정명화
(Myung-Hwa Jeong)
aiD
권동현
(Dong-Hyun Kwon)
biD
임연주
(Yeon-Ju Lim)
ciD
안종화
(Johng-Hwa Ahn)
d†iD
-
강원대학교 환경공학과
(Department of Environmental Engineering, Kangwon National University)
© Korean Society on Water Environment. All rights reserved.
Key words
Adsorption, EDTA-modified bentonite, Operation condition, Zinc ion
1. Introduction
산업혁명 이후 인간들은 도시로 모여 살기 시작하면서 이전에 없었던 질병이 발병하였다. 인간은 질병에 대한 역 학조사를 통해 수질 오염이 원인임을 알아내었다.
이후 수 질 오염에 대한 심각성이 크게 부각되기 시작하였다. 중금 속에 의한 수질 오염의 경우 더 심한 문제를 가지고 있다. 미량이라도 수계에 존재하면
먹이사슬과 같은 여러 경로를 통하여 인체에 축적되어 만성적 중독 현상을 나타내는 공 해물질로 생태계나 인체에 피해가 오지 않도록 각별한 수 질 처리가
필요하다(Moon et al., 2006).
국내 4대강 및 기타 하천에 유입되는 산업폐수 중 중금 속 및 특정 유해물질을 함유한 특정폐수가 배출되고 있다 (Kim et al., 2009). 이 중 아연은 주로 도금, 배터리, 합금 생산 공정에서 발생하는 폐수에 다량 함유되어 있으며 아 연이 함유된 폐수가 하천이나 바다로 방류될 경우,
식용조 류에 의해 흡수되고 먹이사슬에 유입되어 인간에게도 영향 이 미친다. 아연은 인체에서 효소 반응의 전자 이동역할을 담당하는 필수 미량원소이지만,
장기복용 혹은 잘못된 복용 으로 인한 중독 시 신경과민, 식욕저하, 메스꺼움 등을 유 발할 수 있다(Nemeth et al., 2016). 이러한 문제를 예방하 기 위하여 폐수는 지정된 방류기준에 맞춰 처리하여 방류 하도록 규정되어 있다.
기존의 중금속 처리방법으로는 침전, 이온교환, 역삼투, 흡착 등이 있다. 그 중 흡착법은 분자 상호간의 인력, 즉 반데르 발스 힘(van der waals
force)에 의한 물리적인 흡착 과 고체표면의 기능성 기와 흡착질 이온 간의 결합에 의한 화학적인 흡착으로 작용하며, 탄화수소 등을 포함한 유기물
에 대해 우수한 흡착성능을 갖는다(Lee et al., 2015; Van der Waals, 1873). 벤토나이트에 존재하는 화학적 작용기들 은 탄소 표면의 산성도에 큰 영향을 미치고 물 분자가 흡 착될 경우에 다른 분자들과 결합을 이루면서 활성화된
부위 들을 연결하기 때문에 활성화된 자리의 작용기가 흡착에 큰 영향을 미친다(Sen and Gomez, 2011). 벤토나이트는 몬모 릴로나이트를 함유하는 점토 광물이다. 몬모릴로나이트 구 조는 3개의 미네랄 층을 가지며, 중심의 팔면체 층(alumina sheet)을
사이에 두는 2개의 사면체 층(silica sheets)을 갖는 다. 이 중 일부 SiO24+는 Al3+로 대체되고 Al3+가 다시 Ca2+ 로 대체되면서 음전하가 발생하게 되므로 벤토나이트의 표 면 격자는 양이온 성 오염물질의 흡착을 향상시킬 수 있다 (Tahir and Rauf, 2006). 이처럼 이온들의 불완전한 치환에 의해 극성을 띠게 되며 반대의 극성을 띠는 이온을 흡착함 으로써 극성의 균형을 맞추게 된다. 게다가 표면이 음전하
를 띠기 때문에 양이온들을 잘 흡착하는 것으로 알려져 있 으며 표면뿐 아니라 자신의 층간 내에 유기 혹은 무기분자 들을 흡착하거나 가두어 둘 수도
있다(Moon et al., 2006).
에틸렌다이아민테트라아세트산(ethylenediaminetetraacetic acid, EDTA)은 킬레이트로 두 개 이상의 배위자가 고리를 형성하여
금속과 만든 화합물이다. EDTA는 두 개의 아민 과 네 개의 카르복실기 작용기를 이용하여 주로 금속 양이 온에 결합한다(Aoudj et al., 2018). 벤토나이트를 EDTA로 개질 시, 벤토나이트가 팽창되면 층 사이에서 양전하를 띤 금속 이온이 노출되고 동시에 그 층 사이에 EDTA 분자가 진입하게
