최재훈
(Jae-Hoon Choi)
1iD
정성엽
(Seong-Yeob Jeong)
2iD
김지태
(Ji-Tae Kim)
3†iD
-
경기대학교 일반대학원,
(Department of Graduate School, Kyonggi University)
-
(주)환경에너지오앤엠 기술연구소,
(Environment Energy O&M Institute of Technology)
-
경기대학교 창의공과대학 환경에너지공학과
(Department of Environmental Enggineering, Colleage of Engineering, Kyonggi University)
© Korean Society on Water Environment. All rights reserved.
Key words
BMP test, Solubilization, Thermal pre-treatment, Waste Activated Sludge
1. Introduction
하수슬러지의 발생량의 증가와 유가의 지속적인 상승 등의 요인으로 2015년 기준 국내 하수슬러지 바이오가스 시설용 량은 31,619 ton/day로
달해, 2014년 기준 27,430 ton/day 대 비 15.3 % 증가하였다(ME, 2016). 하지만 온실가스 감축 의 무화, 해양투기 금지 등 교토 의정서 및 런던협약에 따른 하 수슬러지 처리비용 상승으로 인한 슬러지 처리의 부담은 지
속적으로 가중될 것이며, 이에 따른 효율적인 대응 방안이 필요한 실정이다(Kang et al., 2015).
현재 증가하는 슬러지 발생량에 대한 처리 대응방안으로는 에너지원으로의 재활용, 건조, 소각 및 매립 등이 이용되고 있다. 하지만 고갈되어가는 화석연료의
대체와 온실가스 배 출량 저감을 위하여 건조, 소각, 매립 등의 처분 방법이 아닌 에너지원으로 재활용하는 방안이 주목받고 있다. Tyagi and Lo (2013)의 연구에 의하면 하수슬러지의 대표적인 재활용 방안으로는 생물학적 처리를 통한 바이오가스 생산, 비료화 및 고형연료화 등이 있다. 이 중, 증가하는
하수슬러지의 효 율적인 처리를 통해 자원화하고 병원균과 악취를 저감하며, 최종적으로 슬러지 고형물을 효과적으로 저감시키는 혐기성 소화 공정의 중요성이
점점 강조되고 있다(Appels et al., 2008).
혐기성 소화 공정은 혐기성 미생물이 유기물을 대사활동 기질로 활용하여 최종적으로 에너지원 중 하나인 biogas를 생산하는 일련의 과정이며, Enzyme
hydrolysis, Furmentation stage, Acetogenesis, Methanogenesis 단계가 연속적으로 진 행된다. 효소 가수분해
단계에서는 세포 외 효소의 작용으로 인하여 복합적인 유기 중합체인 기질이 단순한 가용성 분자 로의 가수분해 반응이 일어나는 단계이다. 이 반응동안
탄수 화물, 단백질 및 지질 등의 고분자는 당, 아미노산 및 Long Chain Fatty Acid (LCFA)로 가수분해 되며, 가수분해된 기 질은
발효단계에서 해당 박테리아에 의해 Short Chain Fatty Acid (SCFA)로 변환되고, 미량의 CO2, H2 및 Acetic acid 또 한 발효가 진행된다. Acetogenesis 단계는 산생성균에 의하 여 유기산을 메탄 생산 기질로 사용되는 Acetate,
CO2 및 H2 로 전환시키며, 혐기성 소화 공정의 마지막 Methanogenesis 단계에서는 메탄 생성균이 대사활동을 통해 Acetogenesis 단 계에서
생성된 Acetate, CO2 및 H2를 소비하여 최종 에너지 원인 메탄을 생산한다(Jain et al., 2015). 하지만 혐기소화 반 응조 내 슬러지 체류시간, 공정 운영 불안정 등의 현상으로 인해 혐기성 소화 공정의 효율이 저하 될 수 있으므로 효과 적인
슬러지 처리를 위한 가용화 방안을 필요로 한다. 그에 따라 혐기성 소화의 율속 단계로 알려진 가수분해 단계의 촉 진과 공정의 안정성 확보를 위해 열
교환기, 스팀 주입 및 오토클레이브를 이용한 열적가용화, KOH, NaOH, Mg(OH)2 및 Ca(OH)2 등의 약품투입을 통한 화학적 가용화, 유량 펌프 의 압력과 혐기성 소화조 내부 충돌 플레이트 분사를 적용한 물리적 가용화 등의 다양한 선행 연구가
보고되었다(Devlin et al., 2011; Kim et al., 2003; Müller, 2000).
잉여슬러지는 생슬러지에 비해 세포 외 고분자 물질 (Extracellular Polymer Substance)과 양이온에 의해 응집된 미 생물 군의
복잡한 floc 구조의 형태이므로(Eskicioglu et al., 2006) 잉여슬러지의 유기화합물질은 세포 외 고분자 물질 내 70 ~ 80 %의 탄수화물 및 단백질로 존재하고 있다(Nazari et al., 2017). 열적가용화 기술은 이러한 세포벽과 세포의 화학 적 결합을 깨뜨려 세포 외 고분자 물질 내 유기물질의 가용화 에 효율적이며(Kim, 2013), 타 가용화 공정에 비해 초기 시설 비와 약품비, 소모 전력량 등의 운영비 측면에서도 많은 장점 이 존재한다(Namkung et al., 2010). 하지만 열적가용화 중에 서도 고온·고압의 조건은 많은 에너지 소모량과 가용화 장 비의 안정성이 요구되며, 170 °C이상의 온도에서 Maillard
