공동수
(Dongsoo Kong)
1a†iD
민정기
(Jeong-Ki Min)
1biD
노성유
(Seong-Yoo Noh)
2iD
-
경기대학교 바이오융합학부,
(Department of Bioconvergence, Kyonggi University,)
-
국립환경과학원 물환경연구부
(Water Environment Research Department, National Institute of Environmental Research)
© Korean Society on Water Environment. All rights reserved.
Key words
Benthic macroinvertebrates, Biological assessment, Indicator, Family-level biotic index, Rapid bioassessment
1. Introduction
지표 수서생물에 의한 물환경 평가는 이화학적 평가의 단점에 대비되는 여러 장점을 가지고 있지만 생물의 동정 과 분류를 위해 요구되는 전문성과 시간
및 노력 때문에 널리 확산되지 못하고 있다. 특히 종 수준의 동정을 요하 는 경우에는 분류학적 지식과 경험을 갖춘 전문가도 많은 시간과 노력을 소진할
뿐만 아니라 미성숙 개체들에 대해 서는 오동정할 가능성도 있다.
이러한 제약을 줄이면서도 비교적 정확한 환경평가가 가 능한 분류학적 범주는 무엇인가? 이에 대한 논의의 대표적 인 첫 사례가 1970년대 후반 영국에서
마련된 BMWP score라 할 수 있다. BMWP score는 1976년에 영국의 11명 의 전문가로 결성된 생물학적 모니터링 작업반(Biological
Monitoring Working Party, BMWP)에서 처음 논의되었다. BMWP는 지방환경관서, 하천정화위원회(스코틀란드), 담수 생물협회,
중앙물계획단위체 및 대학에 소속된 생물학자들 과의 반복적인 설문, 조사, 토론을 바탕으로 하천평가를 위 한 저서성 대형무척추동물의 점수 체계를 개발하였다.
이 체계에서 다루어진 5가지 주요 사항 중 첫 번째가 동정의 분류학적 수준이었다. 당초에는 Chandler 점수 (Chandler, 1970)와 같이 여러 다른 범주의 분류군이 고려 되었으나 관련 기관 간에 동정의 수준에 차이가 있다는 것 이 인식됨에 따라 결국 동정의 오차를 줄이되 생물학적
질 을 변별할 수 있는 가장 쉬운 동정 수준으로서 과(Family) 범주(빈모류만 Class 범주)가 선정되었다(Hawkes, 1997). BMWP 점수는 1978년 당초에 63개(빈모류 1강, 62개 과) 분류군의 민감치가 자연수로서 1에서 100으로 부여되었다 가 1979년에는
85개 분류군(빈모류 1강, 84개 과)에 대하 여 역시 자연수로서 1 ~ 10으로 조정되었다(Hawkes, 1997).
Walley and Hawkes (1996)는 영국과 웨일즈의 1990년 하천수질조사(River Quality Survey)로 얻어진 17,353개 표 본단위(Sampling unit)의 생물학적
조사결과로부터 저서성 대형무척추동물 81개 분류군(빈모류 1강과 80개 과)의 민 감치를 0.0 ~ 12.5의 소수점을 가진 값으로 개정하고 기존
BMWP 값과 비교하였다. Walley and Hawkes (1997)는 기 제시한 출현 유무만을 고려한 경우의 민감치(Walley and Hawkes, 1996)와 더불어 4단계 상용로그 개체수 범위(1 ~ 9, 10 ~ 99, 100 ~ 999, 1,000 ~)를 고려한 민감치를 함께 제시 하였다. Paisley et al. (2014)은 Walley and Hawkes (1997) 의 설정 체계를 따르되 대상 분류군을 106개(빈모류 1강과 105개 과)로 확장하고 민감치를 수정 혹은 새로이 정하였다.
BMWP score는 1980년대부터 River Invertebrate Prediction and Classification System (RIVPACS)의
생태질지수 (Ecological Quality Ratio, EQR) 산정에 사용되어 왔는데 (Wright et al., 2000), 이는 조사된 하천에서 실제로 측정된 저서성 대형무척추동물의 과(family)의 수(NTAXA)나 평균 민감치(Average Score Per
Taxon, ASPT) (O)를 동일한 하 천유형의 참조하천에서 예측되는 과의 수나 평균 민감치 (E)로 나누어 산출한 상대적인 수치(O/E, EQR)이다.
현행 RIVPACS IV는 저서성 대형무척추동물의 분류 체계와 불 확실성의 평가 등이 보완된 것으로, 2008년부터 RICT (River Invertebrate
Classification Tool)의 한 부분으로 통합 되어 이용되고 있다(Clarke and Davy-Bowker, 2014).
Clarke and Davy-Bowker (2014)는 Paisley et al. (2014) 의 오염 민감치를 관련 연구자들 이름의 첫 자를 모아 WHPT (Walley, Hawkes, Paisley, Trigg) score라 칭하고 그
중에서 빈모류의 값을 조정하였으며, WHPT 값을 RICT에 활용하는 방법을 제시하였다. 또한 영국의 기술자문단(UK Technical Advisory
Group, UKTAG)은 Clarke and Davy-Bowker (2014)의 민감치에서 상용로그 개체수 범위의 4단계 민감치만을 활용하여 EQR을 산정하는 방법과 그 평가기준 을 제시하였으며(WFD-UKTAG, 2014), 영국에서는 이에 따 른 평가방법(RICT의 WHPT 메트릭을 활용하는 UKTAG 방 법)과 기준을 법령으로 정하고 있다(UK Legislation, 2015).
일본에서는 전국공해연협의회(현재 전국환경연협의회)가 1992년에 환경청 수질보전국의 위탁사업으로 일본판 BMWP 과의 민감치를 마련한 이후, 이는
1990년부터 국토교통성 이 시행하고 있던 ‘하천수변의 국세조사’에 1993년부터 활 용되었고, 2012년에는 환경성의 위탁사업으로 ‘수생생물 등에
의한 수역특성 평가수법 위원회’에서 기존의 일본판 BMWP score의 개정안을 마련한 바 있다(Nojaki, 2012).
미국에서 과 수준의 지표치에 의한 평가지수는 Hilsenhoff (1988)의 Family biotic index (FBI)가 시초인데 이는 Wisconsin주의 하천에서 얻어진 자료로 개발된 것이다. FBI는 Plafkin et al. (1989), Bode et al. (1996), Bode et al. (2002), Barbour et al. (1999)에 의해 보완되었으며 현재는 수정 FBI (Modified Family Biotic Index)라는 명칭으로 쓰 이고 있는데 이는 미국 EPA의 Rapid
Bioassessment Protocol II에서도 활용된 바 있다(Barbour et al., 1999). 최 근 캐나다 Nova Scotia주의 주도인 Halifax의 토양·물협회 (Soil & Water Conservation Society of
Metro Halifax, SWCSMH)는 이상의 연구결과를 종합한 분류군별 내성표 를 제시하고 있다(SWCSMH, 2015). FBI 또는 Modified FBI에서의 분류군별 내성치는 민감치의 역개념으로서 청수 성 종의 0으로부터 오수성 종의 10까지 자연수로 부여된
지표치이다.
현재 우리나라의 국가적 생물모니터링에서 수생태계 평 가에 사용되고 있는 Kong, Son et al. (2018)의 저서동물지 수(Benthic Macroinvrtebrates Index, BMI)는 Zelinka and Marvan (1961)의 오수생물지수(Saprobic index, SI)를 원용 한 것으로서 종 수준의 평균 내성도(tolerance)를 고려하는 지수이다. 반면 상위
분류군의 오탁계량치(saprobic valency) 를 활용한 지수로는 Yoon et al. (1992b)의 Yoon-Kong의 군오염지수(Group Pollution Index, GPI)와 이를 개정한 Kong, Min et al. (2018)의 간이저서동물지수(Simple Benthic Macroinvertebrates Index, SBMI)가 있다. 그러나 이러한 지 수의 지표군은 문(phylum)으로부터
종(species) 수준의 범주 까지 다양하게 구성되어 있기 때문에 여전히 하위단계의 분류군에 대한 동정이 제약점이 될 수 있다. 또한 목 수준 이상에서