된다. 그리고 층간 양이온과 음으로 하전 된 EDTA의 카르복실기 사이의 인력이 촉진된다(De Castro et al., 2018).
벤토나이트(bentonite)는 광범위하게 연구된 흡착제 중 하나이며, 자연적으로 구하기 쉬우며 가격이 저렴하고 안 정성과 표면적 및 양이온 교환
능력이 우수하다는 장점이 있다(De Castro et al., 2018). 하지만 EDTA로 개질한 벤 토나이트(EDTA modified bentonite, EMB)를 사용한 선행 논문(De Castro et al., 2018)은 제한적이며 아연을 대상으 로 한 논문은 찾을 수가 없어 일반 벤토나이트(unmodified bentonite, UB)와 비교를 통해 아연 제거효율을
비교 평가 하였다.
2. Materials and Methods
2.1. 실험 재료 및 표면개질방법
본 연구에서는 벤토나이트(대정화금) 10 g에 0.025 mol EDTA-2Na 표준용액(대정화금) 20 mL를 유리시험관에 넣 고 볼텍스 믹서(vortex
mixer, KMC-1300v, VISION)로 1분 동안 교반 후 건조기(ON-22GW, 제이오텍)를 사용하여 105 °C에 24시간 건조하였다.
건조한 벤토나이트를 막자사발로 분쇄하여 80번 체(180 μm)로 거른 뒤 증류수로 3회 세척한 뒤 데시케이터(쓰리샤인, SK-C003)에 보관 후
사용하였다.
2.2. 흡착실험
실험에 사용한 합성폐수는 아연 표준용액(대정화금) 1,000 mg/L을 희석(5 mg Zn/L)하여 사용하였다. pH 조절을 위해 NaOH (97
%, 대정화금), HCl (35 %, 대정화금)을 1 N로 제 조하여 사용하였다. 1 L의 비이커(유효용량: 400 mL)에 흡 착제를 투여한 후
jar-tester (SF6, M-Tops, 대한민국)로 실 험하였다. 운전 인자는 흡착제 투여량(0.75 ~ -3.125 g/L), 교 반강도(10
~ 150 rpm), 반응시간(0.17 ~ 30분), pH (2 ~ 7), 온 도(298 ~ 338 K) 등을 조절하여 아연 제거율을 측정하였다.
온도(교반강도: 150 rpm, 교반시간: 30분)에 따른 실험은 진 탕배양기(shaking incubator, VS-8480, VISION)를 사용했다.
2.3. 분석 방법
pH의 측정은 pH meter (UB-10, Denver instrument, US) 를 사용하였다. 흡착 후 원심분리기(VS-5000N, GSI,
대한민 국)로 4,000 rpm으로 10분간 분리 후 상등액을 GF/C(1.2 μm) 로 여과하고 20 mL씩 분취하였다. 이후 Standard Method
(3500-Zn)에 따라 자외선-가시광선분광광도계(UV-Vis spectrophotometer, Libra S60, Biochrom, US)를 이용하여
620 nm에서 흡광도를 측정하여 아연 농도를 구하였다(APHA, 2012). 본 실험에서 사용한 EMB와 UB의 표면적 차이를 알아보기 위하여 시료를 시편코팅기(specimen coater, Leica EM ACE600)로
전처리를 한 후 전계방사형주사전자현미 경(field emission scanning electron microscope, S-4300/ HITACHI)으로
측정하였다. 중금속 제거효율에 큰 영향을 미치는 기능기와 그 종류를 알아보기 위해 적외선분광기 (fourier transform infrared spectroscopy,
PerkinElmer FT-IR Spectrophotometer, UK)를 사용하여 분석하였다.
3. Results and Discussion
3.1. 개질 전후의 벤토나이트의 성분 및 특성
벤토나이트의 입자 크기는 개질 전후로 큰 차이를 보이 지 않았다(Fig. 1a). 이는 개질 과정이 입자의 크기에는 큰 영향을 주지 않는 것으로 보인다(Navarro et al., 2017). EMB와 UB의 적외선 스펙트럼을 분석했을 때 UB에는 없 는 새로운 피크(1,500 ~ 1,300 cm-1)가 EMB에서 관찰되었다 (Fig. 1b). 1,500 ~ 1,300 cm-1의 피크에서 중금속 흡착능력과 연관되어 있는 카르복실기 작용기(COO-H)가 나타난다(De Castro et al., 2018). 따라서 EDTA가 벤토나이트의 표면을 개질할 때 카르복실기 기능기가 발생함을 알 수 있다. 이를 제외하면 두 흡착제 모두 유사한 피크(3,000
