The Journal of
the Korean Society on Water Environment

The Journal of
the Korean Society on Water Environment

Bimonthly
  • ISSN : 2289-0971 (Print)
  • ISSN : 2289-098X (Online)
  • KCI Accredited Journal

Editorial Office


  1. 국립금오공과대학교 환경공학과 (Department of Environmental Engineering, Kumoh National Institute of Technology)



Calorimetry, Cavitation, Heterogeneous system, Sonochemical effects, Sonochemiluminescence (SCL), Sonophysical effects

1. Introduction

액상에의 20 kHz 이상의 초음파 조사에 의해 발생하는 초음파 캐비테이션 현상은 상대적으로 낮은 에너지 조건에 서도 다양한 물리적 효과 및 화학적 효과를 유도할 수 있 어 다양한 환경/화학/재료/에너지 공정 등에서 사용될 수 있다(Adewuyi, 2001; Gotoh and Harayama, 2013; Leong et al., 2013; Neppolian et al., 2012; Park et al., 2017; Son, 2017; Thompson and Doraiswamy, 1999). 기존의 연구에서 는 대부분 액상의 균일한 매질을 대상으로 초음파 기술을 적용하여 액상 내 다양한 현상을 규명하는 것이 주요 연구 주제였으나 최근 촉매 등의 재료 합성 연구가 활발하게 진 행되면서 고체물질을 포함한 불균일계에서의 초음파 캐비 테이션 현상에 대한 관심이 높아지고 있다. 또한 초음파세 척공정과 같이 진동자에 고체물질이 접촉되어 효율이 저하 되는 것을 방지하기 위해 이중 반응기 시스템을 적용하는 경우가 많은데, 이러한 경우 외부반응기에서 전달된 초음파 에너지가 내부반응기로 유입되면서 발생하는 감쇠현상 및 내부반응기 내부의 세척대상 고체물질에 의한 감쇠현상과 캐비테이션 현상의 정도 등에 대한 연구가 매부 부족한 실 정이다.

기존 연구에서 액상 내 입자성 혹은 분말형 고체물질이 상대적으로 적은 양이 존재하는 경우에 초음파를 조사하는 경우를 살펴보면 Son et al. (2012)은 TiO2 농도 0 ~ 100 mg/L 조건에서 36 kHz 초음파를 적용하여 반응기 내 위치 에 따른 음압(Sound pressure)의 감소 정도를 살펴보았는데 TiO2가 없는 조건과 있는 조건에서 유의미한 차이를 확인 하지 못하였다. Tuziuti et al. (2007)은 154 kHz 초음파 조 건에서 알루미늄 입자와 테플론 분말을 주입하여 초음파화 학발광기법(Sonochemiluminescence, SCL)을 적용하였는데, 입자 및 분말을 주입할 경우 캐비테이션 활성화 정도가 크 게 증진되는 것을 확인하였다. 이는 입자/분말의 존재가 캐 비테이션 버블에 대한 핵형성 자리(Nucleation site)로 작용 하여 캐비테이션 현상이 보다 낮은 에너지 상태에서도 가 능하였기 때문이라고 보고하였다. Kim et al. (2018)은 바 이오차 분말을 주입할 경우 흡착 및 캐비테이션 현상의 활 성화 등의 시너지 효과가 크게 발생하여 높은 오염물질 분 해효율을 나타내는 것으로 보고하였다. 상대적으로 액상대 비 많은 양의 고체물질을 넣는 경우를 살펴보면 Gotoh and Harayama (2013)는 이중 반응기에서 초음파(38 kHz)에 의 한 직물(Textiles)의 세척을 연구하였으며, Choi et al. (2016)은 프루브 형태 초음파 장비(20 kHz)를 이용하여 직 물의 세척을 연구하였다. 상대적으로 큰 입자성 고체물질을 이용하는 경우로 Kim et al. (2016)Park and Son (2017) 은 오염토양 세척을 위해 이중 반응기에서 초음파 기술을 적용하여 중금속 등의 오염물질 처리효율을 연구하였다. 분 말형 입자와 모래 등과 같은 큰 입자에 대한 연구에 있어 가장 큰 차이점은 초음파 조사로 인한 해당 입자의 부유 여부 및 그에 따른 캐비테이션 현상의 차이로 구분할 수 있는데, 아직까지 이를 비교 연구한 실험은 보고되지 않고 있다. 이상의 연구에서 대부분의 연구가 캐비테이션 현상 자체 및 그에 따른 다양한 효과의 처리효율에 집중하였는 데, 앞서 언급한 초음파 에너지의 감쇠현상 및 그에 따른 캐비테이션 현상의 변화에 대한 내용은 거의 언급되지 않 아 이중 반응기와 같이 관련된 시스템 및 세척 등의 대상 고체물질의 주입양 등에 대한 최적화가 현재로서는 어려운 상황이다.