설정된 분류군은 같은 목 내에 지표성이 다른 군 이 포함되어 평가의 정확성을 떨어뜨릴 수 있다.
이러한 배경에서 본 연구는 국내 하천의 일반적인 유기 오염에 대한 저서성 대형무척추동물의 과 수준의 민감치를 산정하고 하천환경에 대한 평가지수 및
평가 기준을 개발 하기 위해 수행된 것이다. 산정된 지표군별 민감치는 국외 에서 발표된 관련 지표치(민감치 또는 내성치)와 비교하였 다. 본 연구에서
도출된 지수는 하천환경의 평가에 직접 활용될 수 있으며, 아울러 과 수준 민감치는 향후 영국의 RICT에서 적용하고 있는 EQR 체계를 도입하는 경우
WHPT score와 같은 역할을 할 수 있을 것으로 기대된다.
2. Materials and Methods
2.1. 분석자료
생물지수 개발에 활용한 자료는 Kong, Son et al. (2018) 의 BMI와 Kong, Min et al. (2018)의 SBMI 개발 시 사용 한 것과 동일한 것으로서, 환경부·국립환경과학원의 “수생 태계 건강성 조사 및 평가('08 ~ ’13년)”와 “하천 수생태계
현황 조사 및 건강성 평가('14년)”, 한강수계관리위원회의 “기후변화가 수생태계에 미치는 영향과 대응전략(2010 ~ 2012)”에서의 조사결과
중 일부였다. 두 사업의 조사수역은 산지하천에서부터 강의 하류를 포괄하는 유수역이었다.
당시 환경부·국립환경과학원의 저서성 대형무척추동물 조 사지점은 총 960개였으나 이중에 환경부 물환경측정망의 수질측정망 지점과 일치하는 540개 지점을
선별하였고 수 질은 동 측정망 자료를 활용하였다. 이에 한강수계관리위 원회의 조사지점 29개를 합친 총 조사지점은 569개였고 연중 또는 연간 반복된
조사를 포괄한 총 표본단위는 7,086개였다.
2.2. 지표군의 선별
지표군의 범주는 과 수준으로 정하는 것을 원칙으로 하 였으나 지표성이 색깔 유형별로 차이가 있는 깔따구과 (Chironomidae)만은 붉은색 유형(red
type)과 그 외의 유형 (non-red type)으로 구분하였다. 전체 표본단위에서 상대출 현빈도가 1% 미만인 과는 분석에서 제외하였으나 출현빈
도가 낮더라도 경험적으로 지표성이 뚜렷한 것으로 판단되 는 분류군(예로 강도래의 여러 과들)은 포함시켰다.
2.3. 지표군의 민감치 산정
과별 민감치는 Kong, Son et al. (2018)의 BMI 개발 시 적용된 절차에 따라 도출하였다. 오수생물계열은 BOD5 농 도를 기준으로 극빈부수성의 1 mg L-1로부터 2배수로서 5 단계로 나눈 체계를 따랐다(Table 1).
Table 1. Scheme of BOD5concentration according to saprobic series fromKong, Min et al. (2018),Kong, Son et al. (2018)Unit: mg L-1
|
Xenosaprobic
|
Oligosaprobic
|
β-mesosaprobic
|
α-mesosaprobic
|
Polysaprobic
|
|
0 ~≤1.0
|
1.0< ~≤2.0
|
2.0< ~≤4.0
|
4.0< ~≤8.0
|
>8.0
|
k 오수생물계열에서 i 과의 출현속성은 Dufrene and Legendre (1997)와 Kong, Son et al. (2018)과 같이 상대출 현도(xik)에 상대출현빈도(yik)를 곱한 복합출현도(cik)로 고 려하였다(식 (1)).
cik: k 계열 내 i 과의 복합출현도 (the combined relative abundance of family i in series k)
xik: k 계열 내 i 과의 상대출현도 (the relative abundance of individuals of family i in series k)
yik: k 계열 내 i 과의 상대출현빈도 (the relative frequency of occurrence of family i in series k)
상대출현도는 k 계열의 평균개체수를 모든 계열의 평균 개체수를 합한 값으로 나눈 값이다(식 (2)). 이때 k 계열 내 평균개체수(aik)는 해당 계열의 표본단위에서 출현한 개체 수(aijk)를 합한 총 개체수(Aik)를 해당 계열의 총 표본단위 수(nk)로 나눈 값이다.
aijk: k 계열 내 j 표본단위의 i 과의 개체수 (the number of individuals of family i in sampling unit j in series k)
nk: k 계열 내 총 표본단위 수 (the total number of sampling units in series k)
m: 계열의 총 수 (the total number of series); 5
상대출현빈도(relative frequency of occurrence)는 출현개 체수를 고려하지 않고 단지 과의 출현유무만을 고려한 값 으로서 k 계열에서 i 과가 출현한 표본단위수(nik)를 k 계열 의 총 표본단위수로 나눈 값이다(식 (3)).
nik: k 계열 내 i 과가 출현한 표본단위 수 (the number of sampling units in series k where family i is present)
오수생물계열별 오탁계량치(saprobic valency)는 계열별 복합출현도를 비율화하여 산정하였다(식 (4)).
υik: k 계열 내 i 과의 오탁계량치 (the saprobic valency of family i in series k)
각 과의 오탁치(saprobic value)는 오탁계량치가 가중된 오수생물계열치(식 (5))로 산정하였다. Yoon et al. (1992a) 로부터 Kong, Son et al. (2018)에 이르기까지 지표종의 saprobic value를 ‘오탁지수’로 칭하여 왔으나 이는 저서동 물지수 등 관련 지수의 명칭과 혼동될 수 있으므로 본고에
서는 이를 오탁치로 표현하였다.
si : i 과의 오탁치 (the saprobic value of family i)
Sk: k 계열의 오수생물계열치(the saprobic series value of series k; 0, 1, 2, 3, 4)
민감치(sensitivity value)는 오탁치의 역개념으로서 영국의 BMWP score와 같이 1에서 10의 자연수로 부여하였다. 오 탁치가 소숫점
첫째짜리까지 0인 과의 민감치는 10, 오탁 치가 3.0을 초과하는 과는 1을 부여하였고, 그 사이의 오탁 치를 가진 과에 대해서는 보간법으로 민감치를
부여하였다 (Table 2).
Table 2. Sensitivity values according to saprobic values
|
Saprobic value (si)
|
Sensitivity value (fi)
|
Saprobic value (si)
|
Sensitivity value (fi)
|
|
|
0
|
10
|
>1.5 ~ 1.9
|
5
|
|
>0.0 ~ 0.4
|
9
|
>1.9 ~ 2.3
|
4
|
|
>0.4 ~ 0.8
|
8
|
>2.3 ~ 2.6
|
3
|
|
>0.8 ~ 1.1
|
7
|
>2.6 ~ 3.0
|
2
|
|
>1.1 ~ 1.5
|
6
|
>3.0 ~ 4.0
|
1
|
2.4. 저서동물 과범주지수(Benthic Macroinvertebrates Family Index, BMFI)
현재 우리나라에서 사용되고 있는 저서동물지수(BMI)는 Zelinka and Marvan (1961)에 따라 생물종의 출현도와 지 표가중치(indicative value)로 가중하여 오탁치를 평균한 것 이다. 그러나 본 연구에서 제안하는 저서동물
과범주지수 (BMFI)는 과별 민감치와 상대출현도만을 고려하고 지표가 중치는 적용하지 않았다(식 (6)). 이는 같은 과에 속하는 여 러 종들의 출현도 또는 출현빈도가 서로 상이한 경우가 많 아 지표가중치를 계량화하는데 무리가 있기 때문이다.
BMFI 지수는 Pantle and Buck (1955)의 오수생물지수(S) 나 Hilsenhoff (1988)의 FBI와 유사한 형태인데, 오수생물 지수에는 종 수준의 내성치와 상대출현도가 적용되고 FBI 에는 과 수준의 민감치와 실개체수가 적용된다는 점에서
차이가 있을 뿐이다.
BMFI : 저서동물 과범주지수(Benthic Macroinvertebrates Family Index)
i: 지정된 과의 일련번호(the number assigned to the family)
n: 출현한 과의 총수(the number of family)
fi : i 과의 민감치(the sensitivity value of the family i)