~ 3,750, 1,635, 900 ~ 1,200, 517 cm-1)를 보였다. 여기서, 3000 ~ 3750 cm-1 은 O-H와 H-O-H 결합, 1,635 cm-1는 H-O-H 결합, 995 cm-1을 중심으로 하는 900 ~ 1,200 cm-1는 Si-O 결합, 517 cm-1는 Al-O-Si, Si-O-Si 결합을 나타낸다(Akpomie et al., 2015; Sahin et al., 2015).
Fig. 1. (a) Images of field emission scanning electron microscope and (b) fourier transform infrared spectroscopy analysis of ethylenediaminetetraacetic acid-modified and unmodified bentonites.
3.2. 운전인자에 따른 아연 제거
3.2.1. 흡착제 투여량
흡착제 투여량은 폐수에서 표적 화학종을 효과적으로 제 거할 수 있는 가장 경제적인 양의 흡착제를 결정하기 위해 흡착 연구에서 중요한 변수이다. 흡착제
투여량에 따른 제 거효율(고정인자: pH 3.4, 교반강도 60 rpm, 교반시간 15분) 은 흡착제량의 증가에 따라 흡착율이 증가하였다(Fig.
2). 이는 흡착제 투여량이 증가함에 따라 표면적의 가용성이 증가하기 때문이다(Rao et al., 2006). 흡착제 단위 질량 당 아연 이온 흡착량은 흡착제 투여량이 증가할수록 감소하는 경향을 보이는데, 이는 흡착제 투여량 증가에 따른 벤토나 이트의
흡착 가능 부위의 증가에 비해 상대적으로 제거되는 아연의 양이 적기 때문으로 보인다(Rao et al., 2008). 투여 량 3.125 g/L에서 EMB의 효율이 100 %에 도달했고 EMB 와 UB의 제거효율의 차이가 16.8 %로 나타났다.
Fig. 2. Effect of adsorbent dose on zinc ion removal for ethylenediaminetetraacetic acid-modified and unmodified bentonites.
3.2.2. 교반강도와 교반시간
벤토나이트는 수용액에 들어가면 진흙처럼 뭉쳐지기 때 문에 교반강도가 약하고 교반시간이 짧을 때 완전 혼합이 이루어지지 않아 정확한 값을 도출하기가
어려워 교반강도 와 시간이 중요하다. 아연 이온의 제거효율(고정인자: 흡착 제 1.250 g/L, pH 3.4, 교반시간 15분)은 교반강도(10
~ 150 rpm)에 따라 제거효율을 분석한 결과 두 흡착제 모두 60 ~ 90 rpm에서 평형에 도달하였다(Fig. 3). 60 rpm에서는 EMB 는 90.1 %, UB는 69.0, 90 rpm에서 EMB는 91.6 %, UB는 70.2의 제거효율을 보였다.
Fig. 3. Effect of (a) mixing intensity and (b) contact time on zinc ion removal for ethylenediaminetetraacetic acid-modified and unmodified bentonites.
교반시간에 따른 제거효율(고정인자: 흡착제 1.250 g/L, pH 3.4, 교반강도 60 rpm)은 교반시간(0.17 ~ 30분)에 따라 아연의
제거율을 측정한 결과 EMB와 UB 모두 10분에서 평형상태에 도달하였다(Fig. 3). 벤토나이트를 사용한 선행 논문에서도 평형상태가 10분 이내에 도달했다(Tohdee et al., 2018). 반응시간이 30분까지 길어지더라도 흡착된 중금 속이 더 이상 용출되지 않았다. 교반시간이 10분일 때 제 거효율은 EMB 76.4 %, UB
56.9이었다.
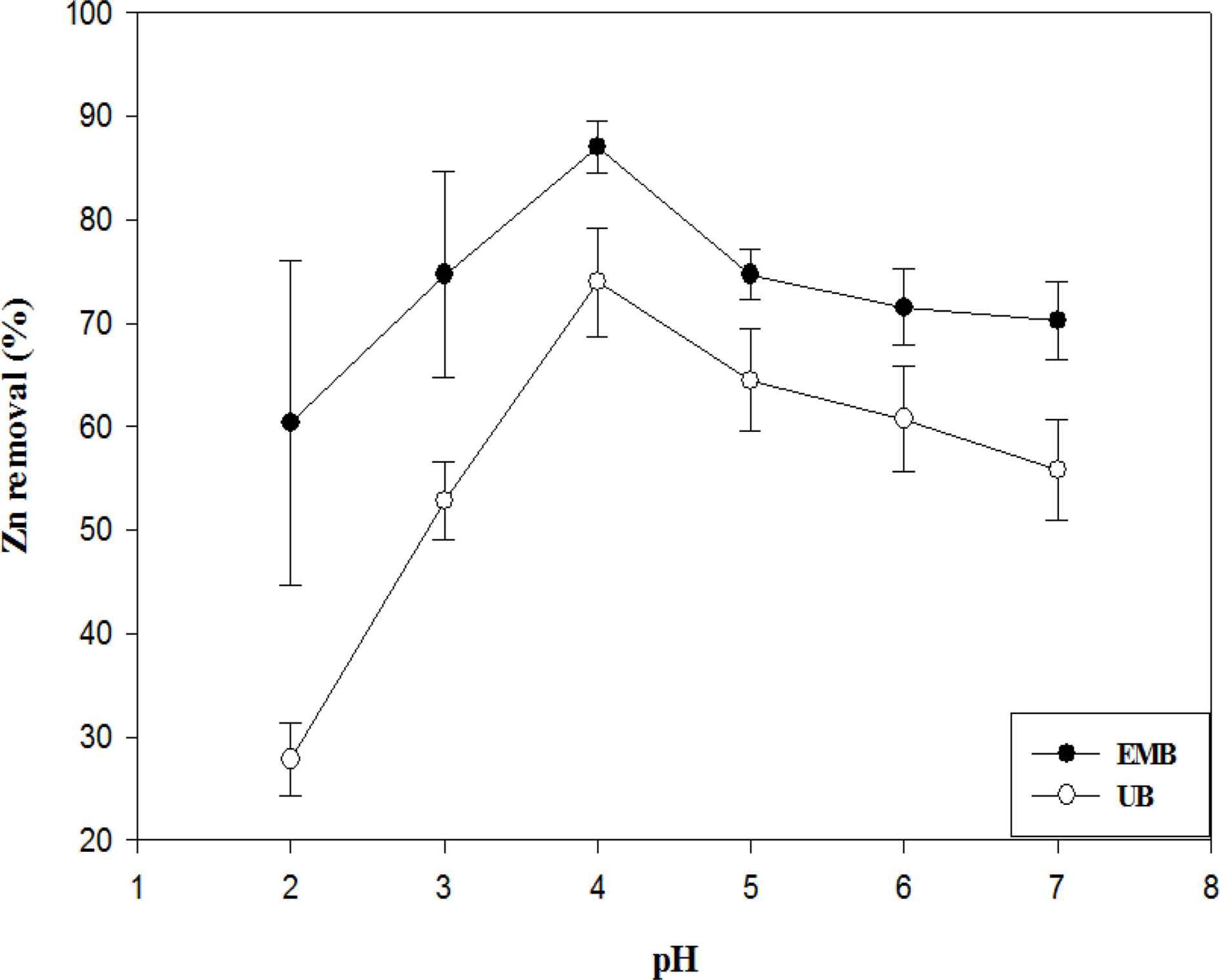
3.2.3. pH
용액 pH는 흡착제의 표면 전하, 이온화, 분화 정도 등에 영향을 미치므로 흡착 연구에서 필수적인 변수이다. pH (2 ~ 7)에 따른 아연 제거효율(고정인자:
