The Journal of
the Korean Society on Water Environment

The Journal of
the Korean Society on Water Environment

Bimonthly
  • ISSN : 2289-0971 (Print)
  • ISSN : 2289-098X (Online)
  • KCI Accredited Journal

Editorial Office


  1. GS건설 건축환경연구팀, (Building Science Research Team, GS E&C Research institute)
  2. 고려대학교 건축사회환경공학과 (Department of Civil, Environmental and Architectural Engineering, Korea University Graduate School)



Anaerobic digestion, Biogas, Food wastes, Mesophilic, Thermophilic

1. Introduction

음식물류폐기물은 식품의 생산, 유통, 가공, 조리과정 등에 서 발생하는 농-수-축산물 쓰레기와 남겨져 버리는 음식물로 서, 우리나라에서 배출되는 음식물쓰레기는 연간 약 500만톤 에 달하며, 이는 전체 쓰레기 발생량의 28 % 이상을 차지하 고 있다. 특히, 음식물류폐기물의 처리를 위해서 매년 9,000 억원의 처리비용이 발생하고 있으며, 온실가스 배출 및 악취 발생, 환경오염 유발 등의 문제를 야기 시키고 있다.

음폐수는 음식물류폐기물을 처리하는 과정에서 발생되는 고농도 유기물질로써, 음식물류폐기물의 사료화 및 퇴비화와 같은 재활용 과정에서 세척수와 음식물 자체의 수분이 탈리 되어 발생한다. 우리나라의 일일 음폐수 발생량은 9,300 여 톤에 달하며, 연간 발생량은 340만톤에 육박한다. 2013년 해 양투기 금지조약에 따라서, 기존에 해양투기 되던 약 40 %의 음폐수를 육상처리 해야 하는 상황에서 폐수처리장 및 하수 처리장과의 연계 처리 시, 과부하로 인한 문제들이 발생하고 있다. 이러한 육상처리의 연계처리 방법에서 과부하를 최소 화하기 위하여 고농도 유기성 폐기물인 음폐수의 혐기소화 처리가 중요한 대안이 되고 있다 (Kim et al., 2014; Lee et al., 2009). 또한 국내 음식물류폐기물의 성상 특징으로써 많 은 양의 수분(일반적인 수분함량 80 % 이상)을 포함하고 있 기 때문에 액상성분이 많은 부분을 차지하고 있으며, 이러한 액상성분의 음식물류폐기물을 효과적으로 처리하기 위하여, 최근 들어서는 국내 음식물의 고형물과 액상물을 분리하여 혐기소화하는 연구가 활발히 진행되고 있으며, 실규모 플랜 트의 운전도 진행되고 있다. 이러한 음식물류폐기물 및 음폐 수는 단백질, 지방, 탄수화물 등 고농도 유기물을 포함하고 있어 혐기소화공법을 통한 바이오가스 생산에 적합하다 (Bong et al., 2018; Xu et al., 2018; Zhang et al., 2007).

혐기소화공법은 미생물에 의해서 유기물의 분해 및 메탄생 성의 3단계(가수분해-산생성-메탄생성) 과정이 이루어지며, 많은 연구자들에 의해서 다양한 방법으로 효율을 향상시키기 위한 연구가 진행되었다. 가수분해와 산생성단계를 담당하는 박테리아와 메탄생성단계를 담당하는 메탄생성균의 역할이 각기 다른 반응기에서 나타나도록 하는 이상 소화 연구와 이 들의 반응이 하나의 반응기에서 나타나도록 하는 단상 소화 연구는 다양한 운전 조건(체류시간, pH, 부하율 등)들의 결합 을 통하여 지속적으로 연구가 진행되는 부분이다 (Shen et al., 2013; Shin et al., 2010). CSTR(Continuous Stirred Tank Reactor), UASB(Upflow Anaerobic Sludge Blancket), plug flow reactor 및 단상, 이상소화법과 같은 다양한 반응기 형태 와 운전방법의 연구 또한 오랜 시간 많은 연구자들에 의해서 기질 성상에 따라 최적의 소화효율을 도출하기 위해서 연구 되어왔다(Divya et al., 2015; Jo et al., 2018; Nagao et al., 2012; Shin et al., 2001). 철, 코발트와 같은 미네랄 원소의 경 우는 혐기성 미생물의 효소합성을 촉진시키고 반응속도를 향 상시킴으로써 혐기성소화공정의 안정화에 기여하는 연구결 과가 보고되었고 실제 플랜트에서도 적용하고 있다(Banks et al., 2012; Wei et al., 2014; Zhang et al., 2011). 최근에는 Bio-augmentation이라는 미생물 첨가법이 활발히 연구되고 있는데, rumen fluid에 포함된 미생물 또는 cellulose나 lignin 등을 분해하는 미생물들을 배양하여 혐기성소화조에 투입시 킴으로써 난분해성 물질로 알려진 cellulose나 lignin 등의 분 해효율을 높이는 결과들이 보고되고 있다(Hu and Yu, 2006; Peng et al., 2014; Yue et al., 2013).