hi : i 과의 상대출현도(the relative abundance of the family i)
출현개체수의 순위는 Kong, Son et al. (2018)과 같이 5 단계로 구분하였다. 각 과의 출현개체수 순위를 백분위수로 변환하고(식 (7)), 이를 5 등급으로 구분하여 상대출현도 값 을 1부터 5까지 부여하였다(Table 3).
Table 3. Scheme of relative abundance (hi) according to rank percentage of individual abundance (Ri)
|
Rank (Ri)
|
≤20%
|
20%< ~≤40%
|
40%< ~≤60%
|
60%< ~≤80%
|
>80%
|
|
Relative abundance (hi)
|
5
|
4
|
3
|
2
|
1
|
Ri : i 과의 출현개체수 순위 백분율 (the rank percentage of family i based on individual abundance)
Ni : i 과의 출현개체수 순위 (the rank of family i based on individual abundance)
N : 총 출현과수 (the total number of family)
수질 또는 다른 생물 군집지수와 BMFI의 관계를 분석하 였는데, 이때 적용한 군집지수는 Table 4와 같다.
Table 4. Community indices used in this study
|
Indices
|
Equation (reference)
|
Components
|
|
Species diversity index
|
H
′
=
-
∑
i
=
1
S
p
i
log
2
p
i
(Shannon and Weaver, 1949)
|
S : Total number of species i : Number assigned to the species pi : Proportional abundance of ith species (Ni/N) N : Total number of individuals Ni : Number of individuals in species i N1 : Number of individuals in 1st dominant species N2 : Number of individuals in 2nd dominant species
|
|
Dominance index
|
DI
=
N
1
+
N
2
N
(McNaughton, 1967)
|
|
Species richness Index
|
R
=
S
-
1
ln
N
(Margalef, 1958)
|
2.5. 지수의 적용
개발된 BMFI 지수를 환경부 물환경측정망의 생물측정망 3,039개 지점의 2016 ~ 2018년 조사자료에 적용하여 저서성 대형무척추동물 측면에서
수생태계의 건강성을 평가하였다. 생물측정망은 2016년에 신설되었으며 총 3,039개 조사지점 중 219개 지점은 매년 조사되고 나머지 지점은 3년
주기로 순연하여 조사되고 있다. 따라서 2016 ~ 2018년 조사 자료 는 전국 범위의 전체 조사지점에 대한 첫 번째 결과로서 큰 의미를 갖는다.
본 연구에서는 전체 조사지점 중 건천 화 또는 접근이 어려워 채집이 불가능하였거나 지표군이 전혀 출현하지 않아 평가가 불가한 지점을 제외한 3,017개
지점에 대하여 BMFI 값을 산출하고 건강성을 평가하였다.
3. Results and Discussion
3.1. 지표군 및 민감치
선정된 지표군은 총 99개 과였는데 이중 깔따구를 2개의 형태군(red type과 non-red type)으로 나누어 총 100개의 지 표군에 대한
민감치를 산정하였다(Appendix 1).
Table 5는 본 연구에서 도출된 민감치를 국외에서 발표 된 관련 지표치와 비교한 것이다. 각국에 분포하는 과별 생물종의 구성이 상이하고 분류학적 체계도 다를
수 있으 며 지표치를 산정하는 방식에도 차이가 있기 때문에 각각 의 지표치를 직접 비교하는 것은 무리한 일이다. 그러나 우리나라가 위치한 구북구지역의
인근 일본의 자료는 고려 할만한 가치가 크다고 판단된다. 또한 다소 무리가 있지만 동일 과에 속하는 종들은 대체로 유사한 생태적 특성을 지 닌다는
가정을 전제한다면 구북구 지역이지만 지리적으로 먼 영국이나 신북구지역의 북미의 자료도 참고할만한 가치 가 있다고 볼 수 있다.
Table 5. Comparative analysis on sensitivity values and tolerance values of Benthic Macroinvertebrate Family
|
No
|
Taxa
|
Sensitivity value
|
Tolerance value
|
|
This study
|
United Kongdom
|
Japan
|
USA and Canada
|
|
BMWPa) |
WHPTb) |
Scoreg) |
FBIo) |
ModifiedFBIp) |
|
1
|
Planariidae
|
8
|
5
|
4.9
|
7h) |
|
4
|
|
2
|
Viviparidae
|
5
|
6
|
5.7
|
-
|
|
6
|
|
3
|
Ampullariidae
|
5
|
-
|
-
|
-
|
|
|
|
4
|
Bithyniidae
|
3
|
3
|
3.7
|
-
|
|
8
|
|
5
|
Stenothyridae
|
4
|
-
|
-
|
-
|
|
|
|
6
|
Pleuroceridae
|
8
|
-
|
-
|
8
|
|
6
|
|
7
|
Lymnaeidae
|
6
|
3
|
3.3
|
3
|
|
6
|
|
8
|
Physidae
|
2
|
3
|
2.4
|
1
|
|
8
|
|
9
|
Planorbidae
|
3
|
3
|
3.1
|
2
|
|
7
|
|
10
|
Mytilidae
|
4
|
-
|
-
|
|
|
|
|
11
|
Unionidae
|
5
|
6
|
5.3
|
|
|
6
|
|
12
|
Cyrenidae
|
7
|
-
|
-
|
3i) |
|
6i) |
|
13
|
Nereididae
|
5
|
-
|
-
|
|
|
|
|
14
|
Lumbriculidae
|
7
|
1c) |
2.7c) |
4i) |
|
5
|
|
15
|
Lumbricidae
|
4
|
|
6
|
|
16
|
Naididae
|
1
|
|
8
|
|
17
|
Tubificidae
|
1
|
1k) |
|
9
|
|
18
|
Glossiphoniidae
|
2
|
3
|
3.2
|
2l) |
|
8q) |
|
19
|
Hirudinidae
|
1
|
3
|
-0.8
|
|
|
|
20
|
Erpobdellidae
|
3
|
3
|
3.1
|
|
|
|
21
|
Salifidae
|
2
|
-
|
-
|
|
|
|
22
|
Sphaeromatidae
|
9
|
-
|
-
|
-
|
|
|
|
23
|
Asellidae
|
3
|
3
|
2.8
|
2
|
8
|
8
|
|
24
|
Gammaridae
|
8
|
6
|
4.4
|
8
|
4
|
6
|
|
25
|
Atyidae
|
4
|
-
|
-
|
-
|
|
6r) |
|
26
|
Palaemonidae
|
3
|
-
|
-
|
-
|
|
|
27
|
Varunidae
|
3
|
-
|
-
|
-
|
|
|
28
|
Entomobryidae
|
10
|
-
|
-
|
-
|
|
5s) |
|
29
|
Siphlonuridae
|
9
|
10d) |
11.5d) |
8
|
7
|
4
|
|
30
|
Ameletidae
|
9
|
8
|
|
0
|
|
31
|
Baetidae
|
6
|
4
|
5.5
|
6
|
4
|
5
|
|
32
|
Isonychiidae
|
10
|
-
|
-
|
8
|
|
2
|
|
33
|
Heptageniidae
|
9
|
10
|
9.7
|
9
|
4
|
3
|
|
34
|
Leptophlebiidae
|
8
|
10
|
8.8
|
9
|
2
|
3
|
|
35
|
Potamanthidae
|
8
|
10
|
10.0
|
8
|
4
|
4
|
|
36
|
Polymitarcyidae
|
9
|
-
|
-
|
8
|
2
|
2
|
|
37
|
Ephemeridae
|
8
|
10
|
8.4
|
8
|
4
|
3
|
|
38
|
Ephemerellidae
|
8
|
10
|
8.2
|
8
|
1
|
1
|
|
39
|
Neoephemeridae
|
9
|
-
|
-
|
-
|
|
|
|
40
|
Caenidae
|
7
|
7
|
6.5
|
7
|
7
|
6
|
|
41
|
Coenagrionidae
|
3
|
6
|
3.5
|
-
|
9
