The Journal of
the Korean Society on Water Environment

The Journal of
the Korean Society on Water Environment

Bimonthly
  • ISSN : 2289-0971 (Print)
  • ISSN : 2289-098X (Online)
  • KCI Accredited Journal

Editorial Office


  1. 국립환경과학원 한강물환경연구소, (Han-River Environment Research Center, National Institute of Environmental Research)
  2. 국립환경과학원 (National Institute of Environmental Research)



Buk-han river, Lake, Metals, Organic matter, Pollution assessment, Sediment

1. Introduction

호소는 정체수역으로서 하천에 비해 퇴적되는 오염물질 이 많고 장기간 정체되는 특성을 가지고 있다. 호소 내 퇴 적물은 일정기간 축적되어 있다가, 분해, 확산, 재부유, 생 물교란 등에 의해 다시 수체에 영향을 미쳐, 오염물의 공급 원과 배출원의 역할을 동시에 수행한다(Butler and Reisman, 2008; Jung et al., 2014; Kim et al., 2016; Yang et al., 2014). 외부오염원으로부터 호소로 유입된 유기물과 영양염 류는 퇴적물에 농축되어 독성을 갖는 암모늄 등의 물질의 농도를 높이며(Govers et al., 2014), 다량의 유기물질은 호 소 저층의 산소를 소비하여 무산소 환경을 만들고 퇴적물에 서식하는 생물의 생존에 직접적인 영향을 미친다(Akomeah and Lindenschmidt, 2017). 금속류는 대표적인 생태독성 물 질로서 퇴적물 내 일정량 이상 존재 시 분해저항성과 생물 농축 등에 의해 저서생물에 악영향을 미치는 것으로 알려 져 있다(Birch and Apostolatos, 2013; Mucha et al., 2003). 따라서 퇴적물의 농도를 파악하고 그 오염도에 따른 생태 독성을 평가할 필요가 있다.

퇴적물의 오염도 평가를 위해 미국 EPA와 캐나다 온타 리오에서는 담수퇴적물 환경기준을 설정하여 퇴적물의 오 염도를 평가하고 있으며, 국내에서도 2015년에 하천·호소 퇴적물 오염평가 기준을 설정하여 이용하고 있다. 또한 평 가기준 이외에도 여러 지표를 이용하여 퇴적물의 오염도를 평가할 수 있다. 유기물의 오염도를 평가하는 유기물 지표 (Organic index, Org-index)와 금속류의 오염도를 평가하는 농축계수(Enrichment factor, EF), 농집지수(Geoaccumulation factor, Igeo), 오염부하계수(Pollution load index), 그리고 생 태학적 위험성 지표(Ecological risk index, RI)는 대표적인 오염평가 지표이다(Burton, 2002; Goher et al., 2014; Hwang et al., 2006; Lee et al., 2010; Wang et al., 2017; Xu et al., 2018; Yang et al., 2018).

북한강은 한강 유역의 약 50 %를 점유하는 한강의 제 1 지류 중 가장 긴 하천이다(Park et al., 2006). 지형적 조건 에 의해 협곡이 많고 하천유량이 풍부하여 다수의 다목적 댐이 건설되어 있고 전력생산과 안정적인 식수 및 농·공업 용수를 제공하고 있다. 또한 주변의 수려한 경관을 토대로 수상 레저와 관광업, 음식업 등의 현장으로서 우리 생활에 밀접한 영향을 주고 있어 안정적인 수질 관리가 필요하다 (Byun et al., 2015; Choi, 2005; Shin et al., 2009). 북한강 과 그 호소에 관한 연구는 대부분 수질의 변동과 조류 발 생 및 조류 이취미에 초점을 맞추어 연구되고 있다. 반면 퇴적물에 관한 최근의 연구는 조류 증식과 관련한 것이 전 부로 수질과 밀접한 관계에 있는 호소퇴적물 내 농도와 저 서생물에 미치는 영향에 대한 오염도평가 연구는 매우 부 족한 실정이다. 따라서 본 연구에서는 북한강 수계의 주요 호소퇴적물 내 유기물질과 영양염류, 그리고 금속류의 농도 분포를 파악하고 그에 따른 오염도와 생물학적 위해도를 평가하고자 하였다.

2. Materials and Methods

본 연구는 2017년 퇴적물 측정망 운영의 일환으로서 수 행되었으며 연구에 사용된 자료는 물환경정보시스템에 공 개된 자료와 일치한다(ME, 2018). 시료채취 및 분석 방법 은 퇴적물 측정망 운영에 따른 방법으로 수행하였으며 이 를 아래 서술하였다.

2.1. 시료채취

북한강 수계의 주요호소인 청평댐, 의암댐, 춘천댐, 화천댐 그리고 북한강 상류 지천인 소양강의 소양강댐을 대상으로 퇴적물 측정망 지점에 대하여 조사하였다(Fig. 1, Table S1). 퇴적물 시료의 채취를 생물학적 및 독성학적 측정을 위한 목적으로 실시하는 경우, 오염의 영향이 최대가 되며 계절적 영향이 가장 적은 시기에 할 수 있다(U. S. EPA., 2001). 따 라서 강우에 의한 퇴적물 교란이 일어나지 않아 계절적 영 향이 적고 저층생물에 가장 큰 영향을 미칠 수 있는 시기인 강우기 전(5월~6월)을 선택하여 2017년에 조사하였다. 시료 채취는 수질오염공정시험기준 퇴적물 분석법(ME, 2016)에 따라 포나그랩을 이용하여 각 지점별로 5회 채취하여 골고 루 혼합하였다. 채취된 시료는 현장에서 즉시 2 mm 체(일반 항목)와 0.15 mm 체(금속항목)를 이용하여 분석항목에 따라 구분한 후 플라스틱용기에 담아 4 °C 이하에서 운반, 보관하 였다. 또한 현장에서 지점별 수심을 측정하였다.

Fig. 1. Sampling sites of lakes in Buk-han river basin.
../../Resources/kswe/KSWE.2019.35.2.105/JKSWE-35-105_F1.jpg

2.2. 일반항목 및 금속류 분석

일반항목과 금속류는 수질오염공정시험법 중 퇴적물 분 석법(ME, 2016)에 따라 분석하였다. 일반항목은 입도, 완전 연소가능량(Loss of ignition, LOI), 총유기탄소(Total organic carbon, TOC), 총질소(Total nitrogen, T-N), 총인(Total phosphorus, T-P)을 분석하였다. 입도는 과산화수소를 이 용하여 유기물을 제거 후 분산제인 인산나트륨을 넣고 초 음파처리하여 분산시킨 후 입도분석기(Microtrac S3500 Extended wel, Microtrac)로 평균입경(Mean grain size, Mz) 를 구하고, 입자의 평균크기에 따라 모래(2 mm ~ 0.063 mm), 실트(0.063 mm ~ 0.004 mm), 점토(0.004 mm 미만)의 비율을 계산하였다. LOI는 상등액을 제거 한 후 골고루 혼합하여 105 °C에서 건조하여 무게를 측정한 후 550 °C에서 회화시 켜 구하였다. TOC와 T-N, T-P의 시료는 실온에서 건조하여 유성형볼밀(Pulverisette 6, Fritsch)을 이용하여 파쇄한 후 0.1 mm로 체질하여 균질화하였다. TOC와 T-N은 아황산용 액으로 무기탄소를 제거한 후 원소분석기(Vario Micro Cube CHNS, Elementar)로 분석하였다. T-P는 600 °C에서 회화시킨 후 아스코르빈산 환원법을 이용하여 측정하였다.