반 응과 Burn sugar 반응에 의한 불용성 물질의 생성과 화학반응 에 의한 NH4+ 등 독성물질의 영향이 발생 할 수 있고, 그로 인하여 고온에서는 혐기성소화 적용시 가스발생량이 감소하 는 것으로 알려져 있다(Bougrier et al., 2008). 이에 따라 독성 물질의 영향이 적은 저온 열적가용화에 대한 연구가 진행되 어졌지만 가용화 온도에 따른 기질의 특성 변화 및 바이오가 스 생산량에
대한 평가 연구가 대부분이므로(Ruiz-Hernando et al., 2014) 잉여슬러지의 농도변화에 따른 저온 열적가용화 의 특성 평가에 대한 많은 연구가 필요한 실정이다.
따라서 본 연구에서는 농도별 잉여슬러지를 대상으로 70, 80, 90 °C 온도와, 최대 120분 조건에서의 저온 열적가용화 를 적용하여 기질의 이화학적
특성 및 혐기성소화 공정에 적 용 시 나타날 수 있는 생분해도를 평가하여 효과 분석을 실 시하였다.
2. Materials and Methods
2.1. 하수슬러지 선정
본 연구에 사용된 잉여슬러지는 경기도 S 하수처리장에서 발생되는 TS 농도 2.34 ~ 2.52 %의 잉여슬러지를 사용하였 다. 현장에서 채수해온
잉여슬러지에 증류수를 주입하여 약 1.5 %로 희석하였다. 희석된 저농도의 잉여슬러지를 Testing Sieve (1 mm)로 협잡물을 제거한 뒤
다시 순차적으로 2 %, 4 %, 6 %로 농축하여 성상변화를 방지하기 위해 4 °C에서 냉 장보관 하였다. 농도 별 잉여슬러지의 이화학적 특성은
<Table 1>에 나타내었다.
Table 1. Characteristics of WAS
|
Parameter
|
Unit
|
WAS 2 %
|
WAS 4 %
|
WAS 6 %
|
|
|
TS
|
g/L
|
20.92
|
39.98
|
58.55
|
|
VS
|
% TS
|
85.53
|
84.80
|
83.75
|
|
TCODCr |
g/L
|
21.95
|
47.95
|
69.90
|
|
SCODCr |
g/L
|
0.32
|
0.35
|
0.45
|
|
TN
|
g/L
|
2.44
|
4.26
|
5.96
|
|
NH4+ |
g/L
|
0.068
|
0.014
|
0.019
|
|
pH
|
-
|
5.48
|
5.78
|
6.34
|
|
Alkalinity
|
mg/L as CaCO3 |
380
|
525
|
650
|
|
Total carbohydrate
|
g/L
|
3.33
|
4.53
|
5.68
|
|
Soluble carbohydrate
|
mg/L
|
14.74
|
26.32
|
34.74
|
|
Total protein
|
g/L
|
0.77
|
2.27
|
2.93
|
|
Soluble protein
|
mg/L
|
94.09
|
80.45
|
162.27
|
2.2. 열적가용화 장치 및 운전조건
다양한 농도의 잉여슬러지를 대상으로 저온 가용화 특성과 Biogas 수율 및 메탄 생산량을 평가하기 위하여 열적가용화 반응기를 사용하였다<Fig.
1>. 가용화에 직접적인 역할을 수 행하는 Batch reactor 하부에 부착되어 있는 교반 임펠러는 기질 주입량에 따라 교반효율의 오차가 발생할
수 있다. 따 라서 각 성상별 잉여슬러지를 동일하게 0.6 L를 주입 후 150 rpm의 교반속도를 유지하였고, 70, 80, 90°C의 조건으로
승 온이 완료된 시점으로부터 120분간 운전하여 가용화를 실시 하였다.
Fig. 1. Thermo pre-treatment reactor
2.3. 성상 분석
2.3.1. 분석방법
열적가용화 슬러지에 F 대한 TS, VS, TCODCr, SCODCr, NH4+, pH 측정은 Standard method (APHA, AWWA, WEF, 2005)에 준하여 분석하였고, Carbohydrate 분석은 Phenol- Sulfuric method (Dubois et al., 1956), Protein 분석은 Lowry method에 준하여 분석하였다(Lowry et al., 1951). 슬러지의 pH는 pH meter (HANNA HI223)를 사용하여 측정하였으며, SCODCr, Soluble Carbohydrate, Soluble Protein, NH4+ 대상으 로한 용존성 물질 분석의 경우 6,000 rpm에서 5분간 원심분 리를 실시한 뒤 상등액을 Diameter 47 mm Glass Microfiber
Filters (Whatman, England) 여과지로 여과하여 고형물을 완 전히 거른 후 이용하였다. BMP test를 통해 발생된 biogas
내 메탄 농도는 Gas Chromatography(GC-TCD)(Agilent 7890A, Agilent Technologies, inc., USA)
및 Column(HP-PLOT/Q)를 통하여 측정하였다. 발생된 biogas는 500 μL Sample Lock Syringe(HA-81256, Hamilton.
inc., USA)를 사용하여 포집·분석하였다. 해당 분석조건은 <Table 2>에 제시하였다.
Table 2. Biogas analysis conditions
|
Part
|
Condition
|
|
CH4 |
|
Detector
|
TCD
|
|
Column
|
HP-PLOT/Q
|
|
Carrier gas
|
He
|
|
Injection
|
250 μL
|
|
Split ratio
|
3 : 1
|
|
Temperature (°C)
|
Injector
|
230 °C
|
|
Detector
|
250 °C
|
|
Oven
|
60°C (30°C/min) → 240°C
|
2.3.2. 가용화율 평가