|
8
|
|
42
|
Platycnemididae
|
3
|
6
|
6.0
|
-
|
|
-
|
|
43
|
Calopterygidae
|
7
|
8
|
6.0
|
6
|
5
|
6
|
|
44
|
Gomphidae
|
8
|
-
|
-
|
7
|
1
|
3
|
|
45
|
Macromiidae
|
7
|
-
|
-
|
-
|
3
|
2
|
|
46
|
Libellulidae
|
3
|
8
|
4.1
|
-
|
9
|
2
|
|
47
|
Scopuridae
|
10
|
-
|
-
|
-
|
|
|
|
48
|
Taeniopterygidae
|
10
|
10
|
11.3
|
-
|
2
|
2
|
|
49
|
Nemouridae
|
9
|
7
|
9.3
|
6
|
2
|
2
|
|
50
|
Capniidae
|
10
|
10
|
9.6
|
-
|
1
|
2
|
|
51
|
Leuctridae
|
9
|
10
|
10.0
|
-
|
0
|
0
|
|
52
|
Pteronarcyidae
|
10
|
-
|
-
|
-
|
0
|
0
|
|
53
|
Perlodidae
|
10
|
10
|
10.8
|
9
|
2
|
2
|
|
54
|
Perlidae
|
10
|
10
|
12.7
|
9
|
1
|
2
|
|
55
|
Chloroperlidae
|
10
|
10
|
11.6
|
9
|
1
|
0
|
|
56
|
Corixidae
|
4
|
5
|
3.8
|
-
|
|
5
|
|
57
|
Belostomatidae
|
2
|
-
|
-
|
-
|
|
|
|
58
|
Gerridae
|
2
|
5
|
5.2
|
-
|
|
|
|
59
|
Corydalidae
|
9
|
-
|
-
|
9
|
0
|
4
|
|
60
|
Dytiscidae
|
4
|
5
|
4.5
|
5
|
|
5
|
|
61
|
Hydrophilidae
|
1
|
5
|
6.2
|
4
|
|
5
|
|
62
|
Elmidae
|
8
|
5
|
6.6
|
8
|
4
|
4
|
|
63
|
Psephenidae
|
8
|
-
|
-
|
8
|
4
|
4
|
|
64
|
Limoniidae
|
8
|
5e) |
5.9e) |
8e) |
3e) |
3e) |
|
65
|
Tipulidae
|
6
|
|
66
|
Psychodidae
|
1
|
-
|
4.4
|
1
|
10
|
8
|
|
67
|
Dixidae
|
2
|
-
|
7.0
|
-
|
|
1
|
|
68
|
Culicidae
|
1
|
-
|
2.0
|
-
|
|
8
|
|
69
|
Simuliidae
|
9
|
5
|
5.8
|
7
|
6
|
6
|
|
70
|
Ceratopogonidae
|
8
|
-
|
5.5
|
7
|
6
|
6
|
|
71
|
Chironomidae(red)
|
1
|
2f) |
1.1f) |
2m) |
8t) |
8t) |
|
72
|
Chironomidae(non-red)
|
5
|
6n) |
6u) |
6u) |
|
73
|
Blephariceridae
|
10
|
-
|
-
|
10
|
0
|
0
|
|
74
|
Athericidae
|
9
|
-
|
9.3
|
8
|
2
|
4
|
|
75
|
Dolichopodidae
|
7
|
-
|
4.9
|
-
|
4
|
4
|
|
76
|
Tabanidae
|
5
|
-
|
7.1
|
6
|
6
|
5
|
|
77
|
Syrphidae
|
1
|
-
|
1.9
|
-
|
10
|
10
|
|
78
|
Ephydridae
|
1
|
-
|
4.4
|
-
|
6
|
6
|
|
79
|
Muscidae
|
1
|
-
|
3.9
|
-
|
6
|
6
|
|
80
|
Rhyacophilidae
|
9
|
7
|
8.4
|
9
|
0
|
1
|
|
81
|
Hydroptilidae
|
7
|
6
|
6.2
|
4
|
4
|
4
|
|
82
|
Hydrobiosidae
|
10
|
-
|
-
|
9
|
|
-
|
|
83
|
Glossosomatidae
|
9
|
7
|
7.7
|
9
|
0
|
1
|
|
84
|
Philopotamidae
|
9
|
8
|
11.2
|
9
|
3
|
3
|
|
85
|
Stenopsychidae
|
10
|
-
|
-
|
9
|
|
-
|
|
86
|
Arctopsychidae
|
9
|
-
|
-
|
-
|
|
-
|
|
87
|
Hydropsychidae
|
7
|
5
|
6.6
|
7
|
4
|
4
|
|
88
|
Polycentropodidae
|
9
|
7
|
8.1
|
9
|
6
|
6
|
|
89
|
Ecnomidae
|
4
|
-
|
-
|
-
|
|
-
|
|
90
|
Psychomyiidae
|
8
|
8
|
5.8
|
8
|
2
|
2
|
|
91
|
Brachycentridae
|
9
|
10
|
9.5
|
10
|
1
|
1
|
|
92
|
Limnephilidae
|
9
|
7
|
6.2
|
8
|
4
|
3
|
|
93
|
Goeridae
|
9
|
10
|
8.8
|
7
|
|
3
|
|
94
|
Uenoidae
|
10
|
-
|
-
|
10
|
|
3
|
|
95
|
Apataniidae
|
9
|
7
|
8.8
|
9
|
|
3
|
|
96
|
Lepidostomatidae
|
9
|
10
|
10.1
|
9
|
1
|
1
|
|
97
|
Sericostomatidae
|
9
|
10
|
9.1
|
9
|
3
|
3
|
|
98
|
Molannidae
|
8
|
10
|
6.6
|
-
|
6
|
6
|
|
99
|
Odontoceridae
|
10
|
10
|
11.0
|
-
|
0
|
0
|
|
100
|
Leptoceridae
|
8
|
10
|
6.7
|
8
|
4
|
4
|
영국의 법령에서는 관련평가를 UKTAG의 방법에 따르도 록 규정하고 있고(UK Legislation, 2015), UKTAG은 Clarke and Davy-Bowker (2014)의 민감치에서 출현유무에 대한 민감치는 제외하고 상용로그 개체수 범위의 4단계 민감치 만을 채택하고 있지만(WFD-UKTAG, 2014) 이를 정리하여 비교하는 것은 다소 복잡하기 때문에 본 고에서는 Clarke and Davy-Bowker (2014)의 출현유무에 대한 민감치 만 인 용하여 비교하였다.
본 연구에서 설정된 편형동물류의 플라나리아과(Planariidae) 의 민감치는 영국의 당초 BMWP score (Paisley et al., 2014)나 WHPT score (Clarke and Davy-Bowker, 2014; Paisley et al., 2014)보다는 다소 높은 수준이고, 일본의 Dugesiidae에 대한 민감치(Nojaki, 2012)와 북미의 Modified FBI의 내성치(SWCSMH, 2015)와 비교하면 비슷한 수준으 로 볼 수 있다.
복족류 과들의 민감치는 대부분 국외의 지표치와 유사한 경향으로 설정되었으나 물달팽이과(Lymnaeidae)의 민감치 는 영국과 일본의 지표치에 비해서는
상대적으로 높은 수 준이었다. 물달팽이과 종류 중 국내 하천에서 주로 출현하 는 물달팽이(Radix auricularia)는 오염된 하천에서도 일부 출현하지만 빈~중부수성 수역에서 더욱 높은 출현도를 보 이고 있어 그 특성이 반영된 것으로 보인다. 다슬기과 (Pleuroceridae)는
복족류의 과 중에서 가장 높은 민감치를 보였는데 이는 일본의 지표치와는 같지만 북미권의 지표치 에 비해서는 다소 높은 수준이다. 다슬기류는 내성의
범위가 넓어 오염된 하천에서도 출현하지만 주로 청~빈부수성에서 의 출현도가 상대적으로 높은 경향을 보이고 있다. 산골과 (Sphaeriidae)는
출현도가 많지 않기도 하지만 내성도가 다 른 산골조개(Pisidium coreanum)와 삼각산골조개(Sphaerium lacustre)가 포함되어 있어 지표군에서 제외하였다.
환대강은 본 연구뿐만 아니라 국외의 사례에서도 오수성 생물군으로 평가되었다. 영국과 일본에서는 빈모류의 지표 성을 과별로 세분하지 않은 반면 본 연구와
북미에서는 이 를 세분하였는데, 빈모류의 다른 분류군에 비해 실지렁이붙 이과(Lumbriculidae)의 민감치가 상대적으로 높고 낚시지렁 이과(Lumbricidae)의
민감치는 약간 높은 수준으로 평가되 었다.
연갑강의 물벌레과(Asellidae)와 옆새우과(Gammaridae)의 지표성은 국외의 사례와 비슷한 수준으로 평가되었다. 그러 나 국내의 매우 오염된