반응기 형태, 미량원소 및 외부 미생물의 첨가와 같은 물리 적, 화학적, 생물학적인 방법 외에 pH와 온도를 변화시켜 최 적 소화조건을 도출하는 연구는 혐기성소화로 처리하고자 하 는 기질 별, 성상 별로 꾸준히 연구가 되어 왔으며 앞으로도 지속적으로 연구가 되어야 하는 부분이다. 특히, 혐기성 미생 물에 의해 이루어지는 혐기소화공정은 미생물이 활동할 수 있는 최적 온도조건을 유지시켜 줌으로써 안정적으로 운전이 가능하다. 기존의 많은 연구에서 중온, 고온으로 소화조의 온 도를 변화시키면서 다양한 기질과 소화조 type들에서 혐기소 화 효율을 향상시키기 위한 비교연구가 진행되어왔다 (Choi et al., 2014; Cirne et al., 2006; Kim et al., 2006). 그리고 연 구에 사용되는 대부분의 식종 미생물은 유사한 성상의 기질 을 비슷한 온도에서 운전하고 있는 인근 소화조의 슬러지를 이용하는 경우가 일반적이다. 하지만 기질성상과 온도조건이 동일한 혐기성소화조의 슬러지를 채취하는 것은 여의치 않은 상황이 많다. 식종 미생물을 기존에 처리하고 있는 기질과 다 른 성상의 기질에 적용하는 경우 그리고 다른 온도에서 운전 할 경우, 소화효율을 예측하기는 쉽지 않다. 이에 본 연구에 서는 하수처리장의 중온 소화슬러지를 채취하여 식종 미생물 로 적용함으로써, 음식물류폐기물을 기질로 하는 다양한 온 도조건에서의 혐기성소화의 효율에 대한 연구를 수행하였다.

2. Materials and Methods

2.1. 음식물 액상 성분의 온도별 소화효율 연구

본 연구는 인근 대형식당에서 배출되는 음식물의 액상성분 을 기질로 사용하였고, 대구 S 하수처리장 혐기소화조 슬러 지를 식종으로 사용하였다. 기질로 사용한 음식물 액상성분 은 음식물쓰레기 보관조에서 자연적으로 추출되는 액상성분 을 포집하여 사용하였다. 식종 슬러지의 초기 접종은 50 % (v/v)로 하였고, pH는 조절하지 않았으며, 각 단상 반응조의 온도는 반응조별로 35 °C, 45 °C, 55 °C로 온도를 다르게 하 여 유지시켜 주었다. 반응조의 Working volume은 6.0L로 운 전하였으며, 교반은 약 80~100rpm으로 교반하였다. 약 5개 월 기간 동안 운전하였으며, 기질 부하는 0.8 gVS/L.d에서 시작하여, 1.6, 2.4, 3.2, 4.0 gVS/L.d까지 단계별로 증가시켜 실험하였다.