가용화율(Solubilization)평가는 입자상 유기물이 용존성 물 질로 전환되는 효율을 평가하는 지표이며, 가용화 적용전 초 기 TCODCr 농도에서 초기 SCODCr 농도를 제외한 입자상유 기물(PCODCr)와 가용화 효과로 인해 증가된 SCODCr 농도의 백분율로 나타낸다(Choi et al., 2014). 가용화율 평가는 추가 적으로 Carbohydrate 와 Protein 인자에 대해 진행하였으며, 가용화 효율 평가식 (1)은 선행연구에 사용된 계산 방법을 사용하였다(Salsabil et al., 2010; Val del Rio et al., 2011).
CODS = 가용화 적용 후 SCODCr(g/L)
CODSO = 가용화 적용 전 SCODCr(g/L)
CODPO = 가용화 적용 전 PCODCr(g/L)
2.4. 회분식 BMP test
열적가용화장치를 통하여 조건별로 가용화된 슬러지의 메 탄 생산량을 평가하기 위해 Dwyer et al. (2008), Esposito et al. (2012)의 선행 연구를 참고하여 BMP test를 수행하였다. 식종슬러지로는 I 매립지에서 발생되는 소화슬러지를 사용하 였으며, BMP test 기간 내
발생할 수 있는 소화슬러지의 기저 가스 영향을 최소화하기 위하여 35 °C 항온기에서 일정기간 보관하여 제거하였다. 그 후, 기저가스를 제거한 식종슬러지
를 500 mL Duram bottle에 300 mL를 식종한 뒤, 접종기질인 가용화 전·후의 잉여슬러지를 2 g VS/L를 기준으로 주입하 였다.
또한 0.2 N HCl과 0.2 N NaOH를 이용하여 배양된 각 bottle내 소화액을 pH를 중성조건으로 조정하고, 반응 초기단 계에서 산생성균에
의한 산발효로 발생되는 급격한 pH 저하 를 방지하기 위하여 pH완충 용액인 NaHCO3를 1.2 g/L 주입 하였다. BMP test 식종 완료 시 까지 각 단계에서 따라 bottle 내 혐기조건을 조성하기 위하여 N2를 주입하였다. 최종적으 로 식종이 완료되면 O-ring과 실리콘마개, 플라스틱 캡으로 밀봉하여 35 °C BOD incubator에서 배양하였다.
메탄 생산량 은 10 mL, 50 mL 주사기를 이용하여 측정하였으며, 샘플링 은 가스발생량에 따라 유동적으로 채취하였다.
회분식 BMP test 연구는 식(2)와 같은 동력학적 해석모델 인 Modified Gompertz model 적용을 통하여 혐기성 소화의 효율을 결정하기 위한 중요한 요소인 지체성장시간(λ),
최대 메탄가스 발생량(M0) 및 최대메탄생산 속도(Rm)를 평가할 수 있다. 각 인자는 MS Excel 2013에서 해찾기 프로그램을 이용하여 계산하였다 (Nguyen et al., 2016).
M(t)= 주어진 시간 t (day)에서의 누적 메탄가스 발생량 [m3]
Mo = 최대 메탄 발생량 [m3 CH4/kg VS]
Rm = 최대 메탄 생성속도 [m3 CH4/day]
λ = 초기 지체기 [day]
t = 누적 메탄가스 발생량 M(t)가 측정되는 시간 (day)
3. Results and Discussion
3.1. 가용화슬러지 특성 평가
농도 별 잉여슬러지를 대상으로 가용화를 적용하지 않은 슬러지와 70 ~ 90 °C 범위의 열적처리를 적용한 가용화 슬 러지의 기초성상 분석을 통하여
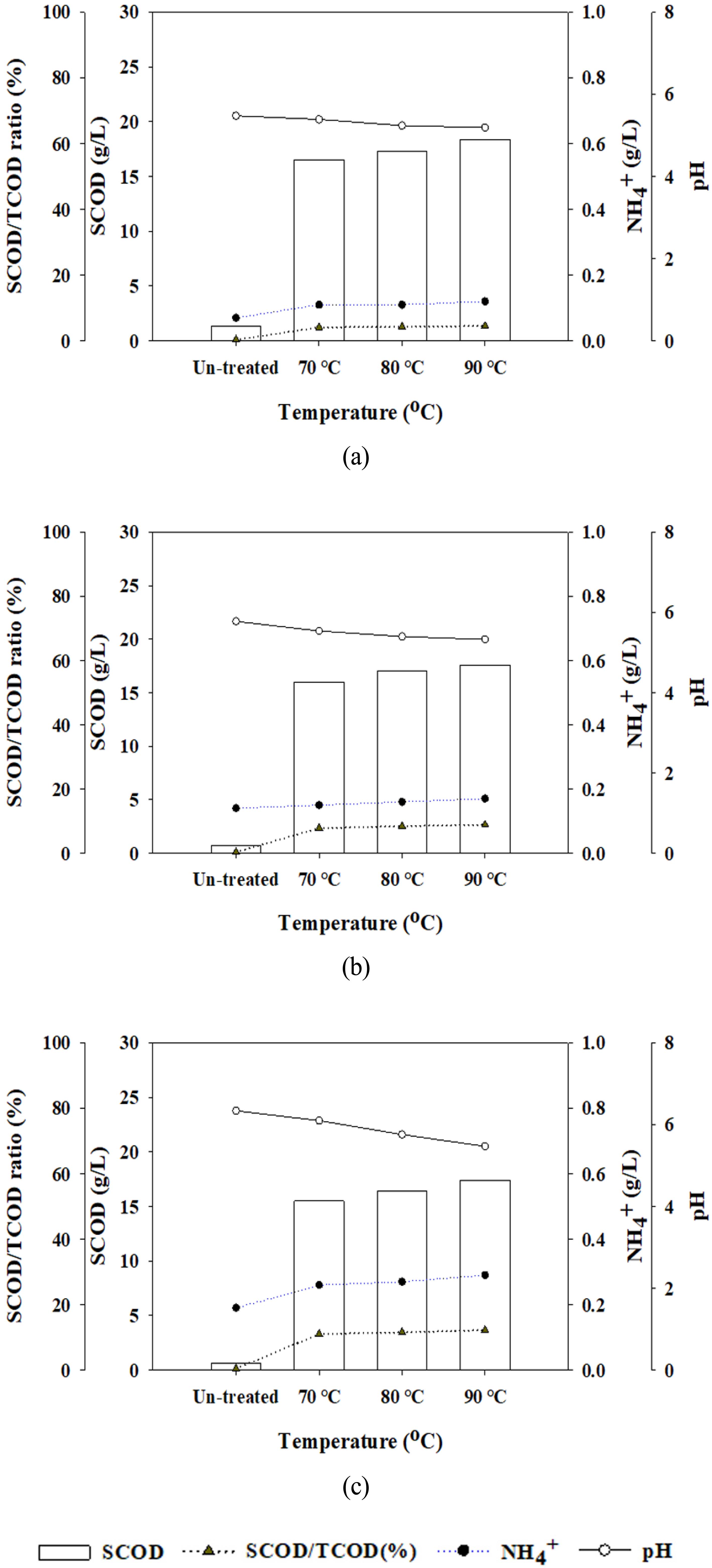
물리·화학적 성상 변화를 평가하였다. TS 농도 2, 4, 6 % 잉여농축슬러지를 대상으로 각 온도별 가용화된 가용화 슬러지의 성상 변화는 <Fig.
2> 에 각각 나타내었다. 가용화 슬러지 내 용존성 물질로 존재 하는 SCODCr 및 NH4+ 농도 분석 결과 각 농도 별 다양한 조 건에서 열적가용화를 수행한 기질 모두에서 가용화 온도 및 시간이 증가함에 따라 증가하는 것으로 관찰되었다.
Fig. 2.
Impact of pre-treatment temperature on characteristics
(a) : TS 2% WAS (b) : TS 4% WAS (c) : TS 6% WAS
용존성 유기물의 농도를 평가한 SCODCr의 경우, 열적가용 화 적용 전 각 농도별 0.32, 0.35, 0.45 g/L에서 90 °C 조건 최대 4.5, 8.68, 12.07 g/L으로
증가하였으며, TCODCr에서 SCODCr이 차지하는 비율 또한 용존성 유기물이 증가함에 따라 각각 18.40, 17.37, 17.27 %를 차지하는 것으로 평가되 었다. 이러한 결과는 Kang et al. (2007)의 100 °C 30 min 조 건에서 평가된 TCODCr/SCODCr 21.96 %값과 유사한 효율 상승치를 나타낸다.
NH4+의 농도 또한 90 °C 조건에서 최대 0.12, 0.17, 0.29 g/L로 나타났으며, NH4+가 T-N에서 차지하는 비율 또한 증 가하는 것으로 나타났다. Sung and Liu (2003) 연구에 의하 면 고농도의 NH4+을 포함하는 기질이 혐기성 소화조 내 투 입되어 소화조 내 NH4+의 농도가 5.77 g/L로 증가하였을 때, 혐기성 미생물 활동 억제로 인하여 메탄 생산량이 최대 64 % 감소했다고 보고되었다. 하지만 170 °C
이하의 온도조건 에서 수행된 열적가용화는 혐기성 소화조 내 NH4+ 축적을 통해 발생할 수 있는 여러 저해인자의 발생을 예방할 수 있 다(Wilson and Novak, 2009). 따라서 본 연구에 적용된 저온 열적가용화 기질을 투입할 경우, 혐기성소화조는 가용화 기 질 내 NH4+ 농도에 대한 영향을 크게 받지 않을 것으로 판 단된다. pH와 Alkalinity 분석결과 TS 2, 4, 6 %의 잉여슬러 지 모두 가용화 온도가