금속 항목의 시료는 실온에서 건조하여 유성형볼밀로 파 쇄 후 0.063 mm 체를 이용하여 균질화하였으며, 이를 불 산, 질산, 과염소산을 사용하여 완전분해 전처리를 하였다. 분해된 시료 내 Pb, Zn Cu, Cr, Ni, As, Cd은 유도결합플 라즈마 질량분석기(ICP-MS, Agilent 7900)으로 분석하였으 며 이 중 Pb, Zn, Cu, Cr, Ni은 유도결합플라즈마 원자발 광분광기(ICP-AES, Agilent 700 series)로 추가 분석하여 분 석 시 매질의 영향이 없음을 확인하였다. Hg의 경우 체질 을 통해 균질화 된 입자를 수은분석기(Hydra C, Teledyne instruments)로 분석하였다. 모든 실험은 표준물질(Certified reference materials, CRM)을 이용하여 분석의 회수율 및 재현성 검토를 실시하였으며, 일부 시료의 경우 반복분석하 여 그 결과의 차이가 25 %를 넘지 않는 것을 확인하였다 (Table S2).

2.3. 퇴적물 오염도평가

호소 퇴적물 내 유기물질은 영양염류의 이동과 확산에 매우 중요한 역할을 하며, 탄소와 질소, 인은 유기물질이 무기화되는 과정에서 용출될 수 있는 것으로 알려져 있다 (D’Angelo et al., 1994). 따라서 유기물질과 영양염류 역시 퇴적물 오염평가에서 주요한 인자로 사용된다. 본 연구에서 농도를 평가하는 기준으로 국내 하천·호소 퇴적물의 오염 평가기준(예규 제2015-687호)(NIER, 2015)과 캐나다 온타 리오 주의 담수퇴적물 기준을 활용하였다(Ontario, 2018) (Table 1). 또한 유기물질 오염평가 지표로 유기물 지표 (Org-index)를 이용하였으며, 식 (1)과 (2)로 계산할 수 있 다(Wang et al., 2017). 그 값에 따른 유기물질의 오염평가 단계는 Table 2에 나타내었다.

Table 1. Sediment quality guidelines for organic, nutrients, and metals
NIERa) Ontariob)


Class I Class II Class III Class IV LEL SEL

LOI (%) - - - 13 - -
TOC (%) - - - - 1 10
T-N (mg/kg) >5,600 >5,600 >5,600 >5,600 550 4,800
T-P (mg/kg) >1,600 >1,600 >1,600 >1,600 600 2,000

Cu (mg/kg) ≤60 ≤228 ≤1,890 >1,890 16 110
Pb (mg/kg) ≤65 ≤154 ≤459 >459 31 250
Ni (mg/kg) ≤53 ≤87.5 ≤330 >330 16 75
As (mg/kg) ≤29 ≤44.7 ≤92.1 >92.1 6 33
Hg (mg/kg) ≤0.1 ≤0.67 ≤2.14 >2.14 0.2 2.0
Zn (mg/kg) ≤363 ≤1,170 ≤13,000 >13,000 120 820
Cd (mg/kg) ≤0.6 ≤1.87 ≤6.09 >6.09 0.6 10
Cr (mg/kg) ≤112 ≤224 ≤991 >991 26 110

a) Class I: low toxic-possibility to sediment dwellers, Class II: mid-toxic possibility to sediment dwellers, Class III: relatively high toxic-possibility to sediment dwellers, Class IV: very heavily polluted (Organic and Nutrients), high toxic-possibility to sediment dwellers (metals)

b) LEL (Lowest Effect Level): Clean ~ marginally polluted, SEL (Severe Effect Level): heavily contaminated

Table 2. The indices of organic (Org-index), geoaccumulation (Igeo), pollution load (PLI), and ecological risk (RI) classes in relation to sediment quality
Org-index NIERa) Igeo PLI RI





Range Sediment Quality Category Sediment Quality Range Sediment Quality Range Sediment Quality Range Ecological Risk

<0.05
(Class I)
Unpolluted All 8 metals in class I Normal <0 Unpolluted <1 Unpolluted <150 Low
0.05~0.35
(Class II)
Unpolluted ~ Marginally polluted At least 1 metal in class II or III Fair 0 ~ 1 Unpolluted ~ Moderately polluted 1> Polluted 150 ~ 300 Moderate
0.35~0.75
(Class III)
Moderately Polluted mPELKQ >0.34 Poor 1 ~ 2 Moderately polluted 300 ~ 600 Considerable
>0.72
(Class IV)
Heavily polluted At least 1 metal in class IV Very poor 2 ~ 3 Moderately ~ Highly polluted >600 Very high
3 ~ 4 Highly polluted
4 ~ 5 Highly ~ Very highly polluted
> 5 Very highly polluted

a) Normal: Status of sediments which are affected by geo-chemical background and atmosphere composition, Fair: Status of sediments with possible to sediment dwellers, Poor: Status of sediments with probable to sediment dwellers, Very poor: Status of sediments which with severe effect to sediment dwellers.

(1)
Org - index = TOC % × Org - N %
(2)
Org - N % = T - N % × 0.95

여기서, TOC은 무게비로 산정된 총유기탄소 농도이며, Org-N은 무게비로 산정된 유기질소 농도로 무게비로 산정 된 총질소 농도에 계수 0.95를 곱하여 구한다.

금속류는 환경독성과 잔류성이 있고, 생체축적을 하기 때 문에 수계의 생명체와 수환경에 영향을 줄 수 있다(Phillips et al., 2015). 금속류 농도를 통한 오염평가는 유기물질과 마찬가지로 국내 하천·호소 퇴적물 오염평가 항목별 기준 과 캐나다 온타리오주의 기준을 적용하였으며, 오염평가 지 표로는 국내 하천·호소 퇴적물 오염평가 지점별 기준과 농 집지수(Index of geoaccumulation, Igeo), 지점별 및 호소별 오염부하계수(Pollution Load Index of sampling site and lake, PLIsite and PLIlake), 그리고 생태학적 위험성지표 (Ecological Risk Index, RI)을 산정하였다(Goher et al., 2014; Håkanson, 1980; Xu et al., 2018; Yang et al., 2018).