흡착제 1.875 g/L, 교 반강도 60 rpm, 교반시간 15분)은 두 흡착제 모두 pH 4에 서 최대효율을 나타냈다(Fig. 4). pH 4에서 제거효율은 EMB는 87.0 %, UB는 74.0로 나타났고, pH 4를 전후로 제 거효율이 감소하였다. pH 4 이하에서는 pH가
낮아질수록 EMB와 UB의 제거효율 차는 증가하였고 pH 4 이상에서는 일정하게 나타났다. pH 4 미만의 조건에서는 흡착제 표면 의 수소 이온이
아연 이온의 양전하와 교환이 이루어지게 된다(Kaya and Oren, 2005). 이러한 이유로 낮은 pH에서의 제거효율 감소는 높은 농도의 수소 이온에 의한 것이며, 수소 이온과 아연 이온 사이에 경쟁이 발생하게 된다. pH
4 이상에서 흡착률이 감소하는 이유는 명확하지 않지만, 키토산을 사용해 아연을 제거한 논문(Salih and Ghosh, 2018)에서는 pH 6 이상에서, EDTA로 개질한 벤토나이트를 사용해 구리를 제거한 논문(De Castro et al., 2018)에서는 pH 4 이상에서 pH가 증가할수록 흡착률이 감소하는 경향 을 확인하였다.
Fig. 4. Effect of pH on zinc ion removal for ethylenediaminetetraacetic acid-modified and unmodified bentonites.
3.2.4. 온도
온도에 따른 제거효율(고정인자: 흡착제 1.875 g/L, pH 3.4)은 EMB와 UB 모두 온도가 증가할수록 제거효율도 증 가하는 경향을 보이나(Akpomie et al., 2015; Nathaniel et al., 2011) UB에 비해 EMB의 기울기가 완만하였다(Fig. 5). 이는 EMB가 온도의 영향을 덜 받는다는 것을 보여준다. 온도가 증가하면서 흡착효율이 증가하는 이유는 용액 내 용질의 이동도(mobility)가
증가되어 흡착제 기공표면에 흡 착분자(adsorbate molecules)의 확산속도를 향상시킨 결과로 보인다(Nathaniel et al., 2011). 벤토나이트의 물리·화학적 흡착에 대한 열역학적 특성을 보다 구체적으로 확인하기 위 하여 Gibbs 자유에너지 변화량(ΔG, J/mol)을 Van't Hoff 방 정식(식 1 ~ 3)을 통해 산출할 수 있다(Hwang et al., 2015; Van't Hoff 1884).
Fig. 5. Effect of temperature on zinc ion removal for ethylenediaminetetraacetic acid-modified and unmodified bentonites.
여기서, Ca는 벤토나이트에 흡착된 아연 이온의 양, Ce는 평형반응에 도달한 후의 합성폐수 내 잔류하고 있는 아연 이온의 양, Kc는 Ca와 Ce의 비를 의미한다. ΔH는 엔탈피 (J/mol), ΔS는 엔트로피(J/(mol·K)), R은 기체상수(8.314 J/(mol·K)), T는 절대온도(K)를 의미한다. 식 (1 ~ 3)을 통 하여 식 (4)를 도출할 수 있다.
식 (1 ~ 4)을 이용하여 ΔG를 구한 결과 모두 음의 값을 나타내었다(Table 1). 이는 EMB와 UB의 아연 이온 흡착반 응이 자발적인 반응으로 진행됨을 의미한다. ΔH의 경우에 는 EMB는 9.418 kJ/mol, UB는 7.022로 양의 값을 나타내 어 흡열반응임을 알 수 있다. 또한 ΔS의 경우에는 EMB는 0.049 kJ/(mol·K), UB는 0.026로 양의 값을 나타내었다. 이는 흡착과정에서 고체와 용액의 계면에서의 무질서도가
증가하고 피흡착제가 흡착제에 대해 친화성을 가짐을 알 수 있다(Choi et al., 2013; Hwang et al., 2015).
Table 1. Equilibrium constants and thermodynamic parameters, in adsorption process for ethylenediaminetetraacetic-modified and unmodified bentonites
|
Temperature (K)
|
Caa) |
Ceb) |
Kcc) |