상승함에 따라 pH가 각각 5.48, 5.78, 6.34에서 5.19, 5.33, 5.47으로 감소하였고, Alkalinity 또한 pH 측정값과
비슷한 경향으로 감소하였다.
용존성 물질의 증가 및 pH의 감소는 EPS 내 입자성 유기 물이 열적가용화를 통하여 용존성 유기물로 전환됨에 따라 나타나는 현상이므로(Liao et al., 2016), 저온 열적가용화의 적용으로 가용화 역할을 충분히 수행할 수 있을 것으로 사료 된다.
3.2. 가용화율 평가
농도 별 잉여슬러지의 가용화 온도에 따른 가용화율을 <Fig. 3>에 각각 나타내었다. 온도변화에 따른 가용화율을 평가한 결과, 온도조건이 상승함에 따라 가용화율이 완만하 게 증가하는 경향을 나타냈다. 이러한 결과는
Jeong et al. (2014)이 진행한 120 °C까지의 열적가용화 연구와 유사하다. 또한 잉여슬러지의 TS 농도가 증가할 수록 가용화율이 낮게 관찰되었는데, 이는 농도가 높아질수록
열전달율이 낮아지기 때문인 것으로 판단된다.
Fig. 3.
Impact of pre-treatment condition on solubilization
(a) : TS 2% WAS (b) : TS 4% WAS (c) : TS 6% WAS
탄수화물과 단백질은 유기물질로 구성되어진 화합물로써 잉여슬러지와 같은 세포 구조와 결합되면 혐기성 소화조 내 투입 시 생분해성이 감소되는 특성이 있다.
따라서 잉여슬러 지 열적전처리 공정에서의 탄수화물 및 단백질의 가용화율 평가 또한 가용화공정에서의 효율평가의 지표로 사용될 수 있으므로, 각 인자들에
대한 성상 분석과 가용화율 평가를 실시하여 <Fig. 4>에 나타내었다. <Table 3>
Table 3. Comparative of study on optimization of pretreatment process
Fig. 4.
Impact of pre-treatment condition on carbohydrate and protein.
(a) : TS 2% WAS (b) : TS 4% WAS (c) : TS 6% WAS
각 성상별 잉여슬러지의 탄수화물, 단백질 가용화율 평가 결과 CODCr 가용화율 특성과 유사한 관계를 나타내었다. 잉 여슬러지 내 탄수화물 농도의 경우 각 성상별 최대 0.79, 1.37, 1.62 g/L로 나타났으며,
단백질 농도의 경우 0.81, 1.23, 1.56 g/L로 평가되었다. 각 인자 별 용존성 물질의 농도는 탄 수화물이 단백질의 양에 비해 더 높게
관찰되었지만, 전체적 으로 단백질의 가용화율이 탄수화물의 가용화율보다 높게 나타났다. 이는 130 °C 이하의 가용화온도에서 탄수화물 가 용화율 보다
단백질 가용화율이 높게 평가된 Wilson and Novak (2009)의 선행연구 결과와 유사하다.
3.3. BMP test : Modified Gompertz model 적용 결과
100°C 미만의 저온조건(70, 80, 90 °C)으로 진행한 가용화 전·후의 잉여슬러지를 대상으로 한 BMP 실험 결과를 <Fig. 5>에 나타내었다. 가용화를 수행하지 않은 각 농도별(TS 2, 4, 6 %) 슬러지는 각각 0.149, 0.153, 0.156 m3/kg VSadd로 조 사되었으며, 가용화 온도가 높아짐에 따라 모든 성상에서 메 탄 생산량이 증가하는 경향을 나타내었다. 각 잉여슬러지의 농도에 따른 최대발생량은
가용화 온도 90°C 조건에서 각각 0.194, 0.187, 0.181 m3/kg VSadd로 나타났다. 이는 100°C 이 상의 고온 조건에서는 저온 조건에 비해 혐기성 소화공정의 저해인자로 알려진 NH4+의 농도, 탄수화물 및 단백질의 변 성에 의해 생성되는 난분해성 물질의 영향을 받지 않음과 동 시에 앞서 각 농도별 가용화 온도가 높아짐에 따라 증대된
SCODCr의 농도와 메탄 발생량이 관련 되는 것으로 보인다. Jeong (2016)의 BMP test 연구에 의하면 각 농도별(TS 1, 3, 5, 7 %) 잉여슬러지를 180 °C 이상의 온도조건에서 열적가용 화를 수행할 시,
NH4+의 증가 및 탄수화물, 단백질 내 불용 성물질의 증가로 인하여 갈변반응이 발생하고, 220 °C 온도 조건에서 메탄 생산량이 최대 12, 9, 11,
10 % 감소하였다고 보고하였다. 하지만 본 연구의 가용화슬러지의 상등액은 amino-carbonyl의 반응으로 인한 갈변반응은 나타나지 않았 으며,
이에 따라 불용성 물질로 인한 메탄 생산량의 감소는 발생하지 않았다.
Fig. 5.
BMP test: Cumulative methane production from the modified gompertz model
(a) : TS 2% WAS (b) : TS 4% WAS (c) : TS 6% WAS
Liao et al. (2016)의 연구와 비교하여 볼 때, 60, 70, 80 °C 저온조건에서 30분 동안 가용화한 결과 80 °C 조건에서 최대 24.4 %가 증가한 것으로
나타났지만, 본 연구는 선행연구에 비해 다소 낮은 값을 나타났다. 이는 선행연구와 반대로 Batch test 진행 시 교반을 실시하지 않았기 때문인
것으로 사료되며, 잉여슬러지 농도의 증가에 따라 점도가 상승하므로 열적가용 화 장치 내부의 교반효율이 저하되어 가용화적용 초기에 열전 달을 받는 반응기