국내 하천·호소 퇴적물 오염도 평가기준은 Table 1(호소 농도 기준)와 같이 등급을 구분할 수 있으며, 여기서 구분 된 등급과 금속류 II등급 기준 지수(mean PELK quotient, mPELKQ)을 이용하여 지점별 오염을 Table 2과 같이 평가 하였다.

(3)
mPEL k Q = i = 1 8 EC i PEL K i 8

여기서, ECi는 금속류 항목별 농도, PEKKi는 금속류 항목별 II등급 기준치이다.

연구지역의 지질특성을 반영하여 오염을 평가할 수 있 는 농집지수는(Igeo)는 Muller (1969)에 의해 제안되었으며, 퇴적물에 함유된 금속농도를 오염되지 않은 농도와 비교하 는 방법이다(Hwang et al., 2006). 식 (4)와 같이 산정되며 Table 2와 같이 오염도를 7개 단계로 구분하고 있다.

(4)
I geo = log 2 C i 1.5 B i

여기서, Ci는 각 금속의 농도이며, Bi는 금속 i에 대한 지화 학적 배경농도이다. 여기서 배경농도는 일반적으로 셰일이 나 지각평균 농도를 사용하거나, 연구지역에서 오염원의 영 향이 가장 적은 지역의 농도 혹은 가장 낮은 농도를 사용 할 수 있다(Hwang et al., 2006). 이 연구에서는 오염원의 영향이 가장 적으면서 우리나라의 지질을 반영할 수 있는 국토 전역 하천 퇴적물(상류) 내 미량원소 평균농도를 이용 하였다(NIER, 2011).

오염부하계수(PLI)는 지점(PLIsite)와 호소(PLIlake)로 구분하여 아래와 같이 산정하였다. PLI는 1 이하인 경우, 오염이 되지 않은 상태를 의미하며, 1을 초과하면 오염되었음을 의미한다.

(5)
PLI site = C 1 B 1 × C 2 B 2 × × C i B i 1 i
(6)
PLI lake = PLI site 1 × PLI site 2 × × PLI site n 1 n

여기서, i는 금속류의 수를 의미하며, n은 각 호소 내 조사 지점의 수를 의미한다.

생태학적 위험성지표(Ecological risk index, RI)는 PLI와 같이 각각의 금속에 의한 독성을 고려하며, 생태학적 위험 계수(Ecological-risk factor, Eri)를 함께 적용하여 생태학적 위험도를 평가하고자 하였다(Xu et al., 2018). 이때, EriRI는 식 (7), (8)에 의해 계산된다.

(7)
Er i = C i B i × Tr i
(8)
RI = Er i

여기서, Tri는 각 금속에 대한 독성반응 계수(Toxic-response factor)이며, 기존 문헌을 이용하여 산정하였다(Håkanson, 1980).

각 퇴적물 오염평가 지표의 단계별 오염평가는 Table 2 에 나타내었다.

2.4. 통계분석

통계분석은 IBM SPSS statistics version 14 프로그램을 이 용하여 스피어만 상관성분석(Spearman’s correlation analysis) 과 주성분분석(Principal component analysis)을 실시하였다.

3. Results and Discussion

3.1. 일반항목 농도분포와 오염도 평가

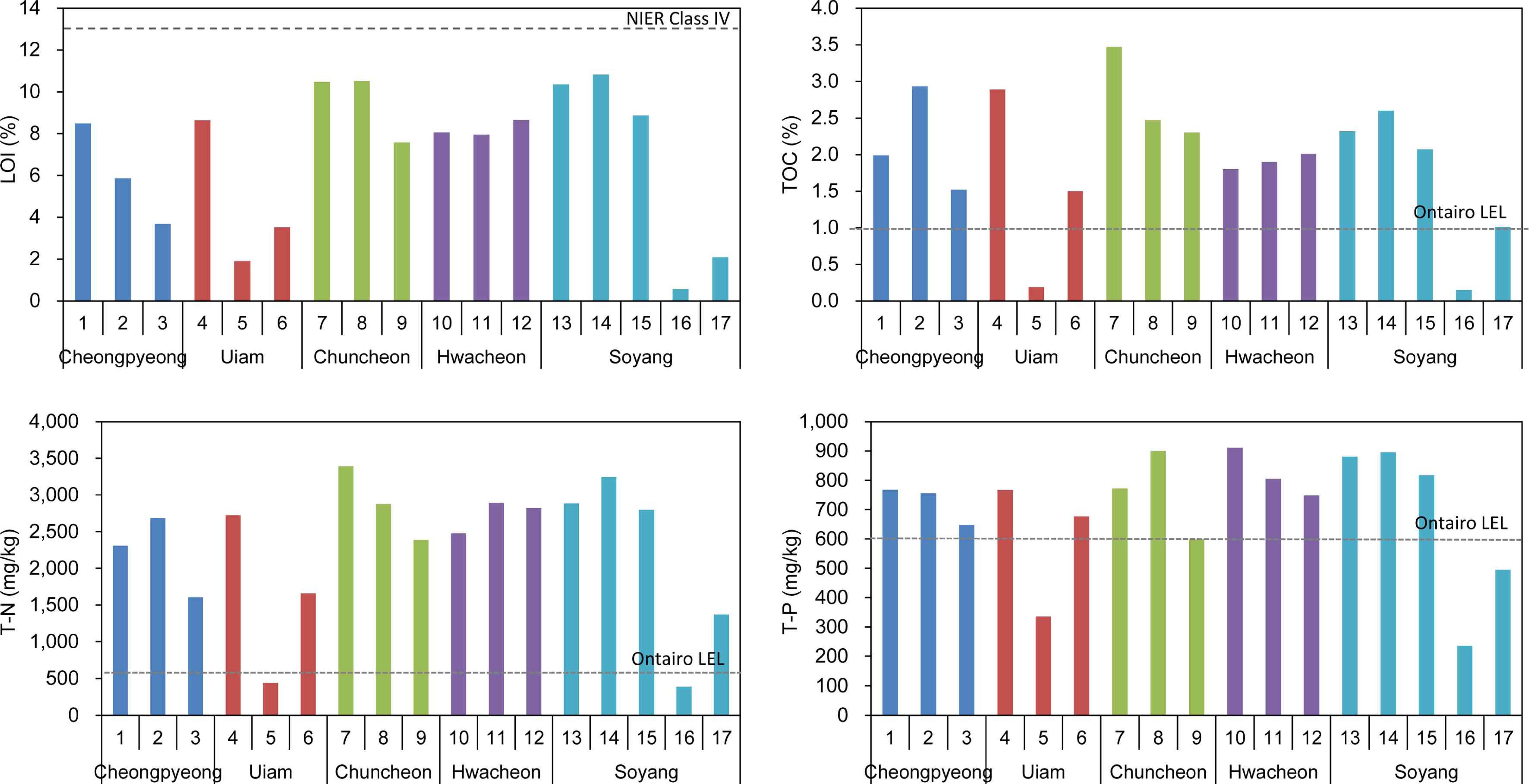
북한강 수계 호소 퇴적물의 LOI는 춘천댐>화천댐>소양 강댐>청평댐>의암댐으로 순으로 높게 나타났으며, 최소 0.57 %에서 최고 10.83 %로 조사되어 넓은 농도범위를 보 였다(Fig. 2). 특히 댐 내 넓은 농도 분포를 보이는 경향은 의암댐과 소양강댐에서 크게 나타났으며, 두 댐의 농도가 낮은 지점(5, 6, 16, 17)은 댐 상류 지점으로 수심이 다른 지점에 비해 비교적 낮고 입도 중 모래함량이 60 % 이상, 평균 입도가 100 μm 이상으로 Folk (1954)가 제시한 구분에 의하면, silty sand질로 나타났다(Table S3, Fig. S1). TOC 의 경우, 춘천댐>청평댐>화천댐>소양강댐>의암댐의 순으로 높게 나타났으며, 호소 내 지점별 농도의 분포 형태는 LOI 와 유사하였다. T-N은 춘천댐>화천댐>청평댐>소양강댐>의 암댐의 순서로 최고 농도는 춘천댐에서 관찰되었으며, 최소 농도는 소양강댐에서 나타났다. T-P의 경우 호소 간 대소 분포는 유사하였으나 호소 내 지점 간 분포는 다른 지표에 비해 크지 않았다.