본 연구에서는 28 kHz 초음파 이중반응기를 이용하여 다 양한 조건에서의 초음파 에너지 감쇠 및 캐비테이션 물리 적 효과 및 화학적 효과를 정량적으로 분석하였다. 내부반 응기 내 다양한 두께로 글라스비드층이 존재하는 조건에서 글라스비드층 위 수위를 변화시켜 각 조건에서의 열량에너 지 발생량을 내부 및 외부반응기에서 비교하였으며, 알루미 늄 호일 실험을 통해 각 조건에서의 캐비테이션 물리적 효 과를 분석하였다. 마지막으로 루미놀 실험을 통해 초음파 에너지 감쇠 및 화학적 효과를 시각적으로 확인하였다.

2. Materials and Methods

2.1. 반응기 구성

본 연구에서 사용한 초음파 반응기의 모식도를 Fig. 1에 나타내었다. 반응기는 두 개의 아크릴 재질의 사각반응기로 구성되는데, 외부 반응기(sonoreactor/outer reactor, 200 × 200 × 200 mm3)에는 바닥면에 28 kHz 초음파 진동자 모듈 을 설치하였으며, 내부 반응기(vessel/inner reactor, 150 × 150 × 150 mm3)를 외부 반응기 내부에 설치하여 간접적으 로 초음파 영향을 받을 수 있도록 하였다. 이는 액상 내 고체 물질을 직접적으로 진동자 모듈 진동면에 접촉시키기 않기 위함으로 일반적인 초음파 세척장치에서 채택하고 있 는 방식이다. 내부반응기 바닥면과 외부반응기의 바닥면(진 동면) 사이의 거리는 2 cm였으며, 외부 반응기에는 2 L의 수돗물을 내부반응기에는 일정양의 증류수 혹은 증류수/글 라스비드(직경: 4 mm)를 채운 후 초음파를 조사하였다. 글 라스 비드는 내부반응기 바닥면에서의 쌓이는 높이를 기준 으로 0, 0.5, 1.0, 2.0 cm를 적용하였으며, 각 비드 높이 조 건에 대해 0.5, 1, 2, 3, 4, 5, 6, 7 cm (90 ~ 1,540 mL)의 전 체 수위를 적용하였다.

Fig. 1. A schematic of the double-bath sonoreactor used in this study.
../../Resources/kswe/KSWE.2019.35.2.115/JKSWE-35-115_F1.jpg

2.2. 초음파 에너지 측정

초음파 모듈로의 유입 전기에너지는 파워미터(HPM-300A, ADpower)를 이용하여 측정하였으며, 모든 실험 조건에서 290 W 수준으로 일정하게 유지하였다. 다양한 조건에서의 초음파 에너지를 측정하기 위하여 열량에너지법(Calorimetry) 을 적용하였는데, 이는 다음의 식 (1)과 같이 초음파 조사 로 인한 액상의 온도상승 측정을 통한 에너지 정량화방법 으로, 초음파 연구에서 가장 일반적으로 사용하는 에너지 측정방법으로 보고되고 있다.

(1)
P cal = dT dt C p M

여기서 Pcal은 초음파에너지를 의미하며, dT/dt는 액상의 단 위시간당 온도상승률, Cp는 액체의 비열(물: 4.2/g/K), M은 액체의 질량을 의미한다(Asakura et al., 2008; Son, 2017).

2.3. 초음파물리적 효과 확인

초음파 캐비테이션에 의해 발생하는 Microjet 등의 고체 표면에 직접적인 영향을 미치는 초음파물리적 효과를 확인 하기 위하여 알루미늄 호일 실험을 수행하였다. 내부반응기 의 하부 면적과 동일한 면적의 알루미늄 호일을 내부반응 기 내 글라스비드층 하부 및 상부에 설치하여 초음파에 의 한 알루미늄 호일 표면의 손상 정도를 이미지 분석 프로그 램으로 정량화하여 다음의 식을 통해 비교하였다(Son, Cha et al., 2011). 이 때 적용한 실험 조건은 열량에너지법을 적용한 경우와 동일하게 하였다.

(2)
손상률 = 손상된면적의픽셀수 전체면적의픽셀수

또한 글라스비드 상부의 수면까지의 물리적 효과를 확인 하기 위하여 내부반응기 폭과 동일한 크기의 알루미늄 호 일을 세로로 세워 수위 조건이 2, 3, 6 cm의 각 조건에서 손상 정도를 분석하였다. 사용한 알루미늄 호일은 일반 주 방용 호일로 두께는 15 μm였다.

2.4. 초음파화학적 효과 확인 및 시각화

초음파 캐비테이션에 의해 발생하는 라디칼 등에 의한 산화반응을 루미놀(Luminol, 3-aminophthalhydrazide) 기법 을 이용하여 시각적으로 확인하였다. 이는 다음의 반응식과 같이 액상의 루미놀이 초음파 캐비테이션 현상에 의해 발생 한 산화 라디칼과 반응하여 들뜬 상태의 3-aminophthalate (3-APA)로 전환되고 이후 빛을 발생시킨 후 안정화 되는 원리를 이용하는 기법으로, 반응기 내 라디칼 산화반응이 활발하게 진행되는 지점은 파란색 계열의 밝은 빛이 발생하 게 된다. 루미놀 용액을 이용하는 이러한 방법을 초음파화 학발광기법(SCL)이라고도 하며, 루미놀 용액의 조성은 루미 놀 0.1 g/L 및 NaOH 1 g/L로 구성된다(Choi et al., 2019; Son, 2017).