Total Solid(TS), Volatile Solid(VS), Fixed Solid(FS), Chemical Oxygen Demand(COD), Soluble Chemical Oxygen Demand(SCOD)를 측정하였고, 바이오가스 발생량 및 가스 구성성분을 측정하여 메탄발생량을 파악하였다. 알칼리도와 암모니아, pH와 온도를 지속적으로 모니터링 하였으며, 기질 부하율은 각각 세 온도조건에서 동시에 증가시켜 주었다. 측 정항목 별 분석의 경우, 생산된 바이오가스의 성분 중, CH4, CO2, H2S, O2의 함량은 Geotech社의 GA5000 portable gas analyser를 이용하여 측정하였고, TS, VS, 및 FS 값과 COD, SCOD의 농도는 Standard Methods에 있는 방법으로 측정하 였다(APHA, 2012). NH4+, NO2-, NO3-, PO4-는 Ion chromatography를 이용하여 측정하였다.

2.2. 음식물의 온도별 소화효율 연구

음식물 액상 성분을 채취한 곳과 같은 대형식당에서 배출 되는 음식물을 기질로 사용하였고, 대구 S 하수처리장 혐기 소화조 슬러지를 식종으로 사용하였다. 기질로 사용한 음식 물은 파쇄기와 분쇄기를 이용하여 파쇄/분쇄 하였으며, 말통 에 넣어 냉동고에 보관하여 필요할 때 사용하였다. 식종 슬 러지의 초기 접종은 50 %(v/v)로 하였고, pH는 조절하지 않 았으며, 동일한 두 개의 반응기를 35 °C, 55 °C로 온도를 다 르게 하여 구성하였다. 두 반응조 모두 단상 반응조로 운전 하였으며, 반응조의 Working volume은 10 L, 교반조건은 약 20~30 rpm으로 교반하였다. 약 7개월의 기간 동안 운전하였 으며, 기질 부하는 1.3 gVS/L.d에서 시작하여, 2.6, 3.8, 5.1, 6.4, 7.2 gVS/L.d까지 단계별로 증가시켜 실험하였으며, 수리 학적 체류시간은 약 30일로 운전하였다. 측정항목과 분석방 법은 음식물 액상 성분의 온도별 소화효율 연구의 내용과 같 다. 표 1에서 볼 수 있는 대표적인 기질 성상분석은 3번 반 복 실험하였으며, 음식물의 성상분석 항목중에서 COD와 SCOD는 정확한 측정이 불가능하여 포함하지 않았다.

Table 1. Characteristics of two substrates (food waste, liquid component of food waste)
Item Food waste Liquid component of food waste
TS (g/L) 186~200 55~62
VS (g/L) 173~184 48~52
VS/TS (%) 91~93 81~88
COD (g/L) - 51~58
SCOD (g/L) - 37~39
T-P (mg/L) 200~500 150~250
T-N (mg/L) 400~600 200~300

3. Results and Discussion

3.1. 음식물 액상 성분의 온도별 소화효율 연구

음식물 액상 성분을 기질로 하여, 35 °C, 45 °C, 55 °C의 3 가지 서로 다른 온도를 유지시켜 준 단상 반응기에서 150 여 일 동안, 온도별 소화효율을 살펴보았다. 일반적으로 혐기성 소화 공정을 운전하는 경우, 온도는 35 °C 중온 조건과 55 °C 고온 조건에서 수행하는 것이 보통이다. 45 °C로 운전하 는 것이 보편적인 온도 조건은 아니지만, 55 °C 조건보다 소 화조 가온에 필요한 에너지를 줄일 수 있으며, 35 °C 조건보 다 높은 온도로써 기질 이용률이 좋을 것이라는 가정에서 본 연구에서는 45 °C에서도 소화효율을 살펴보는 것이 의미 있 을 것으로 판단하여 운전을 수행하였고, 중온과 고온 사이의 온도 조건으로써 임의로 중고온이라 명명하였다.