ΔGd) (kJ/mol)
|
ΔHe) (kJ/mol)
|
ΔSf) (kJ/mol·K)
|
|
Ethylenediaminetetraacetic-modified bentonite
|
|
298
|
6.693
|
0.807
|
8.294
|
-5.211
|
9.418
|
0.049
|
|
308
|
6.758
|
0.742
|
9.108
|
-5.702
|
|
318
|
6.839
|
0.661
|
10.346
|
-6.193
|
|
328
|
6.912
|
0.588
|
11.755
|
-6.684
|
|
338
|
6.957
|
0.543
|
12.812
|
-7.175
|
|
Unmodified bentonite
|
|
298
|
4.530
|
2.970
|
1.525
|
-0.984
|
7.022
|
0.026
|
|
308
|
4.659
|
2.841
|
1.640
|
-1.253
|
|
318
|
4.703
|
2.797
|
1.681
|
-1.521
|
|
328
|
4.921
|
2.579
|
1.908
|
-1.790
|
|
338
|
5.125
|
2.375
|
2.158
|
-2.059
|
3.3. 등온흡착식
흡착제에 흡착된 물질의 양은 흡착질의 양과 성질, 온도 의 함수이다. 등온흡착식은 일정한 온도와 부피의 용액 내 에서 평형 농도와 흡착제의 단위 질량
당 평형 흡착량의 관계를 나타내는 것이다. 흡착된 물질의 총량은 일정 온도 에서 농도의 함수로 결정되고, 이 함수식을 등온흡착식이라 고 한다. 등온흡착식은
주어진 양의 흡착질을 흡착제 양을 바꾸어 가며 접촉할 때 얻어진다. 본 연구는 초기농도를 고정하고 흡착제 투여량을 달리하여 제거효율을 측정한 후 데이터를
Langmuir, Freundlich 등온흡착식을 적용하여 EMB의 흡착 성능을 확인하였다.
3.3.1. Langmuir 등온흡착식
Langmuir 등온흡착식(식 5)은 일정 온도에서 흡착질과 흡착제가 평형 조건이 이루어졌다고 가정하여 유도한 식으 로 단분자층 흡착(single-layer adsorption)이라고
하며 균일 한 표면을 가정한다(Bae et al., 2018).
여기서 qe는 평형상태에서 흡착제 단위 g 당 흡착된 흡착 질의 양(mg/g), Q0는 Langmuir 흡착량으로 최대 흡착량 (mg/g), KL는 흡착에너지에 관한 Langmuir 상수(L/mg), Ce 는 용액 중의 흡착평형 농도(mg/L)를 나타낸다. 식 (5)를 변형하여 만든 식 (6)으로부터 Q0와 KL를 결정할 수 있다 (Langmuir, 1918; Weber, 1972).
본 연구를 통하여 얻은 결과(Fig. 2)를 식 (5)에 대입하여 식 (7)을 도출하였다.
3.3.2. Freundlich 등온흡착식
Freundlich 등온흡착식은 Langmuir 등온흡착식에 흡착열 이 표면 덮임 정도에 따라 지수적으로 감소된다는 내용을 도입하여 유도된 식이다(Lee et al., 2017). 다분자층 흡착 (multi-layer adsorption)이라고도 하며 흡착량과 농도와의 관계를 식으로 표현하면 식 (8)과 같다(Freundlich, 1906; Freundlich, 1922).
여기서 KF와 n은 Freundlich 상수이며, KF는 흡착제의 흡착 능(mg/g)에 대한 척도이고 클수록 흡착능이 좋아진다. n은 흡착 동력의 크기를 의미하며 흡착된 분자 사이의 반발력 에 관계되는 상수이다. n이 1이면 흡착량은 선형적으로 증 가하고, 대부분 1보다 크며 1 이하인 물질은 난흡착성을 나타낸다(Na at al., 2011; Treybal, 1981). n이 2 이상일 경 우에는 흡착이 쉽게 일어나며, 이 값이 아주 크면 입자 표 면이 균일함을 의미하여 흡착량이 일정해져서 Langmuir 등 온흡착식과
비슷해진다. 이번 실험에서 n값은 5.807로 흡착 이 잘 일어난다는 것을 확인할 수 있다(Fig. 6). 식 (8)의 양변에 log를 취하여 직선의 방정식으로 표현하면 식 (9)와 같이 변형할 수 있다.
Fig. 6. Langmuir and Freundlich isotherms of zinc ion removal for ethylenediaminetetraacetic acid-modified bentonite.