(3)
Luminol + OH 3 - APA 3 - APA + light

본 연구에서는 SCL 이미지를 얻기 위해 완벽한 암실 조 건을 조성한 후 노출 기능이 포함된 디지털카메라(α58, SONY)를 이용하여 초음파 조사 조건에서 노출시간 90초 를 적용하였다.

3. Results and Discussion

3.1. 초음파 에너지 분석

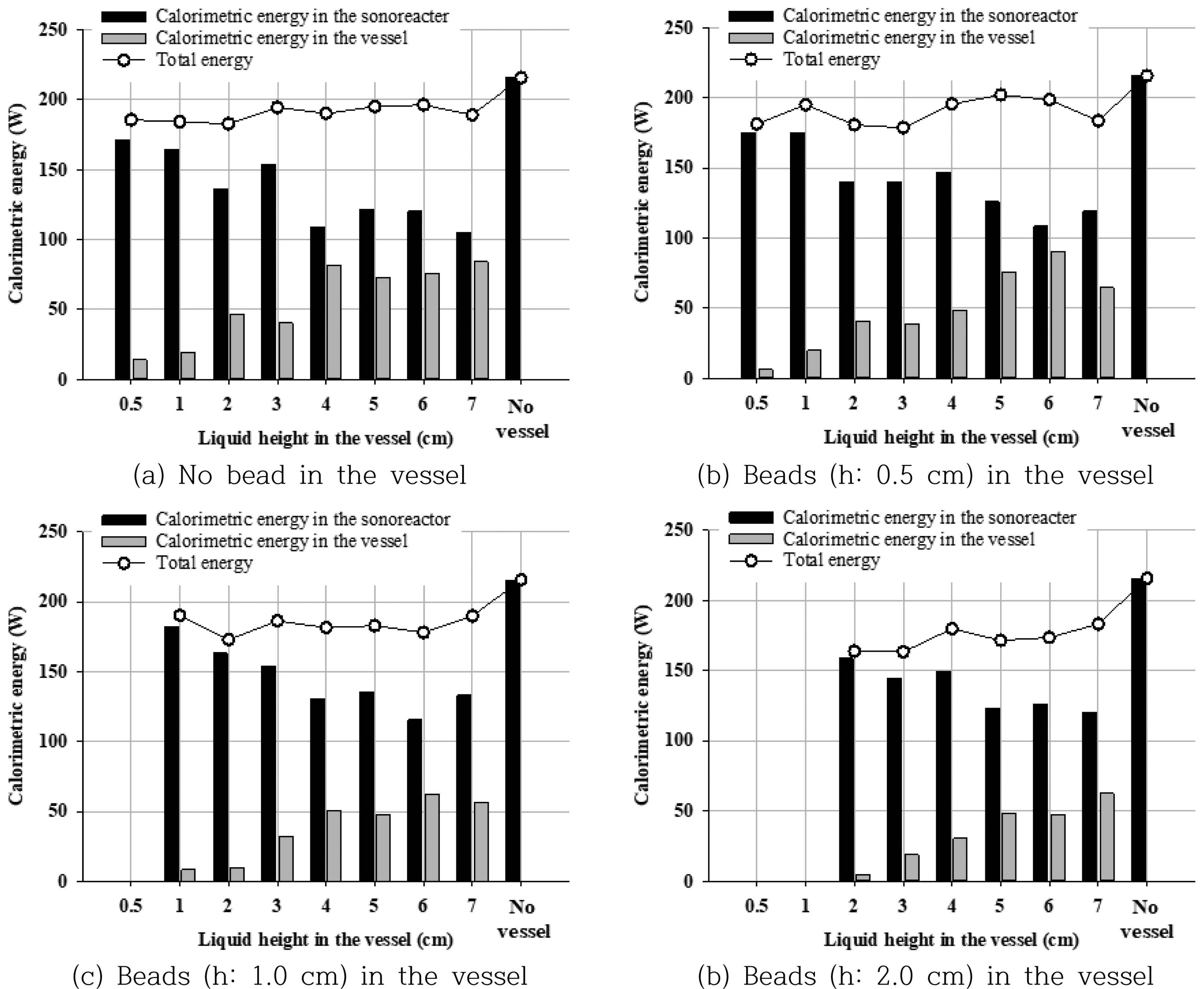
반응기 내 진동자에서 발생한 초음파 에너지는 물 등의 매질로 전달되어 수면 및 반응기 벽면 등의 경계면에서 반 사되며, 일반적인 반응기의 경우 외부로 거의 전달되지 않 는다. 결과적으로 조사된 초음파 에너지는 대부분 반응기 내부에 머무르게 되며 매질에 흡수되는데, 이 때 매질 분 자 등과의 마찰로 인해 열에너지로 전환된다. 그러므로 매 질 내 온도 증가의 정도를 초음파 에너지 전달의 정도로 고려할 수 있다(Asakura, 2015). 본 연구에서는 이러한 원 리(열량에너지법)를 이용하여 초음파 조사에 의한 내부 및 외부 반응기로의 초음파 에너지 전달을 각 수위 및 글라스 비드 조건에서 정량적으로 평가하여 Fig. 2에 나타내었다. 적용한 모든 조건에서의 유입 전기에너지는 290 W 수준으 로 동일하게 하였다. 내부반응기 및 글라스비드로 인한 영 향을 판단하기 위하여 내부 반응기가 없는 경우의 초음파 에너지와 각 조건에서의 내부 및 외부 반응기의 초음파 에 너지의 합을 Fig. 2에 추가적으로 나타내었다.