Fig. 2. Concentrations and sediment quality guidelines of LOI, TOC, T-N and T-P.
../../Resources/kswe/KSWE.2019.35.2.105/JKSWE-35-105_F2.jpg

국내 호소 퇴적물 항목별 오염평가 기준의 경우, 유기물 질과 영양염류에 대해서는 IV등급만을 기준으로 하고 있으 며, 전 조사지점에서 LOI와 T-N, T-P 모두 IV등급 이내로 평가되어 “매우 심각하고 명백한 오염”은 없는 것으로 나타 났다. 캐나다 온타리오 주의 담수 퇴적물 오염 기준으로 평 가하였을 때, TOC와 T-N의 경우 의암댐의 지점5와 소양강 댐의 지점16은 Lowest effect level (LEL) 미만으로 “clean” 으로 평가되었으며 다른 모든 지점은 LEL 이상 Severe effect level (SEL) 미만으로 “clean~marginally polluted”이 었다. T-P의 경우 LEL 미만의 지점은 의암댐의 지점5, 춘 천댐의 지점9, 소양강댐의 지점16과 17이며 그 외의 지점 들도 LEL 기준에서 크게 높지 않은 것으로 확인되어 다른 유기물질 및 영양염류 항목에 비해 T-P에 의한 오염이 비 교적 적은 것으로 나타났다(Fig. 2). 따라서 북한강 수계 호 소퇴적물의 유기물질 및 영양염류에 의한 독성은 저서생물 이 견딜만한 수준 이하인 것으로 평가된다.

TOC와 T-N을 이용하여 산정한 유기물 지표(Org-index)로 퇴적물 내 유기물질의 오염도를 평가하였다(Fig. 3). “Unpolluted” 의 해당 지점은 의암댐의 지점5와 소양강댐의 지 점16이며, “Unpolluted~Marginally polluted”는 청평댐의 지점 3, 의암댐의 지점6, 소양강댐의 지점17이었다. “Moderately polluted”은 대부분의 지점(청평댐 1, 2, 의암댐 4, 춘천댐 8, 9, 화천댐 10, 11, 12, 소양강댐 15)이 해당되는 것으로 나타났다. “Heavily polluted”은 춘천댐의 지점7과 소양강댐 의 지점14로 이 지점들은 TOC와 T-N 뿐만 아니라 T-P도 높은 지점이므로 추후 유기물농도와 영양염류 관리 시 중 요한 지점으로 관심 가질 필요가 있다.

Fig. 3. Org-Indices and pollution classes.
../../Resources/kswe/KSWE.2019.35.2.105/JKSWE-35-105_F3.jpg

3.2. 금속류 농도분포와 오염도 평가

호소 내 퇴적물 금속류의 농도 차이와 유기물질 및 영양 염류의 농도차이는 거의 일치하지 않았으며 이는 금속류 시료채취 시 0.15 mm 이하의 시료만을 선별하여 채취하였 기 때문에 입도에 의한 영향이 배제되어 금속류 농도의 차 이가 줄어들었기 때문으로 사료된다(Fig. 4). 금속류의 농도 는 화천댐이 모든 항목에서 가장 높으며, 특히 Hg가 다른 호소에 비해 높은 농도로 조사되었다(Fig. 4). Hg는 자연적 으로 공기에 의해 유입되나, 인위적으로는 석탄을 이용한 화 력발전이나 금광산의 Hg가 수계로 유입될 수 있다(Pacyna et al., 2006). 화천댐의 경우, 유역인 양구군 및 그 상류에 금광산을 비롯한 다수의 금속광산이 존재하고 있다(KORES, 2018). 화천댐 하류에 위치하는 춘천댐이 그 다음으로 모든 금속류 농도가 높게 나타났다. 더 하류인 청평댐, 의암댐은 금속별로 약간의 차이는 있으나 유사한 농도 분포를 보여 상류의 영향은 줄어든 것으로 추정된다. 소양강댐의 경우, Hg를 제외하면 다른 호소에 비해 상·하류간 농도변화가 큰 것으로 나타났다. 이는 다른 호소에 비해 지점간 거리, 지 점별 수심 등 물리적 차이가 크기 때문으로 사료된다(Fig. 1, Table S1).

Fig. 4. Concentration and sediment quality guidelines of metals.
../../Resources/kswe/KSWE.2019.35.2.105/JKSWE-35-105_F4.jpg

금속류 농도를 이용한 퇴적물 오염도 평가를 실시하였다. 국내 호소 퇴적물 항목별 오염평가 기준을 적용한 경우, 청평댐과 의암댐, 소양강댐은 전 지점의 모든 금속류가 I등 급으로 하천·호소 퇴적물 지점별 오염평가 기준에 의해 “보통”으로 판정되어 저서생물에 독성이 나타날 가능성이 거의 없었다. 춘천댐의 경우 지점7과 지점 9는 모든 금속 류가 I등급으로 “보통”이었으며, 지점 8의 Ni, Hg가 II등급 이며, mPELKQ가 0.34 이하(0.336)로 “약간 나쁨”으로 판정 되어 저서생물에 독성이 나타날 가능성을 가지고 있었다. 화천댐은 지점 10은 Cu, Ni, Hg의 3개 금속이 II등급이며, mPELKQ가 0.37로 “나쁨”이며, 지점 11과 지점 12는 Cu, Ni As, Hg의 4개 금속이 II등급으로 mPELKQ가 각각 0.43 과 0.45로 “나쁨”으로 평가되었다. 따라서 화천댐은 전 지 점에서 저서생물에 독성이 나타날 가능성이 높다.