본 연구를 통하여 얻은 결과값을 식 (8)에 대입하여 식 (10)을 도출하였다.
본 실험에서는 최대 흡착량은 Langmuir 2.767 mg/g로 나 타났다. R2값을 비교해본 결과, Langmuir 등온흡착식(0.999) 이 Freundlich 등온흡착식(0.981)보다 높았으며(Fig. 6), 이 는 벤토나이트를 사용해 아연을 흡착한 논문과 유사하였다 (De Castro et al., 2018; Kaya and Oren, 2005).
3.4. 흡착속도
EMB와 UB의 아연 이온 흡착속도를 비교하기 위하여 유 사 1차 속도식과 유사 2차 속도식을 적용하여 인자들을 비 교, 분석하였다(Lee et al., 2017).
3.4.1. 유사 1차 속도식
유사 1차 속도 방정식은 Lagergren에 의해 도입되고 Ho 와 McKay에 의해 제안된 형태로 나타낸다. 유사 1차 속도 식은 식 (11)과 같이 나타낼 수 있다(Ho and Mckay, 1999; Simonin, 2016).
식 (11)을 식 (12)와 같이 직선식으로 나타낼 수 있다.
여기서, k1는 유사 1차 속도상수(min-1), qt는 시간 t에서의 흡착량(mg/g)을 나타낸다. k1은 EMB의 경우 0.169 min-1, UB의 경우 0.256의 값을 나타내었으며, qe의 경우 EMB는 3.850 mg/g, UB는 2.858이다. R2의 경우 EMB는 0.818, UB 는 0.868를 나타내었다.
3.4.2. 유사 2차 속도식
유사 2차 속도식은 Ho와 McKay에 의해 제안된 형태로 식 (13)과 같이 나타낼 수 있다(Ho and Mckay, 1999).
식 (13)은 식 (14)와 같이 직선식으로 전환할 수 있다.
k
2는 유사 2차 속도상수(g/mg·min)를 나타낸다. k2는 EMB의 경우 3.41 g/mg·min, UB의 경우 2.00 값을 보이 고 qe는 EMB의 경우 14.836 mg/g, UB의 경우 8.225의 값 을 보였다. R2는 두 흡착제 모두 0.999 이상으로 나타내었 다(Fig. 7). R2의 값이 EMB와 UB 둘 다 유사 1차식 보다 유사 2차식에서 더 높게 나타났으며 이는 두 흡착제가 아 연을 제거할 경우 유사 2차식 모델에 더
적합하게 나타났 다. 유사 2차 속도식에서 EMB는 UB에 비해 k2의 값은 약 1.7배, qe의 값은 약 1.8배 우수하였다. 이는 EMB가 UB보 다 우수한 흡착특성을 갖고 있다는 것을 알 수 있다.
Fig. 7. Pseudo-second order kinetics of zinc ion onto ethylenediaminetetraacetic- modified and unmodified bentonites.
4. Conclusion
본 실험에서 아연제거효율이 UB에 비하여 EMB 흡착제 에서 20 ~ 30 % 가량 제거효율이 향상되었으며, 산성에서 차이가 더 컸다. EMB는 UB에
비해 온도의 영향을 적게 받았으며 교반강도는 두 흡착제 모두 중요하게 작용하였다. EMB의 아연 흡착은 모두 자발적이고 흡열반응으로 진행 되었으며
Langmuir 흡착형태와 유사 2차 속도식에 더 적합 하였다. 본 실험범위를 기준으로 EMB의 아연 제거효율은 투여량 3.125 g/L, 교반강도
90 rpm, 교반시간 10분, pH 4, 온도 338 K에서 최적효율을 보였다.
Acknowledgement
이 논문은 2018년도 정부(교육부)의 재원으로 한국연구재 단(NRF-2018R1D1AB07041451) 및 교육부와 한국연구재단 의 재원으로 지원을
받아 수행된 사회맞춤형 산학협력 선 도대학(LINC+) 육성사업인 연구결과임.
References
Akpomie K.G., Dawodu F.A., Adebowale K.O., 2015, Mechanism on the sorption of heavy
metals from binary-solution by a low cost montmorillonite and its desorption potential,
Alexandria Engineering Journal, Vol. 54, pp. 757-767