Fig. 2. Calorimetric/ultrasonic energy in the sonoreactor (the outer reactor) and the vessel (the inner reactor) for various experimental conditions under the same input energy condition (290W).
../../Resources/kswe/KSWE.2019.35.2.115/JKSWE-35-115_F2.jpg

글라스비드가 없는 조건을 살펴보면, 내부반응기 내 액상 의 수위/부피를 증가(수위: 0.5 cm ~ 7 cm/부피: 0.11 ~ 1.54 L) 시킴에 따라 내부반응기에서의 열량에너지가 지속적으로 증가하였으며, 그와는 반대로 외부반응기에서의 열량에너 지는 내부반응기 액상의 수위/부피 증가에 따라 점차적으 로 감소하는 것으로 확인되었다. 이 때 외부반응기의 액상 부피는 적용한 모든 경우에 2L로 고정하였다. 내부반응기 및 외부반응기에서의 열량에너지의 합을 살펴보면 182.7 ~ 196.2 W (평균: 189.6 ± 9.9 W) 수준의 비교적 일정한 수준 을 나타내었는데, 이는 진동자에서 전달되는 총 초음파 에 너지의 양은 조건에 상관없이 거의 동일하며, 외부반응기 쪽으로 집중되던 초음파에너지가 내부반응기 내 액상 수위/ 부피가 증가함에 따라 내부반응기 쪽으로 더 많이 전달되 었음을 의미한다고 볼 수 있다.

바닥면에서 상부로 초음파를 조사하는 일반적인 초음파 반응기의 경우 수면이 거의 완벽한 반사판 역할을 수행하 기 때문에 수면 바로 밑에서 진행파와 반사파가 만나 음압 이 증폭되거나 상쇄되어 발생하는 정류파(Standing wave) 영역이 형성된다(Son, 2017). 본 연구에서의 내부반응기 내 수위의 증가는 이러한 정류파 영역이 진동자와 가깝게 위 치한 외부반응기에서 내부반응기로 이동되는 것을 의미하 며, 결과적으로 상당 부분의 열량에너지의 형성이 정류파 영역에서 발생하는 것일 수 있음을 의미한다. 기존 연구에 서 보고된 동일한 유입에너지 조건에서 액상의 수위/부피 가 증가할 때 열량에너지가 증가하는 현상은 본 연구에서 확인된 바와 같이 수위 증가로 인한 수면의 안정화 및 이 로 인한 정류파 영역의 활성화로 설명될 수 있을 것이다 (Asakura et al., 2008; Son, 2017; Son, Lim et al., 2011).

내부반응기가 없는 경우의 열량에너지는 215.6 W로 내부 반응기가 있는 경우의 총 열량에너지보다 약 14 % 정도 더 높은 수준인데 이는 초음파 에너지 전달 경로에 존재하는 내부반응기의 바닥면(두께: 10 mm)을 통과할 때 발생하는 초음파에너지 손실을 고려하지 않아도 되기 때문이다. 즉, 내부반응기 설치로 인한 초음파 에너지 전달의 손실 정도 는 평균적으로 26.0 W 수준으로 확인되었다. 내부반응기가 없는 경우의 열량에너지는 진동자에서부터 내부반응기 수 위 7 cm에 해당하는 수면까지의 거리를 외부반응기의 수위 로 한 경우에 측정하였으며, 이때의 수위는 10 cm, 액상부 피는 4 L이었다.

내부반응기 내에 글라스비드를 0.5, 1, 2 cm 두께로 바닥 에 깐 조건에서의 내부반응기 액상 수위/부피 변화에 따른 결과를 살펴보면, 글라스비드가 없는 조건과 유사하게 내부 반응기 액상의 수위/부피가 증가함에 따라 내부의 열량에 너지는 증가하고 외부반응기의 열량에너지는 감소하는 것 을 확인할 수 있었다. 이는 앞서 설명한 바와 같이 수위 증가에 따라 수면 근처에서의 보다 많은 열량에너지 발생 에 의한 것으로 판단되었다. 외부 및 내부반응기에서의 총 열량에너지는 글라스비드가 없는 경우와 비교하여 다소 감 소하는 경향을 나타내었다. 앞서 언급한 바와 같이 비드가 없는 경우의 전체 수위 조건에 대한 총 열량에너지의 평균 값은 189.6 ± 9.9 W였으며, 글라스비드층이 0.5, 1, 2 cm 두 께인 경우의 총 열량에너지의 평균값은 각각 189.4 ± 12.3, 183.0 ± 12.9, 172.5 ± 17.9 W로 확인되었다. 이러한 총 열량 에너지의 감소는 내부반응기의 존재로 인한 에너지 손실과 유사하게 글라스비드의 존재로 인한 것으로 고려되었다.