하천에서 옆새우과외의 근연 단각 목(Isopoda)의 종류가 출현하는 경우가 있기 때문에 동정 시 주의가 필요한 분류군이다.
곤충강 하루살이목(Ephemeroptera)의 과별 지표성은 국외 의 사례와 큰 차이가 없는 수준이었으나 빗자루하루살이과 (Isonychiidae)의
민감치는 일본이나 북미의 지표치에 비해 다소 높은 수준으로 평가되었다. 빗자루하루살이류는 앞다 리 종아리마디에 열 지어 나 있는 강모를 가지고 물속의
미세한 유기물을 걸러먹는 무리(collector-filterer)로서 국내 의 평지하천에서 주로 출현하는 종류인데 피라미하루살이 과(Ameletidae)
등의 청수성 하루살이류와 비교해 볼 때 민 감치가 상대적으로 높게 평가된 것으로 보인다. 전체 표본 단위 중 빗자루하루살이과의 출현빈도는 1.2%에
불과하였 기 때문에 추후 더욱 많은 자료가 축적되었을 때 재검토될 필요가 있다. 더불어 일례로서 하루살이과(Ephemeridae)의 여러 종들의 서식구계
및 민감치가 다르고, 알락하루살이과 (Ephemerellidae) 중 등줄하루살이(Teloganopsis punctisetae) 는 다른 종들과 민감성에 차이가 있는데 동정의 편의성과 정확성을 위해 이러한 종 수준의 예외성은 과범주지수에서 반영되지 않는다는 점을 감안해야
한다.
잠자리목(Odonata)은 다양성이 높지만 대체로 내성의 범 위가 넓기 때문에 일부 과만 지표군에 포함시켰다. 실잠자 리과(Coenagrionidae)와
잠자리과(Libellulidae)에 대해서 영 국의 당초 BMWP 값은 다소 높은 수준으로 설정되어 있었 던 것으로 판단된다. 잠자리과는 FBI (Hilsenhoff, 1988)에 서는 매우 오수성인 군으로 평가되고 있는데 반해 Modified FBI에서는 낮은 내성치를 부여하고 있다(SWCSMH, 2015). 대체로 잠자리과의 종류들은 물 흐름이 느린 곳에 유기물 함량이 높은 세립질 퇴적물에서도 흔히 출현하는 종류임을 고려할 때 높은 수준의 민감치를
부여하는 것은 적합하지 않다고 판단된다.
강도래목(Plecoptera)은 대부분의 종류가 청수성인 생물 군으로서 각 과별 지표성이 국외의 사례와 유사한 수준으 로 평가되었다. 민강도래과(Nemouridae)에
대하여 영국의 당초 BMWP와 일본에서는 상대적으로 낮은 민감치를 부 여하고 있는데, 이 종류들이 약간 오염된 하천에서도 출현 하기는 하지만 대체로
청수성 수역에서 출현도가 높기 때 문에 강도래목의 다른 과에 비해 크게 낮은 민감치를 부 여하는 것은 국내 하천환경에서는 적정하지 않은 것으로 보인다.
노린재목(Hemiptera)과 딱정벌레목(Coleoptera)은 표수성 인 종류도 있고 비행능이 있는 성충 시기에 물속에서 생활 하는 종류가 많기
때문에 지표군으로 포함하는 것이 적합 하지 않을 수 있으므로 본 연구에서는 하천에서 유충상태 로 흔히 출현하는 과들만 포함시켰다. 표수성인 소금쟁이과
와 이동성이 큰 물땡땡이과(Hydrophilidae)의 민감치는 국외 의 사례에 비하여 상대적으로 매우 낮은 수준으로 평가되었 는데 이에 대해서는
추후 자료가 더욱 축적된 상태에서 재 평가할 필요가 있다고 본다. 하천에서 주로 출현하는 물땡 땡이류인 점박이물땡땡이(Berosus signaticollis punctipennis) 와 점물땡땡이속(Laccobius)은 하천구간에 한해서는 상대적 으로 환경상태가 악화된 정수역에서 출현하는 경향이 있다. 그러나 이들 종류는 일반적인 환경상태를 가진 호수나 저 수지와
같은 정수역에서 흔히 출현하는 종류이기 때문에 이들의 민감치는 추후 재검토될 필요가 있어 보인다.
파리목(Diptera)의 과별 지표성은 전반적으로 국외 사례와 비슷한 경향으로 평가되었으나 물가파리과(Ephydridae)와 집파리과(Muscidae)의
민감치가 상대적으로 낮았는데 이들 의 출현빈도가 각각 2.8%와 1.6%로 낮았기 때문에 보다 많은 자료가 축적된 후 재평가될 필요가 있다. 애기각다귀
과(Limoniidae)와 각다귀과(Tipulidae)의 지표성은 국외에서 는 분리하지 않고 있으나 국내의 경우 애기각다귀류가 다 른 각다귀류에 비해
청수성 수역에서 주로 출현하고 있기 때문에 지표치를 세분하는 것이 적합할 것으로 보인다.
깔따구과(Chironomidae)에 대해서는 영국에서 단일한 지표 치를 설정하고 있으나 일본에서는 복부의 혈새(blood tubule) 의 유무로(Nojaki, 2012), 북미에서는 색깔의 차이로 구분하 여 지표치를 설정하고 있다(Hilsenhoff, 1988; SWCSMH, 2015). 국내에서는 Yoon et al. (1992b) 이래로 미국과 같 이 깔따구를 색깔에 따라 두 개의 형태군으로 나누어 지표 치를 설정하여 왔다. 혈새의 유무나 색깔의 차이는 모두 호흡과 관계된
용존산소의 이용성에 근거한 것으로 각각 타당성이 있다고 판단된다. 그러나 붉은 색의 깔따구는 많 은 개체수로 출현하는 경우가 흔하기 때문에 현장에서
색 깔을 구분하여 정확히 계수하는 것은 사실상 어렵다. 또한 실험실로 옮겨온 경우에는 자연적으로 또는 고정액에 의해 서 변색되기 때문에 색깔을 구분하여
계수하는데 어려움이 있다. 따라서 일본의 경우와 같이 복부의 혈새의 유무, 즉 구조적인 특징으로 구분하여 지표성을 부여하는 것이 더욱 합리적일 것으로
보인다. 향후 각종 조사사업에서 이러한 형태적 특징들을 구분하여 자료를 축적한 후 평가에 더욱 적정한 형질의 유형을 선택하고 그에 부합되는 지표성을
부여할 필요가 있다고 판단된다.
대체로 청정수역에서 출현하는 날도래목(Trichoptera)의 지 표성은 국외의 사례와 큰 차이를 보이지 않았다. 다만 애날 도래과(Hydroptilidae)와
가시날도래과(Goeridae)에 대한 일본 의 민감치가 상대적으로 낮고, 깃날도래과(Polycentropodidae) 와 날개날도래과(Molannidae)에
대한 북미권의 내성치가 상 대적으로 높게 설정되었는데 이는 종 구성의 차이에 따른 것으로 판단된다. 각날도래과(Stenopsychidae)는 경험적으로
약간 오염된 하천에서도 출현하는 분류군으로서 그 민감치 가 지나치게 높은 수준으로 편향된 것으로 보인다. 자료에 의해서도 이들 생물군은 청~ 중부수성에
걸쳐 출현하는데 청수성 수역에서의 출현도가 현저히 높기 때문에 높은 민 감치가 부여된 것이었다.
3.2. BMFI와 수질 및 군집지수의 관계
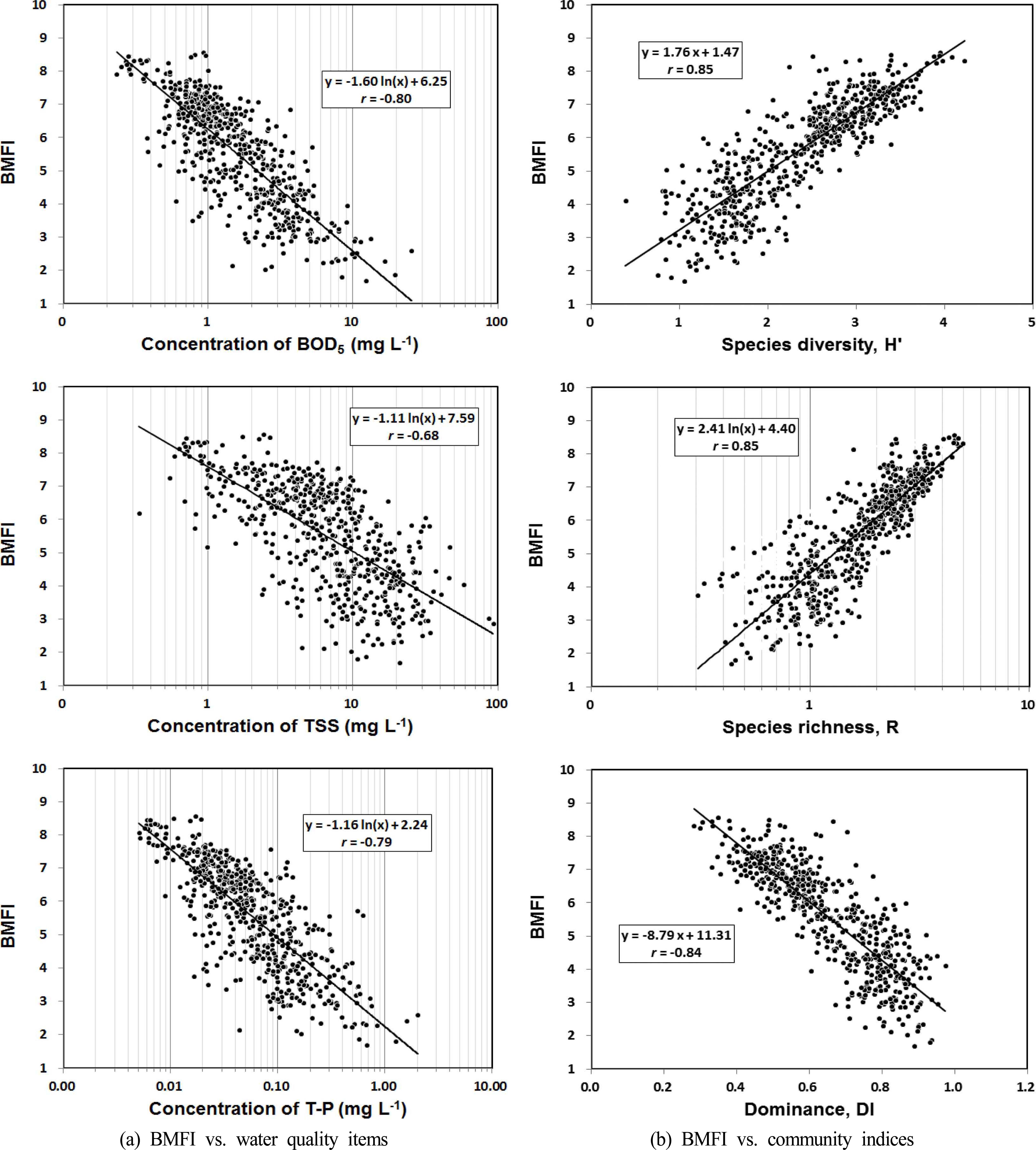
총 569개 조사지점별 평균치로서의 BMFI와 BOD5, TSS, T-P 농도의 상관계수는 각각 -0.80, -0.68, -0.79였다(Fig. 1). 같은 자료에서 BOD5, TSS, T-P에 대한 BMI의 상관계 수는 각각 -0.80, -0.68, -0.78이었고, SBMI의 상관계수는 각각 0.79, 0.69, 0.77이었다.
과 수준의 민감치에 의한 BMFI, 종수준의 오탁치에 의한 BMI, 상위분류군의 오탁계 량치에 의한 SBMI의 수질에 대한 상관도는 서로 큰 차이
가 없음을 확인할 수 있었다.
Fig. 1. Relationship between Benthic Macroinvertebrates Family Index (BMFI) and (a) water quality (BOD5, total suspended solids (TSS), and total phosphorus (T-P)) (b) community indices (Shannon-Weaver's species diversity (H'), Margalef's species richness (R), McNaughton's dominance index (DI)).
BMFI와 Shannon-Weaver의 종다양도(H'), Margalef의 종 풍부도(R), McNaughton의 우점도(DI) 간 상관계수는 각각
0.85, 085, -0.84였다. 같은 자료에서 H’, R, DI에 대한 BMI의 상관계수는 각각 0.84, 0.85, 0.84였고, SBMI의
상 관계수는 각각 -0.85, -0.85, 0.83이었다. 여러 군집지수와 BMFI의 상관도 역시 BMI나 SBMI의 그것과 큰 차이가 없 었다.
3.3. BMFI의 평가 등급
BOD5, 총부유물질, 총인의 장기 평균농도와 BMFI 값의 다중회귀식은 식 8과 같으며 그 결정계수는 0.67이었다. 같 은 자료에서 나타난 다중요인의 BMI에 대한 결정계수는 0.66이었고(Kong, Son et al., 2018) SBMI와의 결정계수는 0.65였던 것(Kong, Min et al., 2018)과 비교할 때 BMFI 는 환경요인에 대하여 다른 지수들과 비슷한 수준의 상관 도를 가진다고 평가할 수 있다. 각 변수의 변이를 반영하 여 표준화된