내부표면과 잉여슬러지 사이의 열전달이 원 활하게 이루어지지 않았기 때문인 것으로 판단된다. 이때 발 생된 가용화효율의 차이로 인해 각 농도별 가용화
슬러지의 메탄 생산량은 농도가 증가함에 따라 감소하는 것으로 나타났 다. 하지만 전반적으로 가용화를 실시하지 않은 잉여슬러지와 대비하여 각 농도 별
가용화 조건에서 가용화를 실시한 잉여 슬러지의 메탄 생산량이 증대된 것으로 평가되었다.
Modified Gompertz model에 적용한 BMP test 결과를 <Table 4>에 나타냈다. 가용화를 수행전·후 각 농도별(TS 2, 4, 6 %) 슬러지의 최대메탄 생성속도 Rm 0.013 ~ 0.014 m3 CH4/day로 나타났다. 하지만 메탄생성 초기지체기 λ의 경우, TS 2 %에서 전처리를 적용하지 않은 시료의 초기지체기 0.870 day에 비해 가용화
온도가 증가함에 따라 초기 지체기 가 감소하여 90 °C 조건에서 최대 0.145 day까지 감소하는 것 으로 평가되었다. 특히, TS 4 %, 6
% 슬러지의 경우에도 비슷 한 경향을 나타내어 90 °C 조건에서 최대 0.220, 0.351 day로 감소하였다. 이때, 최대메탄 가스발생량 M0는 최대 0.194, 0.187, 0.182 m3 CH4/kg VS로 증가하였다. 이러한 결과는 전 처리 온도에 따른 슬러지의 가용화 효과로 인한 가수분해 단 계의 촉진에 의한 것으로 판단된다.
Table 4. Summary of fitted results methane yields following the modified gompertzmodel
|
Samlple
|
Methane production potential, M0 [m3 CH4/kg VS]
|
Maximum methane production rate, Rm [m3 CH4/day]
|
Lag phase time, λ [day]
|
|
TS (%)
|
Thermal pre-treatment (°C)
|
|
2
|
Contorl
|
0.149
|
0.013
|
0.870
|
|
70
|
0.163
|
0.014
|
0.736
|
|
80
|
0.179
|
0.013
|
0.409
|
|
90
|
0.194
|
0.013
|
0.145
|
|
4
|
Contorl
|
0.153
|
0.014
|
0.908
|
|
70
|
0.171
|
0.013
|
0.730
|
|
80
|
0.179
|
0.013
|
0.409
|
|
90
|
0.187
|
0.014
|
0.220
|
|
6
|
Contorl
|
0.156
|
0.013
|
0.823
|
|
70
|
0.174
|
0.013
|
0.710
|
|
80
|
0.178
|
0.014
|
0.491
|
|
90
|
0.182
|
0.014
|
0.351
|
4. Conclusion
-
저온가용화 전·후 잉여슬러지의 이화학적 특성평가 결 과, 열적가용화 온도의 상승에 따라 용존성 물질로 존재 하는 SCODCr, Soluble Carbohydrate, Soluble Protein 농 도가 증가하는 것으로 나타났다.
-
각 농도 별 CODCr 가용화율은 온도조건이 상승함에 따 라 완만하게 증가하여 최대 17.69, 17.50, 16.73 %로 각 각 평가되었다.
-
BMP tset 결과 최대 메탄 발생량은 각 농도 별 90 °C 열적가용화 조건에서 0.194, 0.187, 0.181 m3/kg VSadd로 나타나, 모든 농도에서 메탄 생산량이 증가함을 확인하 였다.
-
BMP test 의 Modified Gompertz model 적용 결과, 가용 화를 수행전·후 각 농도별(TS 2, 4, 6 %) 슬러지의 메 탄생성
초기지체기 λ의 경우는 90 °C 조건에서 0.145, 0.220, 0.351 day 까지 감소하는 것으로 나타났으며, 최 대메탄 가스발생량 M0는 최대 0.194, 0.187, 0.182 m3 CH4/kg VS 로 증가하는 경향을 나타났다.
-
고온 조건에서의 열적가용화는 난분해성 물질 및 저해 인자로 작용할 수 있는 물질이 발생으로 인해 메탄발생 량이 감소하지만, 슬러지 내 난분해성 물질
및 저해인자 로 작용할 수 있는 물질이 생성되지 않는 저온 조건에 서의 열적가용화의 경우, 잉여슬러지의 혐기성소화 공 정의 적용성이 높은 것으로 판단된다.
Acknowledgement
본 연구는 2019년 경기대학교 대학원 연구원장학생 장학 금 지원에 의하여 수행되었음.
(This work was supported by Kyonggi University’s Graduate Research Assistantship 2019).
References
American Public Health Association, American Water Works Association and Water Environment
Federation (APHA, AWWA, WEF), 2005, Standard methods for the examination of water
& wastewater, Health association
Appels L, Baeyens J, Degrève J, Dewil R, 2008, Principles and potential of the anaerobic
digestion of waste-activated sludge, Progress in Energy and Combustion Science, Vol.
34, No. 6, pp. 755-781