그러나 글라스비드로 인한 초음파 감쇠현상이 매우 클 것으로 판단되었기 때문에 글라스비드 층을 지난 초음파는 에너지 수준이 상대적으로 낮은 수준이어서 수면 근처에서 의 정류파의 세기가 매우 낮을 것이며, 이로 인해 내부반 응기에서의 열에너지 발생 역시 매우 적을 것으로 판단되 었다. 결과적으로 글라스비드가 있는 조건에서의 상대적으 로 높은 열량에너지는 수면 근처 정류파 영역뿐만 아니라 다른 열에너지 발생원이 있을 것으로 고려되었다.

글라스비드가 존재할 때 내부반응기에서 상대적으로 열 량에너지가 높게 유지되는 이유는 매질 분자의 진동에 의 한 열에너지 발생만이 아니라 매질과 고체물질 사이의 마 찰력에 의한 열에너지 발생 때문일 수 있다(Cao et al., 2018; Rahimabady et al., 2017). 두 가지 모두 소리 에너지 의 기계적 에너지가 열에너지로 변환되는 기작이지만 두 가지 기작 중 어느 쪽의 열에너지 발생이 더 크며, 고체물 질의 특성(사이즈, 공극률, 두께 등)이 달라짐에 따라 그 발 생량이 어떻게 변화하는지에 대한 연구가 매우 부족한 실정 이다. 또한 해당 연구내용은 공기를 매질로 하는 경우이기 때문에 액상을 매질로 하는 경우에 대한 연구가 필요하다.

기존 연구에서 공기가 매질인 경우 낮은 주파수 영역 (200 ~ 4000 Hz)에서의 고체 매질 및 다공성 매질의 두께에 따른 소리에너지의 감쇠계수(Absorption coefficient)의 변화 를 살펴보았는데, 적용 주파수에 따라 감쇠계수의 크기 순 위가 변화하는 결과를 보고하였으며, 열에너지 발생에 대한 내용은 언급되지 않았다(Arenas and Crocker, 2010; Wang et al., 2015). 액상 매질과 다공성 고체 매질이 혼합된 조 건 혹은 액상 매질에 고체 부유물이 있는 조건에서의 초음 파 전달에 대한 연구는 일부 수행되었으나 아직까지 초음 파로 인한 열에너지 발생 및 캐비테이션 현상에 대한 연구 는 거의 보고되지 않고 있다(Harker and Temple, 1988; Hovem, 1980; Lee et al., 2007; Lee et al., 2009; Lofqvist, 1997). 결과적으로 내부반응기 내 글라스비드의 유무에 상 관없이 액상의 수위/부피가 증가할수록 내부반응기로의 초 음파에너지 집중 현상은 확인할 수 있었으나 열에너지 발 생 기작의 복잡함으로 인하여 열량에너지 분석을 통한 내 부반응기로의 초음파 에너지 전달에 대한 명확한 이해는 현 단계에서는 어려울 것으로 판단되었다. 다음의 장에서는 액상 매질과 다공성 매질(글라스비드)이 같이 있는 조건에 서 전달된 초음파의 정도를 캐비테이션 물리적 효과 및 화 학적 효과 측면에서 분석하였다.

3.2. 캐비테이션 현상의 물리적 효과

다양한 조건에서 내부반응기로 전달된 초음파에 의해 발 생하는 캐비테이션 현상의 물리적 효과를 비교 분석하기 위하여 알루미늄 호일 실험을 수행하였다. 우선적으로 캐비 테이션 현상이 가장 강할 것으로 예상되는 내부반응기 바 닥면 바로 위(글라스비드가 있는 경우에는 바닥면과 글라 스비드층 사이)에 바닥면과 수평이 되게 알루미늄 호일을 놓고 초음파에 의한 손상 정도를 분석하였다. Fig. 3에 각 조건에서의 초음파 조사 후의 알루미늄 호일 사진을 나타 내었으며, Fig. 4에 픽셀 변화 분석을 통한 각 조건에서의 정량적 손상 정도를 나타내었다.

Fig. 3. Images of the damaged aluminium foil, for various experimental conditions under the same input energy condition, caused by ultrasound irradiation. (The foil was placed horizontally on the beads. Each height in the image representthe water height in the vessel).
../../Resources/kswe/KSWE.2019.35.2.115/JKSWE-35-115_F3.jpg
Fig. 4. Deformation ratio (pixel number of damaged area/ pixel number of total area) under various conditions.
../../Resources/kswe/KSWE.2019.35.2.115/JKSWE-35-115_F4.jpg