American Public Health Association (APHA), 2012, Standard method for the examination
of water and wastewater, American Public Health Association, American Water Works
Association, and Water Environment Federation
Aoudj S., Khelifa A., Zemmouri H., Hamadas I., Yatoui S., Zabchi N., Drouiche N.,
2018, Degradation of EDTA in H2O2-containing wastewater by photo-electrochemical peroxidation,
Chemosphere, Vol. 208, pp. 984-990

Bae W.B., Park G.R., Jung D.Y., 2018, Adsorption characteristics of zinc ion in synthetic
wastewater by carbonaceous material prepared from oriental cherry, (Korean Literature),
Journal of Korea Society of Waste Management, Vol. 35, No. 3, pp. 236-242

Choi D.H., Son H.J., Park J.S., Moon C.Y., Ryu D.C., Jang S.H., Kwon K.W., Kim H.S.,
2013, Adsorption efficiency of coal based GACs and evaluation of economic efficiency,
Journal of Environmental Science International, Vol. 22, No. 2, pp. 205-213

De Castro M.L.F.A., Abad M.L.B., Sumalinog D.A.G., Abarca R.R.M., Paoprasert P., de
Luna M.D.G., 2018, Adsorption of methylene blue dye and Cu(II) ions on EDTA-modified
bentonite: Isotherm, kinetic and thermodynamic studies, Sustainable Environment Research,
Vol. 28, pp. 197-205