회귀계수(standardized regression coefficient)는 BOD5에 대하여 -0.46, TSS는 -0.10, T-P는 -0.29로서 BOD5 가 다른 수질항목에 비하여 BMFI에 상대적으로 영향도가 큰 것으로 나타났다.
BMFI의 평가등급 체계를 설정하기 위한 BOD5, TSS, T-P 농도의 등급치는 Kong, Son et al. (2018) 에 따랐다 (Table 6). 각 등급의 BMFI 기준 값은 각 수질항목의 등급 치를 식 (8)의 다중회귀식에 대입하여 도출하였다. 회귀식 에서 도출된 최하위 등급의 BMFI 경계값은 3.1, 최상위 등 급의 경계값은 6.9로 나타났는데,
가독성을 높이기 위해 등 급간 경계치를 일정한 폭(BMFI 값으로 1.3)으로 조정하여 최종 기준치를 설정하였다.
Table 6. Scheme of BMFI based on criteria of BOD5, TSS and TP concentration
BOD5 (mg L-1)
|
TSS (mg L-1)
|
T-P (mg L-1)
|
BMFI calculated from Eq. (15)
|
Class
|
Environmental status
|
Simple Benthic Macroinvertebrates Index (SBMI)
|
|
|
1
|
2.5
|
0.010
|
6.9
|
Ia
|
Very good
|
≥7.0 ~ 10
|
|
2
|
5.0
|
0.035
|
5.6
|
Ib
|
Good
|
≥5.7 ~ <7.0
|
|
4
|
10.0
|
0.100
|
4.4
|
II-III
|
Moderate
|
≥4.4 ~ <5.7
|
|
8
|
20.0
|
0.300
|
3.1
|
III-IV
|
Poor
|
≥3.1 ~ <4.4
|
|
|
|
|
|
V-VI
|
Very poor
|
1 ~ <3.1
|
2016 ~ 2018년간 환경부 물환경측정망의 생물측정망 조사 자료에 BMFI 지수 값을 적용하여 건강성을 평가한 결과는 Fig. 2와 같다. 전체적으로 ‘매우 양호(very good)’ 등급은 21%, ‘양호(good)’ 등급은 31%, ‘보통(moderate)’ 등급은 23%,
‘불량(poor)’ 등급은 19%, ‘매우 불량(very poor)’ 등급 은 6%로 평가되었다.
Fig. 2. Frequency of environmental status evaluated by BMFI in the 3,017 sites of Stream Ecosystem Survey by Ministry of Environment during 2016 ~ 2018.
건강성 평가등급의 기준치를 설정하기 위해 총인과 TSS 가 반영되었지만(Table 6) 이들 항목에 비해 BOD5가 BMFI 지수 값에 미치는 영향도가 상대적으로 크기 때문에 BMFI 는 국내 하천의 생분해성 유기오염도를 평가하는데 초점이 맞추어진 지수라 할
수 있다. 따라서 생물학적으로 평가되 는 우리나라 하천의 생분해성 유기오염도는 양호(good) 등 급 이상이 약 절반이고 불량(poor) 이하의 등급이
4분위 수 준이라고 할 수 있다.
현재 환경부 물환경측정망의 하천의 생물측정망 지점은 3,039개로 하천의 수질측정망 지점 682개에 비해 월등히 많다. 따라서 생물측정망 자료는 이화학적으로
계측되지 않 고 있는 지점의 환경상태를 파악하는데 매우 중요하게 활 용될 수 있다. 뿐만 아니라 비교적 생활사가 긴 저서성 대 형무척추동물에 의한
평가결과는 장기적이고 종합적인 환 경상태를 대변하기 때문에 이화학적 수질자료보다 더욱 중 요한 것으로 인식되어야 한다.
4. Conclusion
국내의 저서성 대형무척추동물의 과(Family) 수준의 100 개 지표군을 선별하여 일반적인 유기오염에 대한 민감치를 산정하고 이를 바탕으로 저서동물
과범주지수(BMFI)를 개 발 및 적용한 결과 얻어진 결론은 다음과 같다.
-
과별 민감치는 기존에 국외에서 제시된 지표치와 대체 로 유사한 경향을 보였으나 일부 분류군의 값은 상당한 차 이를 보였다. 이는 각국의 생물 종의
분포나 분류학적 체계 의 차이 또는 민감성에 대한 평가 방식의 차이에 따른 것 으로 보인다. 다소의 제한점에도 불구하고 본 연구를 통해 제시된 과별
민감치는 향후 특정 지점의 환경평가는 물론 참조하천에 대한 예측에 활용될 수 있을 것으로 기대된다.
-
일부 분류군의 민감치는 경험적으로 인식되고 있는 수 준과 다소간의 차이를 보이고 있는데 이러한 분류군의 지 표치에 대해서는 향후 장기적이고 광범위한
조사자료를 축 적하여 재검토 및 보완할 필요가 있다.
-
깔따구과의 민감치는 일부 국가에 따라 복부 혈새의 유무 또는 색깔의 차이에 따른 형태군으로 나누어 평가되 고 있고 우리나라는 색깔로 구분하여 왔는데,
계수의 정확 성과 재현성 측면에서는 구조적 형질인 복부 혈새로 구분 하는 것이 더욱 적절한 것으로 판단된다. 향후 형태적 특 징들을 구분하여 장기적으로
자료를 축적한 후 형질별 효 율성을 검토할 필요가 있다.
-
BMFI 지수는 기존에 발표된 상위분류군 수준의 SBMI 와 비교할 때 이화학적 수질과의 상관성에 큰 차이가 없었 다. 따라서 단순히 이화학적 수질을
판정하기 위한 것이라 면 동정 수준에 대한 요구도가 낮은 SBMI 지수가 BMFI 지수보다 더욱 용이하다고 할 수 있다. 그러나 조사지점의 특성에
따라서는 두 지수의 결과가 다를 수 있고 각각 다 른 정보를 제공할 수 있다. 또한 출현하는 분류군의 다양 성을 비교하기 위해서는 BMFI 목록이
유용한 반면 고려하 는 분류군의 수가 제한적인 SBMI는 활용하기 어렵다.
-
BMFI 지수를 환경부 생물측정망 3,017개 지점의 2016 ~ 2018년 조사자료에 적용한 결과로 볼 때 우리나라 하천의 생물학적 유기오염도는
양호(good) 등급 이상이 약 절반이 고 불량(poor) 이하의 등급이 4분위 수준이라고 할 수 있다. 생물측정망 자료는 이화학적인 모니터링이 수행되지
않는 지역을 포함하여 국가 전체의 환경상태를 파악하는데 유용 할 뿐만 아니라 장기적이고 종합적인 환경상태를 평가할 수 있다는 측면에서 매우 중요한
것으로 인식되어야 한다.
Acknowledgement
본 연구는 환경부·국립환경과학원의 “수생태계 건강성 조 사 및 평가(‘08 ~ ’13년)”와 “하천 수생태계 현황 조사 및 건강성 평가(‘14 ~
’18년)” 사업, 한강수계관리위원회의 “기 후변화가 수생태계에 미치는 영향과 대응전략(2010 ~ 2012)” 과제에서 얻어진 자료를 활용한 것으로
이에 감사 드립니다.
Appendices
Appendix 1. Sensitivity value of each indicator family
References
Barbour M.T., Gerritsen J., Snyder B.D., Stribling J.B., 1999, 11 chapters, 4 appendices,
Rapid bioassessment protocols for use in streams and wadeable rivers: Periphyton,
benthic macroinvertebrates, and fish, EPA 841-B-99-002, United States Environmental
Protection Agency; Office of Water, Vol. xiv
Bode R.W., Novak M.A., Abele L.E., 1996, Quality assurance work plan for biological
stream monitoring in New York State, NYS Department of Environmental Conservation,
pp. 1-89
Bode R.W., Novak M.A., Abele L.E., Heitzman D.L., Smith A.J., 2002, Quality assurance
work plan for biological stream monitoring in New York State, NYS Department of Environmental
Conservation, pp. 1-115
Chandler J.R., 1970, A biological approach to water quality management, Water Pollution
Control, Vol. 69, No. 4, pp. 415-422