글라스비드가 없는 조건에서는 내부반응기 바닥면에서 캐비테이션 현상이 격렬하게 발생하여 모든 수위 조건에 대해 알루미늄 호일의 손상이 평균 23.8 %(12.2 ~ 35.3 %) 수준으로 심각하게 발생하는 것으로 확인되었다. 그러나 글 라스비드가 있는 조건에서는 손상 정도가 눈에 띄게 감소 하였는데, 글라스비드층의 두께가 0.5 cm 및 2.0 cm인 경우 에는 각각 평균 4.3 %(1.9 ~ 9.5 %) 및 2.7 %(2.2 ~ 3.5 %) 수 준으로 상대적으로 낮은 손상 정도를 나타내었다. 글라스비 드층의 두께가 1.0 cm인 경우에는 좀 더 많은 손상(평균적 으로 14.3 %(10.2 ~ 20.9 %))이 일어났는데, 대체적으로 높은 수위 조건에서 보다 큰 손상이 확인되었다. 글라스비드층이 0.5 cm인 경우에도 수위가 6 cm 및 7 cm 조건에서 다른 수 위조건보다 높은 손상이 나타나기도 하였다. 이상의 결과는 글라스비드와 같은 다공성 매질이 쌓인 두께 및 그 위의 액상 수위 조절을 통해 고체물질 하단부의 캐비테이션 현 상을 극대화할 수 있음을 의미한다. 다중의 특정 매질 조 건에서의 캐비테이션 현상의 극대화는 내부반응기로 전달 된 초음파가 글라스비드층 및 그 위의 수면까지 전달되면 서 발생하는 다양한 산란, 반사 등의 효과의 조합으로 일 어난 것으로 고려되었다. 음향학(Acoustics) 분야에서는 소 리에너지가 여러 층의 매질을 통과하는 경우 매질의 특성 및 두께 등을 조절하여 반사파가 없는 완벽한 투과조건 혹 은 중간 매질층의 영향이 거의 없게 하는 조건 등을 이론 적으로 제시하기도 하였으나 본 연구 조건 및 결과를 해석 하기 위해서는 추가적인 연구가 필요할 것으로 판단되었다 (Jensen et al., 2011).

글라스비드층을 지난 초음파에 의한 캐비테이션 현상의 물리적 효과를 알아보기 위하여 알루미늄 호일을 글라스비 드층 바로 위에 바닥면과 수평이 되게 놓는 경우와 바닥면 과 수직이 되게 세워 놓는 경우를 실험하였다. 글라스비드 층 바로 위에 알루미늄 호일을 놓고 초음파를 조사하는 경 우 모든 비드층 두께 조건 및 수위 조건에서 의미 있는 손 상은 확인되지 않았다. 이는 초음파가 글라스비층을 지나오 면서 많은 감쇠현상을 겪게 되어 그 에너지 정도가 크게 줄어 알루미늄 호일에 손상을 줄 수 있는 정도의 캐비테이 션 현상을 일으키지 못했기 때문이다.

알루미늄 호일을 비드층 위에 수직으로 세운 경우 Fig. 5 에 나타낸 바와 같이 글라스비드가 없는 경우에는 많은 손 상이 확인되었으나 글라스비드가 있는 경우에는 구멍이 뚫 리는 정도의 손상은 역시 확인할 수 없었다. 다만 비드층 의 두께가 얇은 0.5 cm의 경우의 수위가 높은 조건(3 cm 및 6 cm)에서 다수의 작은 흠집(Pits)이 관찰되었으며, 다른 비드층의 두께 조건에서도 높은 수위 조건에서 일부 영역 에서 흠집이 관찰되었다. 이는 앞서 열량에너지를 확인한 바와 같이 수위가 증가될수록 보다 많은 초음파 에너지가 내부반응기로 유입될 수 있으며, 감쇠현상을 통해 상대적으 로 약한 수준의 캐비테이션 현상이 일어났음을 의미한다. 그러나 비드 높이에 따른 실험 결과의 차이를 설명하는 것 은 본 연구에서 얻은 결과만으로는 부족할 것으로 판단하 였다. 결과적으로 글라스비드 등의 고체성 물체가 존재하는 경우 높은 캐비테이션 물리적 효과를 얻을 수 있는 영역은 바닥면과 고체성 물체층 사이의 매우 제한된 영역만이 가 능하며 전체 고체물질에 대해 높은 물리적 효과를 기대하 기 위해서는 교반 등의 혼합기술을 적용하여 캐비테이션 물리적 효과 활성화 영역으로 대상 고체 물체를 지속적으 로 보낼 수 있게 해야 할 것이다(Kim et al., 2016).

Fig. 5. Images of the damaged aluminium foil, for various experimental conditions under the same input energy condition, caused by ultrasound irradiation (The foil was placed vertically on the beads. The small white dots on the foil are the pits generated by the sonophysical effects.).
../../Resources/kswe/KSWE.2019.35.2.115/JKSWE-35-115_F5.jpg