캐나다 온타리오 주 담수퇴적물 기준에 의하면, 청평댐은 Zn(지점2, 3), Cd, Hg 금속에 의해서는 오염의 영향을 받 지 않는 LEL 미만으로 “Clean”이며, 다른 금속인 Pb와 Cu, Cr, Ni, As은 LEL이상 SEL 미만으로 “Clean~Marginally” 로 나타났다. SEL을 초과하는 금속류는 없는 것으로 조사 되었다. 의암댐의 경우 Pb(지점5, 6), Cd, Hg는 LEL 미만 이고, Zn(지점 4, 6)과 Cu, Cr, Ni, As이 LEL이상 SEL미만 이었다. 춘천댐은 Cd과 Hg이 LEL이하로 조사되었으며, 다 른 금속류는 모두 LEL이상 SEL 미만으로 하류의 두 호소 에 비해 높은 오염도를 보였다. 더 상류인 화천댐의 경우 Cd 만이 LEL 미만으로 다른 금속류는 대부분 LEL이상 SEL미만이었다. 단 지점12의 Cr은 SEL 이상이었다. 소양 강댐은 지점별로 지점13, 14, 15는 Zn와 Cd, Hg이 LEL 미 만이었으며, Pb, Cu, Cr, Ni, 그리고 As는 LEL 이상 SEL 미만이었다. 그리고 상류인 지점16, 17은 Pb와 Zn, Cd, Hg 이 LEL 미만이었으며, Cu, Cr, Ni이 LEL 이상 SEL 미만 이었다. 따라서 대부분의 조사지점에서 금속류에 의한 독성 은 견딜만한 수준 또는 그 이하이었으며, 화천댐만이 Cr에 의한 독성 영향을 받을 것으로 사료된다.

북한강 수계 주요 호소퇴적물의 금속류에 의한 오염도를 농집지수(Igeo)를 이용하여 평가하였을 때, 화천댐을 제외한 모든 호소에서 Ni이 가장 높은 Igeo값을 보였다(Table 3). 청평댐과 의암댐의 모든 지점은 Ni을 제외한 전 금속류가 “Unpolluted”로 판정되었다. 춘천댐의 지점7과 9는 금속류 대부분이 “Unpolluted”이고 일부 금속(Cu, Ni)이 “Unpolluted ~ Moderately polluted”로 평가되었다. 지점8은 Cu, Ni, As 그리고 Hg에서 “Unpolluted~Moderately polluted”의 상태이 었다. 다른 호소에 비해 금속류 농도가 높았던 화천댐은 Zn, Cr과 Cd에 대해서는 모든 지점에서 “Unpolluted”로 판 정되었으나, Pb와 Cu, Ni, As에 대해서는 대부분 지점에서 “Unpolluted~Moderately polluted” 평가되었다. 특히 Hg의 경우 세 지점 모두 1 ~ 2 사이로 “Moderately polluted”로 모든 지점과 전 금속류 중 가장 농축되어 있는 것으로 나타났다. 소양강댐은 Ni을 제외하면 대부분의 금속류가 전 지점에서 “Unpolluted”으로 판정되었다. Ni의 경우 다섯 지점 모두에 서 “Unpolluted~Moderately polluted”로 평가되었으며, As은 지점13에서만 0.25로 약간 농축되어 있는 것으로 조사되었 다. 화천댐의 수은을 제외하면 대부분의 금속류에의한 오염 이 적은 것으로 나타난 Igeo의 결과는 국내 호소 퇴적물 항 목별 오염평가 기준의 평가결과와 매우 유사하였다.

Table 3. Summary of metal pollution assessment indices for sediment
Site Lake Index of geoaccumulation (Igeo) Pollution load index (PLI) Ecological risk (RI)


Pb Zn Cu Cr Ni As Cd Hg Site Lake

1 Cheongpyeong -0.32 -0.80 -0.13 -0.56 0.16 -0.86 -1.00 -0.34 1.07 0.97 133
2 -0.33 -0.89 -0.32 -0.65 -0.02 -1.04 -1.05 -1.18 0.93 96
3 -0.33 -0.96 -0.50 -0.57 -0.06 -1.04 -1.26 -1.18 0.90 92

4 Uiam -0.37 -0.69 -0.25 -0.85 -0.18 -1.67 -1.00 -0.85 0.90 0.84 105
5 -0.58 -1.06 -0.55 -0.49 -0.03 -1.36 -1.45 -2.08 0.78 66
6 -0.57 -0.64 -0.58 -0.23 0.12 -1.72 -1.15 -1.85 0.84 74

7 Chuncheon -0.42 -0.78 0.24 -0.37 0.38 -0.29 -0.86 -0.44 1.20 1.26 138
8 -0.03 -0.52 0.42 -0.26 0.61 0.00 -0.70 0.53 1.51 217
9 -0.18 -0.79 -0.01 -0.57 0.21 -0.16 -1.15 -0.77 1.11 117

10 Hwacheon -0.03 -0.58 0.60 -0.31 0.70 0.16 -0.35 1.21 1.69 1.89 313
11 0.32 -0.57 0.65 -0.21 0.76 0.43 -0.18 1.86 1.96 454
12 0.47 -0.32 0.66 -0.16 0.76 0.52 -0.18 1.78 2.04 436

13 Soyang -0.12 -0.85 -0.18 -0.50 0.40 0.25 -0.66 -0.29 1.27 0.96 154
14 -0.34 -0.90 -0.23 -0.43 0.38 -0.56 -1.00 -0.48 1.10 128
15 -0.47 -1.05 -0.54 -0.72 0.15 -0.84 -1.26 -0.80 0.93 104
16 -0.64 -1.21 -0.71 -0.86 0.04 -1.06 -1.38 -0.29 0.88 123
17 -0.89 -1.42 -0.89 -1.18 -0.20 -1.39 -1.58 -1.05 0.71 84

오염부하계수(PLI)는 1을 기준으로 인위적인 오염도를 판 단할 수 있다. 청평댐의 경우 PLIsite는 0.90 ~ 1.07로 상류에 서 하류로 갈수록 높아졌으며, 호소 전체의 오염부하계수 PLIlake는 0.97로 조사되어 전반적으로 인위적인 오염은 적은 것으로 사료된다(Table 4). 의암댐의 PLIsite는 0.78 ~ 0.90, PLIlake는 0.84로 조사 호소 중 가장 낮아 인위적 오염이 다 른 호소에 비해 적을 것으로 판단된다. 춘천댐은 모든 지 점에서 PLIsite가 1을 초과하여 인위적 오염이 있을 것으로 판단된다. 화천댐의 경우, 가장 높은 값을 보여 앞선 오염 평가 결과들과 일치 하였다. 소양강댐은 상류에서 하류로 갈수록 PLIsite가 증가하여 상류에 비해 하류에 오염이 축적 되는 것으로 사료된다.