Clarke R.T., Davy-Boeker J., 2014, River invertebrate classification tool science
development project: modifications for WHPT and other abundance-weighted indices,
a report to the Scottish Environment Protection Agency, FBA Project Code S/0008/R,
Scottish Environment Protection Agency, pp. 1-85

Dufrene M., Legendre P., 1997, Species assemblages and indicator species: the need
for a flexible asymmetrical approach, Ecological Monographs, Vol. 67, No. 3, pp. 345-366

Hawkes H.A., 1997, Origin and development of the biological monitoring working party
score system, Water Research, Vol. 32, No. 3, pp. 964-968

Hilsenhoff W.L., 1988, Rapid field assessment of organic pollution with a family-level
biotic index, Journal of the North American Benthological Society, Vol. 7, No. 1,
pp. 65-68

Kong D., Min J.K., Noh S.Y., 2018, Development of simple benthic macroinvertebrates
index (SBMI) for biological assessment on stream environment, (Korean Literature),
Journal of Korean Society on Water Environment, Vol. 34, No. 5, pp. 514-536

Kong D., Son S.H., Hwang S.J., Won D.H., Kim M.C., Park J.H., Jeon T.S., Lee J.E.,
Kim J.H., Kim J.S., Park J., Kwak I.S., Jun Y.C., Park Y.S., Ham S.A., Lee J.K., Lee
S.W., Park C.H., Moon J.S., Kim J.Y., Park H.K., Park S.J., Kwon Y., Kim P., Kim A.R.,
2018, Development of benthic macroinvertebrates index (BMI) for biological assessment
on stream environment, (Korean Literature), Journal of Korean Society on Water Environment,
Vol. 34, No. 2, pp. 183-201