3.3. 캐비테이션 현상의 시각화

라디칼 반응 등으로 설명될 수 있는 캐비테이션 현상을 시각화하기 위해 앞서 설명한 알루미늄 호일을 수직방향으 로 위치시킨 조건과 동일한 조건에서 루미놀 반응을 통해 확인하였다. 루미놀은 OH 라디칼과 같은 산화라디칼과 반 응하여 빛을 내는 물질로 초음파화학발광기법(SCL)에 사용 되며 캐비테이션 현상의 활성화 영역을 시각적으로 확인할 수 있게 한다(Son, 2017). Fig. 6에 나타낸 바와 같이 글라 스비드가 없는 조건에서는 각 수위 조건에서 라디칼에 의 해 활성화된 밝은 영역이 액상 범위 전반에 걸쳐 확인이 되었다. 그러나 글라스비드가 있는 조건에서는 앞에서 언급 한 바와 같이 글라스비드층을 지나면서 초음파 에너지가 상당부분 감쇠되어 밝게 빛나는 부분이 크게 감소하였다. 글라스비드층의 두께가 두꺼워질수록 캐비테이션 활성화 부분이 감소하였으며, 열량에너지 발생 및 초음파 물리적 효과와 마찬가지로 수위가 변화함에 따라 그 정도 및 활성 화 영역의 위치가 크게 변화하는 것으로 나타났다. 결국 반응기 내 초음파 캐비테이션 현상은 전달되는 매질의 특 성과 그에 따른 감쇠현상 및 반사면까지의 거리와 반사면 에서의 반사현상에 따라 물리적 효과 및 화학적 효과의 정 도가 크게 달라지는 복잡한 기작을 갖고 있는 것으로 확인 되었다.

Fig. 6. SCL (Sonochemiluminescence) images in the vessel for various experimental conditions under the same input energy condition.
../../Resources/kswe/KSWE.2019.35.2.115/JKSWE-35-115_F6.jpg

4. Conclusion

  1. 이중반응기 조건에서 글라스비드가 없는 경우 내부반 응기의 액상 수위를 증가시킬수록 초음파 에너지의 전달 정도를 나타내는 열량에너지는 외부반응기에서의 에너지 수준이 감소하는 만큼 내부반응기에서 증가하였으며, 이는 수면 근처의 정류파 영역 형성과 연관 있는 것으로 판단하 였다. 글라스비드가 있는 경우에는 큰 감쇠현상이 예상되었 는데 글라스비드가 없을 때와 비교하여 총 열량에너지의 감소가 크지 않았으며, 비드가 없을 때와 마찬가지로 내부 반응기 수위가 증가할수록 외부반응기의 열량에너지는 감 소하고 내부반응기의 열량에너지는 증가하였다. 이는 열에 너지가 액상에서뿐만 아니라 글라스비드층에서도 발생하였 기 때문이다.

  2. 알루미늄 호일 실험에서는 캐비테이션 물리적 효과가 내부반응기 바닥면과 글라스비드층 사이에서 가장 큰 것으 로 확인되었다. 글라스비드층 상부에서는 캐비테이션 현상 에 의한 호일의 손상은 확인되나 그 정도가 매우 약한 것 으로 나타나 초음파 에너지가 글라스비드층을 지나면서 크 게 감쇠된 것으로 판단하였다. 그러나 글라스비드층 위의 수위 조절을 통해 물리적 효과를 극대화할 수 있을 것으로 예상하였다.

  3. 루미놀 실험에서 감쇠 등의 원인으로 반응기 전반적 으로 캐비테이션 효과가 매우 약하게 구현되는 것을 확인하 였으며, 알루미늄 호일 실험에서와 마찬가지로 수위 변화에 따라 캐비테이션 효과가 크게 변화되는 것을 확인하였다.

  4. 결과적으로 글라스비드와 같은 고체물질층이 있는 경 우 열량에너지 발생, 초음파 물리적 효과, 초음파 화학적 효과의 정도는 다소의 차이는 있으나 비교적 상관관계가 뚜렷한 것으로 확인되었다. 또한, 고체물질층을 지나면서 초음파 에너지의 큰 감쇠현상으로 초음파 물리적 효과 및 화학적 효과의 정도가 크게 줄어들었으며, 고체물질층 위의 수위 조절을 통해 그 정도를 증진 시킬 수 있는 것으로 확 인되었다.

Acknowledgement

이 연구는 금오공과대학교 학술연구비로 지원되었음 (2017-104-075).