Bougrier C, Albasi C, Delgenes J. P, Carrère H, 2006, Effect of ultrasonic, thermal
and ozone pre-treatments on waste activated sludge solubilisation and anaerobic biodegradability,
Chemical Engineering and Processing: Process Intensification, Vol. 45, No. 8, pp.
711-718

Bougrier C, Carrère H, Delgenes J. P, 2005, Solubilisation of waste-activated sludge
by ultrasonic treatment, Chemical Engineering Journal, Vol. 106, No. 2, pp. 163-169

Bougrier C, Delgenès P J, Carrère H, 2008, Effects of thermal treatments on five different
waste activated sludge samples solubilisation, Physical properties and anaerobic digestion,
Chemical Engineering Journal, Vol. 139, No. 2, pp. 236-244

Chang C. J, Tyagi V. K, Lo S. L, 2011, Effects of microwave and alkali induced pretreatment
on sludge solubilization and subsequent aerobic digestion, Bioresource Technology,
Vol. 102, No. 17, pp. 7633-7640

Choi J. S, Kim H. G, Joo H. J, 2014, Solid Reduction and Methane Production of Food
Waste Leachate using Thermal Solubilization, [Korean Literature], Journal of Korean
Society on Water Environment, Vol. 30, No. 5, pp. 559-567