Table 4. Correlation coefficients for organic matter, nutrients, and metals parameters (Spearman rho, n=17)
Mz LOI TOC T-N T-P Pb Zn Cu Cr Ni As Cd Hg

Water depth -0.924** 0.797** 0.505* 0.797** 0.860** 0.579* 0.346 0.600* 0.377 0.722** 0.738** 0.674** 0.579*
Mz -0.730** -0.419 -0.770** -0.824** -0.763** -0.588* -0.772** -0.556* -0.847** -0.844** -0.842** -0.702**
LOI 0.767** 0.882** 0.821** 0.482 0.446 0.603* 0.358 0.579* 0.575* 0.646** 0.459
TOC 0.777** 0.551* 0.340 0.348 0.451 0.071 0.251 0.310 0.470 0.125
T-N 0.762** 0.529* 0.525* 0.672** 0.480 0.673** 0.656** 0.751** 0.503*
T-P 0.551* 0.488* 0.596* 0.429 0.650** 0.580* 0.708** 0.520*
Pb 0.758** 0.899** 0.606** 0.783** 0.843** 0.849** 0.695**
Zn 0.816** 0.765** 0.703** 0.552* 0.842** 0.560*
Cu 0.674** 0.856** 0.865** 0.907** 0.760**
Cr 0.769** 0.571* 0.708** 0.450
Ni 0.912** 0.853** 0.842**
As 0.790** 0.821**
Cd 0.774**

* p-value < 0.05,

** p-value < 0.01

생태학적 위험성 지표(RI)는 PLIsite와 유사한 경향을 보이 며, 청평댐과 의암댐, 춘천댐, 소양강댐은 생태학적 위험도 가 낮거나 약한 가능성이 있는 것으로 나타났다. 반면, 화 천댐의 경우 모든 지점의 RI 값이 300이상으로 상당한 생 태학적 위험 가능성이 있는 것으로 나타났다.

금속류의 오염도 평가결과를 살펴보았을 때, 북한강 수 계 호소퇴적물은 금속류에 의해 거의 오염되지 않았으나, 화천댐의 금속류의 농도가 높은 것으로 나타났다. 특히 Hg에 의한 오염도가 다른 호소에 비해 높았다. 그러나 2017년의 화천댐 수질(물환경정보시스템)을 살펴보았을 때, Hg은 정량한계 미만으로 보고되어 호소수의 이용에는 문 제가 없을 것으로 판단된다. 또한 한강수계 호소환경 및 생태조사(ME, 2015) 결과, 저서성 대형무척추동물은 화천 댐의 26종으로 춘천댐 45종보다는 적지만 12종인 소양강댐 보다는 높고, 평균 개체밀도 역시 748 Ind./m2으로 춘천댐(774 Ind./m2)와 소양강댐(314 Ind./m2)에 비해 낮지 않아 퇴적물 내 금속류에 의한 독성이 높지 않을 것으로 사료된다.

3.3. 상관성분석 및 요인분석

호소의 환경조건인 수심과 평균입경(Mz), 유기물질(LOI, TOC), 영양염류(T-N, T-P), 그리고 금속류 간(Pb, Zn, Cu, Cr, Ni, As, Cd, Hg)의 상관성을 조사하기 위해 스피어만 상관분석(Spearman’s correlation analysis)을 실시하였다 (Table 4). McDonald (2014)에 의하면 스피어만 상관분석은 항목의 순위를 이용한 것으로 항목 간 분포가 일반적인 직 선성을 보이지 않거나, 동분산이 아닌 경우 이용할 수 있으 며 이 연구에서는 평균입경이 다른 항목과 직선성을 보이지 않았다. 수심은 평균입경과 가장 높은 음의 상관성을 갖는 것으로 나타났다. 또한 수심은 LOI 및 T-N과 T-P 모두 0.79 이상의 높은 상관계수를 보이며, TOC는 상관계수는 낮지만 통계적으로 유의하여, 호소의 수심이 일반항목에 큰 영향을 주는 것을 확인하였다. 호소 수심이 깊을수록 세립 한 입자가 많이 분포하는 것으로 알려져 있다(Xiao et al., 2012). 유기물항목과 영양염류의 각 항목 간에는 높은 상관 계수를 갖는 것으로 나타났다. 금속류의 경우 평균입경과 높 은 음의 상관계수를 갖는 것으로 조사되었다. 일반항목과 금 속류가 서로 다른 체를 사용하여 분석하였음에도 불구하고 높은 상관계수를 갖는 것은 북한강 수계 호소의 입경이 작아 두 시료가 유사하기 때문으로 사료된다(Table S2). 세립한 퇴적물의 높은 유기물질 및 금속류의 함량은 표면적 증가에 따라 흡착 및 이온교환량의 증가가 원인으로 알려져 있다 (Horowitz, 1991). 또한 Cr을 제외한 다른 금속류는 T-N과 T-P와도 통계적으로 유의한 상관성을 갖는 것으로 나타났 다. 금속과 영양염류는 서로 흡착되어 함께 퇴적되며 이러 한 결과는 양윤모 등에서 제시한 결과와 유사하다(Yang et al., 2018). 금속류 간에는 Hg과 Cr을 제외하면 모두 통계적 으로 유의한 상관성을 갖는 것으로 나타났다.

북한강 수계 호소 퇴적물을 대상으로 주성분분석(Principal component analysis, PCA)을 실시하였다. 주성분분석에는 상관분석의 항목을 이용하였다. 주성분분석 결과 주성분은 2개로 구분되었으며, 각각 61.6 %, 21.8 %으로 총 83.4 %까 지 설명 가능하였다. Loading plot을 통해 항목들이 성분들 에 주는 영향을 살펴보면, 주성분 1(PC1)은 모든 금속류의 농도가 0.808 이상의 양의 상관관계를 보여, 금속류의 농도 의 대소를 의미하였다. 주성분2(PC2)는 평균입경이 0.787의 음의 상관성을 보이며, 다른 유기물 및 영양염류가 0.765 이상 양의 상관성을 보였다. 따라서 PC2는 입도와 일반항 목 농도를 의미하였다(Fig. 5). 스피어만 상관분석에서는 평 균입경과 일반항목, 금속류 항목 모두 높은 상관계수를 보 였으나, 주성분 분석에서는 일반항목과의 상관성이 높아 입 도차이에 의한 영향은 일반항목이 금속류보다 높은 것으로 나타났다. 두 주성분 PC1과 PC2의 Score plot을 살펴보면 3개의 북한강수계 호소는 3개의 그룹으로 구분되었다(Fig. 5). 금속류 농도에 의해 화천댐이 구분되며, 평균입경에 의 해 평균입경이 큰 의암댐 지점5와 소양강댐 지점 16과 17 로 구분되며 청평댐, 의암댐, 춘천댐은 대체로 유사한 성상 을 보이는 것으로 나타났다(Fig. 5).