References

1 
Adewuyi Y.G., 2001, Sonochemistry: Environmental science and engineering applications, Industrial & Engineering Chemistry Research, Vol. 40, pp. 4681-4715Google Search
2 
Arenas J.P., Crocker M.J., 2010, Recent trends in porous sound-absorbing materials, Sound and Vibration, Vol. 44, pp. 12-17Google Search
3 
Asakura Y., 2015, Chapter 5 - Experimental methods in sonochemistry, Sonochemistry and the Acoustic Bubble, Elsevier, pp. 119-150
4 
Asakura Y., Nishida T., Matsuoka T., Koda S., 2008, Effects of ultrasonic frequency and liquid height on sonochemical efficiency of large-scale sonochemical reactors, Ultrasonics Sonochemistry, Vol. 15, pp. 244-250Google Search
5 
Cao L., Fu Q., Si Y., Ding B., Yu J., 2018, Porous materials for sound absorption, Composites Communications, Vol. 10, pp. 25-35Google Search
6 
Choi J., Khim J., Neppolian B., Son Y., 2019, Enhancement of sonochemical oxidation reactions using air sparging in a 36 kHz sonoreactor, Ultrasonics Sonochemistry, Vol. 51, pp. 412-418Google Search
7 
Choi J., Kim T.H., Kim H.Y., Kim W., 2016, Ultrasonic washing of textiles, Ultrasonics Sonochemistry, Vol. 29, pp. 563-567Google Search
8 
Gotoh K., Harayama K., 2013, Application of ultrasound to textiles washing in aqueous solutions, Ultrasonics Sonochemistry, Vol. 20, pp. 747-753Google Search
9 
Harker A.H., Temple J.A.G., 1988, Velocity and attenuation of ultrasound in suspensions of particles in fluids, Journal of Physics D: Applied Physics, Vol. 21, pp. 1576-1588Google Search
10 
Hovem J.M., 1980, Viscous attenuation of sound in suspensions and high·porosity marine sediments, The Journal of the Acoustical Society of America, Vol. 67, pp. 1559-1563Google Search
11 
Jensen F.B., Kuperman W.A., Porter M.B., Schmidt H., 2011, Computational ocean acoustics, Springer New York, pp. 1-64
12 
Kim J., Park B., Son Y., Khim J., 2018, Peat mossderived biochar for sonocatalytic applications, Ultrasonics Sonochemistry, Vol. 42, pp. 26-30Google Search
13 
Kim S., Lee W., Son Y., 2016, Ultrasonic and mechanical soil washing processes for the remediation of heavy-metal-contaminated soil, Japanese Journal of Applied Physics, Vol. 55Google Search
14 
Lee K.I., Humphrey V.F., Kim B.N., Yoon S.W., 2007, Frequency dependencies of phase velocity and attenuation coefficient in a water-saturated sandy sediment from 0.3 to 1.0MHz, The Journal of the Acoustical Society of America, Vol. 121, pp. 2553-2558Google Search
15 
Lee K., Park E., Seong W., 2009, High frequency measurements of sound speed and attenuation in water-saturated glass-beads of varying size, The Journal of the Acoustical Society of America, Vol. 126, pp. EL28-EL33Google Search
16 
Leong T., Johansson L., Juliano P., McArthur S.L., Manasseh R., 2013, Ultrasonic separation of particulate fluids in small and large scale systems: A review, Industrial & Engineering Chemistry Research, Vol. 52, pp. 16555-16576Google Search
17 
Lofqvist T., 1997, Ultrasonic wave attenuation and phase velocity in a paper-fibre suspension, Ultrasonics Symposium Proceedings, IEEE, Vol. 1, pp. 841-844Google Search
18 
Neppolian B., Bruno A., Bianchi C.L., Ashokkumar M., 2012, Graphene oxide based Pt-TiO2 photocatalyst: Ultrasound assisted synthesis, characterization and catalytic efficiency, Ultrasonics Sonochemistry, Vol. 19, pp. 9-15Google Search
19 
Park B., Son Y., 2017, Ultrasonic and mechanical soil washing processes for the removal of heavy metals from soils, Ultrasonics Sonochemistry, Vol. 35, pp. 640-645Google Search
20 
Park J., Church J., Son Y., Kim K.T., Lee W.H., 2017, Recent advances in ultrasonic treatment: Challenges and field applications for controlling harmful algal blooms (HABs), Ultrasonics Sonochemistry, Vol. 38, pp. 326-334Google Search
21 
Rahimabady M., Statharas E.C., Yao K., Mirshekarloo M.S., Chen S., Tay F.E.H., 2017, Hybrid local piezoelectric and conductive functions for high performance airborne sound absorption, Applied Physics Letters, Vol. 111, pp. 241601Google Search
22 
Son Y., 2017, Simple design strategy for bath-type high-frequency sonoreactors, Chemical Engineering Journal, Vol. 328, pp. 654-664Google Search
23 
Son Y., Cha J., Lim M., Ashokkumar M., Khim J., 2011, Comparison of ultrasonic and conventional mechanical soil-washing processes for diesel-contaminated sand, Industrial & Engineering Chemistry Research, Vol. 50, pp. 2400-2407Google Search
24 
Son Y., Lim M., Ashokkumar M., Khim J., 2011, Geometric optimization of sonoreactors for the enhancement of sonochemical activity, The Journal of Physical Chemistry C, Vol. 115, pp. 4096-4103Google Search
25 
Son Y., Lim M., Khim J., Ashokkumar M., 2012, Attenuation of UV light in large-scale sonophotocatalytic reactors: The effects of ultrasound irradiation and TiO2 concentration, Industrial & Engineering Chemistry Research, Vol. 51, pp. 232-239Google Search
26 
Thompson L.H., Doraiswamy L.K., 1999, Sonochemistry: Science and engineering, Industrial & Engineering Chemistry Research, Vol. 38, pp. 1215-1249Google Search
27 
Tuziuti T., Yasui K., Kozuka T., Towata A., Iida Y., 2007, Suppression of sonochemiluminescence reduction at high acoustic amplitudes by the addition of particles, Journal of Physical Chemistry A, Vol. 111, pp. 12093-12098Google Search
28 
Wang X., Li Y., Chen T., Ying Z., 2015, Research on the sound absorption characteristics of porous metal materials at high sound pressure levels, Advances in Mechanical Engineering, Vol. 7, pp. 1-7Google Search