을 달라질 수 있고, 용출차단효율도 영향을 받을 수
있다(Bacon and Davidson, 2008; Park and Jun, 2008; Tessier et al, 1979). 중금속의 경우는 순환골재의 경우보다 천연제올라이트의 표면에 많이 존재하는 Al, Si, O로 결합 된 밴드 등에 의한 중금속 물질의 표면흡착
등과 차단효율 간에 상관관계가 있는 것으로 판단되며, 이로 인해 천연제 올라이트에서 효과적인 안정화가 일어나고 있는 것으로 보 인다(Chen and Fray, 2001).
4. Conclusion
본 연구에서는 연안에서 채취한 퇴적물을 순환골재와 천 연제올라이트를 재료로 피복함으로써 유기오염물질, 부영양 물질, 중금속의 해수로의 용출을 차단할
수 있는 성능을 모형 수조를 이용하여 평가하였다. 오염물질 각각에 대하여 용출차단성능을 살펴본 결과 유기오염물질과 부영양물질의 용출차단에는 순환골재의
효과가 우수하였고, 중금속의 용 출차단에는 천연제올라이트가 우수한 성능을 나타냈다. 하 지만, 유기오염물질이나 부영양물질 용출차단효과가 최대 31
%인데 비하여 중금속 용출차단효과는 중금속에 따라 다르긴 하지만 100 % 용출차단효과도 관찰되어 사용된 피 복소재는 중금속의 오염차단에 더 효과적인
것으로 판단할 수 있다. 실제 현장에 피복기술을 적용하였을 경우, 해수 및 저질의 용존산소 농도, 해수 온도, 피복두께, 오염정도, 유속 등에 의해
용출차단효과는 차이가 날 수 있으며, 본 연구는 대상 해역의 평균적인 환경조건에 맞추어 수행한 모형수조에서의 결과로 실제 적용 시에는 환경조건에 따른
차이가 발생할 수 있다.
Acknowledgement
이 연구는 2015년 해양수산부의 재원으로 한국해양과학 기술진흥원의 지원과(지속가능 해양오염퇴적물 정화기술 개 발: 피복 및 현장처리기술), 환경부의
환경정책기반공공기술 개발사업(과제번호 2015000200001)의 지원으로 수행되었습 니다.
References
Acosta J A, Faz A, Martínez-Martínez S, Zornoza R, Carmona D M, Kabas S, 2011, Multivariate
Statistical and GIS-based Approach to Evaluate Heavy Metals behavior in Mine Sites
for Future Reclamation, Journal of Geochemical Exploration, Vol. 109, No. 1-3, pp.
8-17

Alibaba.com, 2016, https://www.alibaba.com/showroom/synthetic-zeolite-price.html,
https://www.alibaba.com/showroom/natural-zeolite-price.html (accessed Oct. 2016)
Bacon J R, Davidson C M, 2008, Is There a Future for Sequential Chemical Extraction?,
Analyst, Vol. 133, No. 1, pp. 25-46

Buchman M F, 2008, NOAA Screening Quick Reference Tables, NOAA OR&R Report 08-1, Office
of Response and Restoriation Division, National Oceanic and Atmospheric Administration,
pp. 34

Chen G Z, Fray D J, 2001, Cathodic Refining in Molten Salts: Removal of Oxygen, Sulfur
and Selenium from Static and Flowing Molten Copper, Journal of Applied Electrochemistry,
Vol. 31, pp. 155-164

Cho Y K, Moon G D, Lee B C, Jung S H, 2015, [Korean Literature], Standard of Recycled
Aggregate for Concrete, Magazine of RCR, Korean Recycled Construction Resource Institute,
pp. 359-362
Coleman N J, Lee W E, Slipper J J, 2005, Interactions of Aqueous Cu, Zn and Pb Ions
with Crushed Concrete Fines, Journal of Hazardous Materials, Vol. 121, No. 1-3, pp.
203-213

Lee B J, Park M C, Lee S, 2011, Acceleration of Consolidation and Reclamation Capacity
Increase of Dredged Soil, [Korean Literature], Journal of The Korean Geotechnical
Society, Vol. 27, No. 2, pp. 17-26

Ministry of Environment (MOE), 2015, Construction Waste Recycling Promotion Act, Korean
Government Act No. 13527

Ministry of Oceans and Fisheries (MOF), 2015, http://www.mof.go.kr/article/view.do?menuKey=376&boardKey=10&articleKey=10434
(accessed Oct. 2016). [Korean Literature]
Park G O, Jun S H, 2008, Chemical Forms and Release Potential of Heavy Metals from
the Lime Treated Sediments, [Korean Literature], Korean Journal of Limnology, Vol.
41, No. 2, pp. 166-173

Port and Airport Research Institute (PARI), 2010, Management of Hazardous Chemicals
in Port and Harbor Sediment, No.1219, Technical Note of the Port and Airport Research
Institute, Yokosuka, pp. 1-135

Qian G, Chen W, Lim TT, Chui O, 2009, In-situ Stabilization of Pb, Zn, Cu, Cd and
Ni in the Multi-contaminated sediments with ferrihydrite and apatite composite additives,
Journal of Hazardous Materials, Vol. 170, pp. 1093-1100

Ryu J S, Khim J S, Kang S G, Kang D S, Lee C H, Koh C H, 2011, The Impact of Heavy
Metal Pollution Gradients in Sediments on Benthic Macrofauna at Population and Community
Levels, Environmental Pollution, Vol. 159, No. 10, pp. 2622-2629

Shin W S, Kim Y K, 2013, Removal Characteristics of Mixed Heavy Metals from Aqueous
Solution by Recycled Aggregate as Construction Waste, [Korean Literature], Journal
of the Korean Society for Marine Environmental and Energy, Vol. 16, No. 2, pp. 115-120

Shin W, Kim Y K, 2016, Stabilization of Heavy Metal Contaminated Marine Sediments
with Red Mud and Apatite Composite, Journal of Soils and Sediments, Vol. 16, No. 2,
pp. 726-735

Shin W S, Na K R, Kim Y K, 2016, Adsorption Characteristics of As(III) and Cr(VI)
from Aqueous Solution by Sediment Amendment Composite, [Korean Literature], Journal
of Korean Society on Water Environment, Vol. 32, No. 2, pp. 216-221

Tessier A, Camphell P G C, Bisson M, 1979, Sequential Extraction Procedure for the
Speciation of Particulate Trace Metals, Analytical Chemistry, Vol. 51, No. 7, pp.
844-851

United States Environmental Protection Agency (U.S. EPA), 2005, Contaminated Sediment
Remediation Guidance for Hazardous Waste Sites, EPA-540-R-05-012, United States Environmental
Protection Agency, pp. 1-236
US Geological Survey (USGS), 2015, Mineral Commodity Summaries 2015, http://dx.doi.org/10.3133/70140094,
US Geological Survey, pp. 184-185