Fig. 5. (a) Loading plot and (b) score plot of two dominant principal components (Lakes identification: Cheongpyeong (1 ~ 3), Uiam (4 ~ 6), Chuncheon (7 ~ 9), Hwacheon (10 ~ 12), and Soyang (13 ~ 17)).
../../Resources/kswe/KSWE.2019.35.2.105/JKSWE-35-105_F5.jpg

4. Conclusion

북한강 수계의 퇴적물 측정망 지점 호소퇴적물을 대상으 로 유기물항목과 영양염류, 금속류의 분포를 비교하였으며, 국·내외의 다양한 기준과 평가방법들을 이용하여 오염도평 가를 실시하였다.

주요 호소의 유기물질 및 영양염류의 농도는 전반적으로 춘천댐이 가장 높았으며 의암댐과 소양강댐은 상·하류 지점 간 차이가 크게 나타났다. 오염정도를 국내 호소퇴적물 평가 기준으로 볼 때, LOI와 T-N, T-P 모두 IV등급 이내로 평가 되어 “매우 심각하고 명백한 오염”은 없는 것으로 판단된다. 캐나다 온타리오 주의 담수 퇴적물 환경 기준으로 평가하면 TOC와 T-N, T-P는 의암댐 지점5와 소양강댐 지점 16을 제 외하면 LEL 이상, SEL이하로 심각한 오염이 없고 저서생 물이 견딜 수 있는 정도의 유기물 오염이 있는 것으로 나 타났다. Org-index를 사용하였을 경우, 대부분의 지점에서 “Moderately polluted” 이하로 평가되어 유기물질의 오염 이 크지 않았으나 춘첨댐의 지점7과 소양강댐의 지점14는 “Heavily polluted”로 유기물질의 오염이 매우 높게 나타났다.

금속류의 경우, 화천댐에서 가장 높은 것으로 나타났으며, 이는 유역에 존재하는 광산 때문으로 사료된다. 춘천댐은 두 번째로 높은 농도를 보였으며 청평댐, 의암댐은 유사한 농도 분포를 보였다. 소양강댐의 경우, 지점에 따른 농도변 화가 존재하며 이는 다른 호소에 비해 지점간 거리, 지점별 수심 차 등 물리적 차이가 크기 때문으로 예상된다. 국내 호소 퇴적물 항목별 오염평가 기준을 적용한 경우, 청평댐 과 의암댐, 소양강댐은 전 지점의 모든 금속류가 I등급으로 지점별 평가는 “보통”으로 오염이 없고, 저서생물에 독성이 나타날 가능성이 거의 없는 것으로 나타났다. 춘천댐의 경 우 지점7과 지점 9는 “보통”이었으며, 지점 8은 “약간나쁨” 으로 판정 되어 저서생물에 독성이 나타날 가능성을 가지고 있었다. 화천댐은 전 지점이 “나쁨”으로 저서생물에 독성이 나타날 가능성이 높다. 캐나다 온타리오 주 담수퇴적물 기 준에 의하면, 화천댐 지점12의 Cr을 제외하면 모든 금속류 는 SEL 미만으로 퇴적물 내 미생물이 견딜만한 수준 이었 다. 단 화천댐 지점12의 Cr은 SEL 이상으로 퇴적물 내 미 생물에 유해한 영향을 줄 것으로 사료된다. 농집지수(Igeo)와 호소 오염부하계수(PLIlake), 생태학적 위험성지표(RI) 모두 대부분의 호소에서 금속류 오염이 적은 것으로 나타났으나 화천댐의 경우 세 지표 모두 높아 비교적 오염되어 있다. 그러나 이전에 연구된 한강수계 호소환경 및 생태조사 결과 에 의하면 그 영향은 크지 않은 것으로 나타났다.

항목간의 상관성을 알아보기 위해 스피어만 상관분석을 실시하였으며, 수심과 평균입경은 일반항목과 유의한 상관 성을 보였다. 중금속의 경우 평균입경과도 매우 높은 음의 상관계수를 갖는 것으로 조사되었다. 주성분분석 결과, 주 성분은 3개로 구분되었으며, 주성분1은 금속류 농도를 의 미하고, 주성분2는 입도와 일반항목의 농도를 주성분3은 수심을 의미하였다. 주성분1과 2의 Score plot을 살펴보면 고농도 금속류 그룹과 큰 입경 그룹, 저농도 금속류 그룹 의 세 개의 그룹으로 구분되었다.

Acknowledgement

본 연구는 환경부의 재원으로 국립환경과학원의 지원을 받아 수행하였습니다(NIER-2018-03-03-002).