Margalef R., 1958, Information theory in ecology, General Systems, Vol. 3, pp. 36-71

McNaughton S.J., 1967, Relationship among functional properties of California Grassland,
Nature, Vol. 216, pp. 168-169

Nojaki T., 2012, Biological assessment based on macroinvertebrate communities -average
score system for Japanes rivers-, [Japanese Literature], Journal of Japan Society
on Water Environment, Vol. 35, No. (A)4, pp. 118-121

Paisley M.F., Trigg D.J., Walley W.J., 2014, Revision of the Biological Monitoring
Working Party (BMWP) score system : derivation of present-only and abundance-related
scores from field data, River Research and Applications, Vol. 30, No. 7, pp. 887-904

Pantle R., Buck H., 1955, Die biologische Überwachung der Gewässer und Darstellung
Ergebnisse, Gas-und Wasserfach, Vol. 96, pp. 604-624

Plafkin J.L., Barbour M.T., Porter K.D., Gross S.K., Hughes R.M., 1989, 8 chapters,
Appendices A-D, Rapid bioassessment protocols for use in streams and rivers: Benthic
macroinvertebrates and fish, EPA 440/4-89/001, United States Environmental Protection
Agency
Shannon C.E., Weaver W., 1949, The mathematical theory of communication, University
of Illinois Press
Soil & Water Conservation Society of Metro Halifax (SWCSMH), 2015, http://lakes.chebucto.org/ZOOBENTH/BENTHOS/tolerance.html
(accessed Jan. 2019), Taxa tolerance values
UK Legislation, 2015, https://www.legislation.gov.uk/uksi/2015/1623/resources (accessed
Jan. 2019), The Water Framework Directive (Standards and Classification) Directions
(England and Wales) 2015
Walley W.J., Hawkes H.A., 1996, A computer-based reappraisal of the biological monitoring
working party scores using data from the 1990 river quality survey of England and
Wales, Water Research, Vol. 30, No. 9, pp. 2086-2094

Walley W.J., Hawkes H.A., 1997, A computer-based development of the biological monitoring
working party score system incorporating abundance rating, site type and indicator
value, Water Research, Vol. 31, No. 2, pp. 201-210

Water Framework Directive - United Kingdom Advisory Group (WFD-UKTAG), 2014, https://www.wfduk.org/resources/category/biological-standard-methods-201
(accessed Jan. 2019), UKTAG river assessment method - benthic invertebrate fauna -.
Invertebrates (General Degradation): Whalley, Hawkes, Paisley & Trigg (WHPT) metric
in River Invertebrate Classification Tool (RICT)
Wright J.F., Sutcliffe D.W., Furse M.T., 2000, Assessing the biological quality of
fresh waters: rivpacs and other techniques, Freshwater Biological Association, pp.
1-24
Yoon I.B., Kong D., Ryu J.K., 1992a, Studies on the biological evaluation of water
quality by benthic macroinvertebrates (1) saprobic valency and indicative value, (Korean
Literature), Korean Society of Environmental Biology, Vol. 10, No. 1, pp. 24-49

Yoon I.B., Kong D., Ryu J.K., 1992b, Studies on the biological evaluation of water
quality by benthic macroinvertebrates (3) macroscopic simple water quality evaluation,
(Korean Literature), Korean Society of Environmental Biology, Vol. 10, No. 2, pp.
77-84

Zelinka M., Marvan P., 1961, Zur präzisierung der biologischen klassifikation der
reinheid fliessender gewässer, Archiv fur Hydrobiologie, Vol. 57, No. 3, pp. 389-407