그림 2에서는 부하율의 변화에 따라서 바이오가스 발생량 을 살펴볼 수 있다. 그림 1의 (a)와 (b) 두 그림의 범례와 같 이 그림 2에서 55, 45, 35는 해당 온도에서 운전되는 혐기성 소화조의 온도의 단위를 생략하여 간단히 숫자로만 나타낸 것이다. 기질이 제거되는 양에 따라서 발생되는 바이오가스 의 양을 측정한 결과인데, 3.2 kgVS/m3.d의 기질부하 조건에 서 45 °C로 운전중인 혐기성소화 반응조는 더 이상 가스가 발생되지 않았으며, 4.0 kgVS/m3.d의 기질부하 조건에서 35 °C로 운전중인 혐기성소화 반응조는 가스발생량이 점차 감 소화는 것을 볼 수 있다. 반면에 55 °C로 운전중인 혐기성소 화조는 안정적인 가스발생량을 보여주고 있다. 각 온도 별 반응기의 working volume은 6.0L로 동일하며, 기질 부하는 0.8, 1.6, 2.4, 3.2, 4.0 gVS/L.d까지 단계별로 증가시켜 주었 고 이때 투입된 기질량은 100, 200, 300, 400, 500ml 이었다. 동일한 기질 투입량을 동일한 6.0L의 working volume에 투 입시킴으로서 Hydraulic Retention Time(HRT)은 기질 투입 량이 증가하는 순서에 따라서 각 온도 별 반응기에서 동일하 게 60, 30, 20, 14, 12일로 운영되었다. 세 개의 서로 다른 온 도에서 같은 부하율에서는 같은 HRT를 갖게 되며, 부하율이 높을수록 기질투입량이 많아져 HRT가 짧아지게 된다. 위의 표 2에서 볼 수 있듯이 45 °C에서는 2.4 kgVS/m3.d의 부하율 까지 안정적으로 소화조가 운전되었으며, 이때의 HRT는 20 일이었다. 반면에 35 °C에서는 3.2 kgVS/m3.d의 부하율까지, 그리고 55 °C에서는 4.0 kgVS/m3.d의 부하율까지 안정적으 로 소화조가 운전되었다. 그림 2를 보면, 3.2 kgVS/m3.d의 부하율에서 45 °C의 반응기의 바이오가스 생산량이 급감하 는 것을 볼 수 있다. 이것은 산축적으로 pH가 감소하여 바이 오가스 생산에 영향을 준 것으로 파악된다. 세 반응기 모두 2.4 kgVS/m3.d의 부하율에서는 pH가 7.3~7.5로 유지되었으 며, 3.2 kgVS/m3.d로 부하율을 증가시킨 후에는 다른 두 반 응기는 같은 pH범위를 유지하였으나, 45 °C로 운전되는 반 응기의 경우, 증가한 부하율로 기질을 투입한지 약 9일 후부 터 pH가 감소하기 시작하여 16일 후부터는 pH가 5.3까지 감 소하였으며, 바이오가스 생산도 pH감소와 같은 패턴으로 감 소하다가 중단되었다.

Table 2. The results of anaerobic digestion treating liquid component of food waste
Item Liquid component of food waste (TS 5.5~6.2 %, VS 4.8~5.2 %)
Temperature 35 °C 45 °C 55 °C
Organic loading rate (kgVS/m3.d) ~3.2 ~2.4 ~4.0
Hydraulic retention time (day) 15 20 12
Alkalinity (g/L) 5.7~6.3 5.5~6.2 6.4~6.6
NH4+(g/L) 1.2~1.4 1.5~1.6 1.4~1.6
Methane gas content (%) 59~63 59~61 60~62
VS reduction rate % 75~78 73 78~81
Biogas production rate (m3/kgVSrem.) 0.9~1.0 0.9 0.9~1.0
pH 7.1~7.4 7.2~7.5 7.1~7.5
Fig. 2. Methane production of anaerobic digestion treating liquid component of food waste
../../Resources/kswe/KSWE.2019.35.4.332/JKSWE-35-332_F2.jpg