Devlin C. D, Esteves R. R. S, Dinsdale M. R, Guwy J. A, 2011, The effect of acid pretreatment
on the anaerobic digestion and dewatering of waste activated sludge, Bioresource Technology,
Vol. 102, No. 5, pp. 4076-4082

Dubois M, Gilles A. K, Hamilton K. J, Rebers A. P, Smith F, 1956, Colorimetric method
for determination of sugars and related substances, Analytical Chemistry, Vol. 28,
No. 3, pp. 350-356

Dwyer J, Starrenburg D, Tait S, Barr K, Batstone D. J, Lant P, 2008, Decreasing activated
sludge thermal hydrolysis temperature reduces product colour, without decreasing degradability,
Water research, Vol. 42, No. 18, pp. 4699-4709

Eskicioglu C, Kennedy J. K, Droste L. R, 2006, Characterization of soluble organic
matter of waste activated sludge before and after thermal pretreatment, Water Research,
Vol. 40, No. 20, pp. 3725-3736

Esposito G, Frunzo L, Liotta1 F, Panico A, Pirozzi F, 2012, Bio-methane potential
tests to measure the biogas production from the digestion and co-digestion of complex
organic substrates, The Open Environmental Engineering Journal, Vol. 5, pp. 5-8

Jain S, Jain S, Wolf T. I, Lee J, Tonga W. Y, 2015, A comprehensive review on operating
parameters and different pretreatment methodologies for anaerobic digestion of municipal
solid waste, Renewable and Sustainable Energy Reviews, Vol. 52, pp. 142-154