Freundlich H.M.F., 1906, Over the adsorption in solution, The Journal of Physical
Chemistry, Vol. 57, pp. 385-470

Freundlich H.M.F., 1922, Colloid and capillary chemistry, E. P. Dutton and Co
Ho Y.S., Mckay G., 1999, Pseudo-second order model for sorption processes, Process
Biochemistry, Vol. 34, No. 5, pp. 451-465

Hwang M.J., Hwang Y.S., Lee W.T., 2015, Phosphate adsorption on metal-impregnated
activated carbon, (Korean Literature), Journal of Korean Society of Environmental
Engineers, Vol. 37, No. 11, pp. 642-648

Kaya A., Oren A.H., 2005, Adsorption of zinc from aqueous solutions to bentonite,
Journal of Hazardous Materials, Vol. 125, pp. 183-189

Kim M. N., Kim W. G., Lee S., M., Yang J. K., 2009, Removal of Cu(II) with the recycled
hydroxylapatite from animal bones, [Korean Literature], Journal of Korean Society
of Environmental Engineers, pp. 735-742

Langmuir I., 1918, The adsorption of gases on plane surface of glass, mica and platinum,
Journey of the America Chemical Society, Vol. 40, pp. 1361-1403

Lee S.H., Kim C.K., Park J.G., Choi D.K., Ahn J.H., 2017, Comparison of steel slag
and activated carbon for phosphate removal from aqueous solution by adsorption, (Korean
Literature), Journal of Korean Society of Environmental Engineers, Vol. 39, No. 5,
pp. 303-309

Lee S.M., Kim C.W., Paik D.H., 2015, Evaluation of phosphorus adsorption characteristic
with surface modified activated carbon, (Korean Literature), Journal of the Korean
Society of Urban Environment, Vol. 15, No. 3, pp. 189-197

Moon J.H., Kim T.J., Choi C.H., Kim C.G., 2006, Adsorption characteristics of heavy
metals on clay minerals, (Korean Literature), Journal of Korean Society of Environmental
Engineers, Vol. 28, No. 7, pp. 704-712

Na C.K., Han M.Y., Park H.J., 2011, Applicability of theoretical adsorption models
for studies on adsorption properties of adsorbents (1), (Korean Literature), Journal
of Korean Society of Environmental Engineers, Vol. 33, No. 8, pp. 606-616

Nathaniel E., Kurniawan A., Soeteredjo F.E., Ismadji S., 2011, Organo-bentonite for
the adsorption of Pb(II) from aqueous solution: Temperature dependent parameters of
several adsorption equations, Desalination and Water Treatment, Vol. 36, pp. 280-288

Navarro V., Yustres A., Asensio L., la Morena G.D., Gonzalez-Arteaga J., Laurila T.,
Pintado X., 2017, Modelling of compacted bentonite swelling accounting for salinity
effects, Engineering Geology, Vol. 223, pp. 48-58

Nemeth G., Mlinarik L., Torok A., 2016, Adsorption and chemical precipitation of lead
and zinc from contaminated solutions in porous rocks, Possible application in environmental
protection, Journal of African Earth Sciences, Vol. 122, pp. 98-106

Rao M.M., Ramesh A., Rao G.P.C., Seshaiah K., 2006, Removal of copper and cadmium
from the aqueous solutions by activated carbon derived from Ceiba pentandra hulls,
Journal of Hazardous Materials, Vol. 129, No. 1-3, pp. 123-129

Rao M.M., Rao G.P.C., Seshaiah K., Choudary N.V., Wang M.C., 2008, Activated carbon
from Ceiba pentandra hulls, an agricultural waste, as an adsorbent in the removal
of lead and zinc from aqueous solutions, Waste Management, Vol. 28, No. 5, pp. 849-858

Salih S.S., Ghosh T.K., 2018, Adsorption of Zn(II) ions by chitosan coated diatomaceous
earth, International Journal of Biological Macromolecules, Vol. 106, pp. 602-610

Sahin O., Kaya M., Saka C., 2015, Plasma-surface modification on bentonite clay to
improve the performance of adsorption of methylene blue, Applied Clay Science, Vol.
116-117, pp. 46-53

Sen T.K., Gomez D., 2011, Adsorption of zinc from aqueous solution on natural bentonite,
Desalination, Vol. 267, pp. 286-294

Simonin J.P., 2016, On the comparison of pseudo-first order and pseudo-second order
rate laws in the modeling of adsorption kinetics, Chemical Engineering Journal, Vol.
300, No. 15, pp. 254-263

Tahir S.S., Rauf N., 2006, Removal of a cationic dye from aqueous solutions by adsorption
onto bentonite clay, Chemosphere, Vol. 63, No. 11, pp. 1842-1848

Tohdee K., Kaewsichan L., 2018, Enhancement of adsorption efficiency of heavy metal
Cu(II) and Zn(II) onto cationic surfactant modified bentonite, Journal of Environmental
Chemical Engineering, Vol. 6, No. 2, pp. 2821-2828

Treybal R.E., 1981, Mass-Transfer Operations, McGraw Hill
Van der Waals J.D., 1873, Over de constinuiteit van den gasen vloeistoftoestand, Ph.
D. Dissertation, Leiden University
Van't Hoff J.H., 1884, Etudes de dynamique chimique, Frederik Muller & Co
Weber J.W., 1972, Physicochemical processes for water quality control, John Wiley
& Sons, Inc, pp. 199-259