References

1 
Akomeah E., Lindenschmidt K.E., 2017, Seasonal variation in sediment oxygen demand in a northern chained river-lake system, Water, Vol. 9, pp. 254Google Search
2 
Brich G.F., Apostolatos C., 2013, Use of sedimentary metals to predict metal concentrations in black mussel (Mytilus galloprovincialis) tissue and risk to human health (Sydney Estuary, Australia), Environmental Science and Pollution Research, Vol. 20, No. 8, pp. 5481-5491Google Search
3 
Burton G.A., 2002, Sediment quality criteria in use around the world, Limnology, Vol. 3, pp. 65-75Google Search
4 
Butler B.A., Reisman D.J., 2008, Preliminary results: release of metals from acid-mine drainage contaminated streambed sediments under anaerobic conditions, American Society of Mining and Reclamation, pp. 206-222
5 
Byun J.H., Hwang S.J., Kim B.H., Park J.R., Lee J.K., Lim B.J., 2015, Relationship between a dense population of cyanobacteria and odorous compounds in the North Han river system in 2014 and 2015, (Korean Literature), Korean Journal of Ecology and Environment, Vol. 48, No. 4, pp. 263-271Google Search
6 
Choi J.S., 2005, Fish fauna and community in cheongpyeong reservoir, (Korean Literature), Korean Journal of Limnology, Vol. 38, No. 1, pp. 63-72Google Search
7 
D’Angleo E.M., Reddy R.E., 1994, Diagenesis of organic matter in a wetland receiving hypereutrophic lake water: I. distribution of dissolved nutrients in the soil and water column, Journal of Environmental Quality, Vol. 23, pp. 928-936Google Search
8 
Folk R.L., 1954, The distinction between grain size and mineral composition in sedimentary-rock nomenclature, Journal of Geology, Vol. 62, pp. 344-359Google Search
9 
Goher M.E., Farhat H.I., Abdo M.H., Salem S.G., 2014, Metal pollution assessment in the surface sediment of lake Nasser, Egypt, Egyptian Journal of Aquatic Research, Vol. 40, pp. 213-224Google Search
10 
Govers L.L., Brouwer J.H.F., Suykerbuyk W., Bouma T.J., Lamers L.P.M., Smolers A.J.P., Katwijk M.M., 2014, Toxic effects of increased sediment nutrient and orgnic matter loading on the seagrass zostera noltii, Aquatic Toxicoligy, Vol. 155, pp. 253-260Google Search
11 
Håkanson L., 1980, An ecological risk index for aquatic pollution control. A sedimentological approach, Water Research, Vol. 14, pp. 975-1001Google Search
12 
Horowitz A.J., 1991, A primer on sediment-trace element chemistry, Lewis publish, pp. 1-136
13 
Hwang D.W., Jin H.G., Kim S.S., Kim J.D., Park J.S., Kim S.G., 2006, Distribution of organic matters and metallic elements in the surface sediments of Masan harbor, Korea, (Korean Literature), Journal of the Korean Fisheries Society, Vol. 39, No. 2, pp. 106-117Google Search
14 
Jung K.W., Yoon C.G., Lee I.H., Lee S.I., Kang S.M., Han J.H., 2014, Pollutants release from sediments in estuarine reservoir, (Korean Literature), Journal of the Korean Society of Agricultural Engineers, Vol. 56, No. 1, pp. 1-9Google Search
15 
Kim Y., Lee B., Park J., Shin W., Chung S.W., Choi S., Jun H., 2016, Characteristic of sediment and correlation analysis of pollutant material with application of water purification equipment in lake, (Korean Literature), Korean Society of Water and Technology, Journal of Water Treatment, Vol. 24, No. 6, pp. 127-135Google Search
16 
Korea Resources corporation (KORES), 2018, www.kmrgis.net (accessed Oct. 2018), Korea Mineral Resources Geographic Information System (KMRGIS)
17 
Lee J., Kim S., Song J., Lee T., 2010, Evaluation of organic compounds and heavy metals in sediments from the urban streams in the Busan city, (Korean Literature), Journal of the Korean Geo-Environmental Society, Vol. 11, No. 1, pp. 35-43Google Search
18 
McDonald J.H., 2014, www.biostathandbook.com/spearman, Handbook of biological statistics 3rd, spearman rank correaltion, Sparky House Publishing, pp. 210-213
19 
Ministry of Environment (ME), 2015, [Korean Literature], Survey on the environment and ecosystem of lakes in the Han River system (VIII), Han-River Research Center, Vol. xxv
20 
Ministry of Environment (ME), 2016, [Ministry of Environment notice 2016-65, Enforcement Date 1st April, 2016], www.law.go.kr [Korean Literature], Standard methods for the examination of environmental pollution (water pollution)
21 
Ministry of Environment (ME), 2018, water.nier.go.kr/WaterData/sedimentSearch.do (accessed Oct. 2018), Water Environment Information System (WEIS)
22 
Mucha A.P., Vasconcelos M.T.S.D., Bordalo A.A., 2003, Macrobenthic community in the douro estuary: Relations with trace metals and natural sediment characteristics, Environmental Pollution, Vol. 121, No. 2, pp. 169-180Google Search
23 
Muller G., 1969, Index of geoaccumulation in sediments of the Rhine river, GeoJournal, Vol. 2, pp. 108-118Google Search
24 
National Institute of Environment Research (NIER), 2011, [Korean Literature], Baseline concentrations of heavy metals in river sediments in Korea, National Institute of Environment Research, pp. 38
25 
National Institute of Environment Research (NIER), 2015, [National Institute of Environment Research notice 2015-687, Enforced Date 16th November, 2015], www.law.go.kr. [Korean Literature], Guidelines for Assessing Contaminated Sediment in Streams and Lakes
26 
Ontario, 2018, www.ontario.ca (accessed Aug. 2018), Guidelines for Identifying, Assessing and Managing Contaminated Sediments in Ontario
27 
Pacyna E.G., Pacyna J.M., Steenhuisen F., Wilson S., 2006, Global anthropogenic mercury emission inventory for 2000, Atmosphere Environment, Vol. 40, No. 22, pp. 4048Google Search
28 
Park G.A., Kwon H.J., Kim S.J., 2006, Analysis of geomorphological characteristics of Bukhan river basin based on hydrologic unit map, (Korean Literature), Korean Society of Civil Engineers, Vol. 26, No. 3, pp. 241-251Google Search
29 
Phillips D.P., Human L.R.D., Adams J.B., 2015, Wetland plants as indicators of heavy metal contamination, Marine Pollution Bulletin, Vol. 92, pp. 227-232Google Search
30 
Shin H.J., Jeon C.H., Choi I.C., Yeon I.C., 2009, Estimation of beneficiary’s willingness to pay in mid·downstream area to the water quality improvements in upper Bukhan river basin, (Korean Literature), Seoul Studies, Vol. 10, No. 4, pp. 91-106Google Search
31 
United States Environmental Protection Agency (U. S. EPA.), 2001, Methods for collection, storage and manipulation of sediments for chemical and toxicological analyses: technical manual, United States Environmental Protection Agency, EPA-823-B-01-002
32 
Wang L., Xia J., Yu J., Yang L., Zhan C., Qiao Y., Lu H., 2017, Spatial variation, pollution assessment and source identification of major nutrients in surface sediments of Nansi lake, China, Water, Vol. 9, No. 444, pp. 1-12Google Search
33 
Xiao J., Chang Z., Fan J.W., Zhou L., Zhai D., Wen R., Qin X., 2012, The link between grain-grain size components and depositional processes in a modern clastic lake, Sedimentology, Vol. 59, pp. 1050-1062Google Search
34 
Xu J., Chen Y., Zheng L., Liu B., Liu J., Wang X., 2018, Assessment of heavy metal pollution in the sediment of the main tributaries of Dongting lake, China, Water, Vol. 10, No. 1060, pp. 1-16Google Search
35 
Yang C., Wu Y., Zhang F., Liu L., Pan R., 2014, Pollution characteristics and ecological risk assessment of heavy metals in the surface sediments from a source water reservoir, Chemical Speciation & Bioavailability, Vol. 28, No. 1-4, pp. 133-141Google Search
36 
Yang Y., Oh D., Kim D., Lee D., Kil G., Cho Y., Lee H., Cheon S., Chae M., 2018, Pollution assessment in surface sediment of weir constructed sections in Geum river, (Korean Literature), Journal of the Korean Society for Environmental Analysis, Vol. 21, No. 3, pp. 125-138Google Search