Jeong S. Y, 2016, [Korean Literature], A study on thermal pretreatment of the wastewater
sludge to improve anaerobic digestion efficiency: performance, energy balance and
economical assessment, Ph. D. Dissertation, Kyonggi University, pp. 55-57
Jeong S. Y, Jung S. Y, Chang S. W, 2014, Enhancement of anaerobic biodegradabilityand
solubilization by thermal pre-treatment of waste activated sludge, [Korean Literature],
New & Renewable Energy, Vol. 10, No. 1, pp. 20-29

Kang H, Jeong J. H, Kim J. Y, Moon Y. T, Seo I. S, 2007, Degree of solubilization
of wasted activated sludge treated by several pretreatment methods, [Korean Literature],
Environmental Engineering Research, Vol. 2007, No. 12, pp. 1370-1376

Kang H, Oh B. Y, Shin K. S, 2015, Anaerobic treatment of leachjate solubilized from
themal hydrolysis of sludge cake, [Korean Literature], Journal of Korean Society of
Environmental Engineers, Vol. 37, No. 10, pp. 583-589

Kim D. J, 2013, Pre-treatment technology of wastewater sludge for enhanced biogas
production in anaerobic digestion, [Korean Literature], Clean Technology, Vol. 19,
No. 4, pp. 355-369

Kim J. S, Park C. W, Kim T. H, Lee M. G, Kim S. Y, Kim S. W, Lee J. W, 2003, Effects
of various pretreatments for enhanced anaerobic digestion with waste activated sludge,
Journal of Bioscience and Bio engineering, Vol. 95, No. 3, pp. 271-275

Liao X, Li H, Zhang Y, Liu C, Chen Q, 2016, Accelerated high-solids anaerobic digestion
of sewage sludge using low-temperature thermal pretreatment, International Biodeterioration
& Biodegradation, Vol. 106, pp. 141-149

Lowry H. O, Rosebrough J. N, Farr L. A, Randall J. R, 1951, Protein measurement with
the folin phenol reagent, Journal of Biological Chemistry, Vol. 193, pp. 265-275

Ministry of Environment (ME), 2016, 2015 Organic Waste Resource Energy Facilities,
Ministry of Environment, Department of Waste Resources and Energy, pp. 1-7
Müller J A, 2000, Pretreatment processes for the recycling and reuse of sewage sludge,
Water Science and Technology, Vol. 42, No. 9, pp. 167-174

Namkung K. C, Jeon H. O, 2010, Pretreatment of waste activated sludge for enhancement
of methane production, [Korean Literature], The Korean Society for Applied Microbiology
and Biotechnologyl, Vol. 38, No. 4, pp. 362-372

Nazari L, Yuan Z, Santoro D, Sarathy S, Ho D, Batstone D, Xu C. C, Ray B. M, 2017,
Low-temperature thermal pre-treatment of municipal wastewater sludge: Process optimization
and effects on solubilization and anaerobic degradation, Water Research, Vol. 113,
pp. 111-123

Nguyen D. D, Chang S. W, Jeong S. Y, Jeung J. H, Kim S. S, Guo W, Ngo H. H, 2016,
Dry thermophilic semi-continuous anaerobic digestion of food waste: Performance evaluation,
modified Gompertz model analysis, and energy balance, Energy Conversion and Management,
Vol. 128, No. 15, pp. 203-210

Ruiz-Hernando M, Martín-Díaz J, Labanda J, Mata-Alvarez J, Llorens J, Lucena F, Astals
S, 2014, Effect of ultrasound, low-temperature thermal and alkali pre-treatments on
waste activated sludge rheology, hygienization and methane potential, Water Research,
Vol. 61, pp. 119-129

Salsabil R. M, Laurent J, Casellas M, Dagot C, 2010, Techno-economic evaluation of
thermal treatment, ozonation and sonication for the reduction of wastewater biomass
volume before aerobic or anaerobic digestion, Journal of Hazardous Materials, Vol.
174, No. 1-3, pp. 323-333

Sung S. H, Liu T, 2003, Ammonia inhibition on thermophilic anaerobic digestion, Chemosphere,
Vol. 53, No. 1, pp. 43-52

Tyagi V. K, Lo S. L, 2013, Sludge A waste or renewable source for energy and resources
recovery, Renewable and Sustainable Energy Review, Vol. 25, No. C, pp. 708-728

Val del Río A, Morales N, Isanta E, Mosquera Corral J, Campos L, Steyer P. J, Carrère
H, 2011, Thermal pre-treatment of aerobic granular sludge: Impact on anaerobic biodegradability,
Water Research, Vol. 45, No. 18, pp. 6011-6020

Wilson C. A, Novak J. T, 2009, Hydrolysis of macromolecular components of primary
and secondary wastewater sludge by thermal hydrolytic pretreat ment, Water Research,
Vol. 43, No. 18, pp. 4489-4498