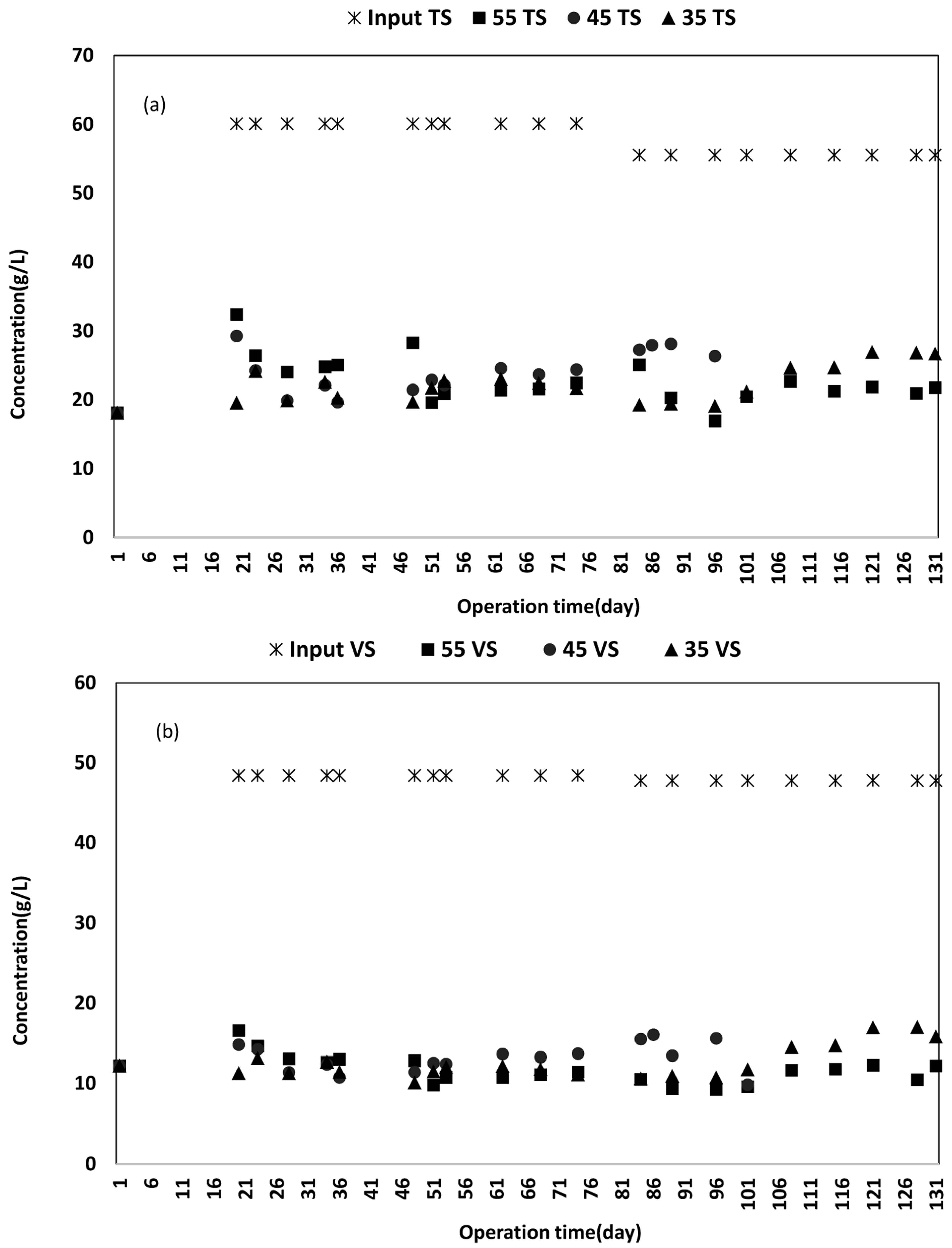
아래 표 2를 보면, 35 °C와 55 °C 조건에서는 안정적으로 처리할 수 있는 한계 유기물 부하율이 45 °C 조건의 2.4 kgVS/m3.d에 비해서 각각 3.2 kgVS/m3.d과 4.0 kgVS/m3.d 까지 높은 부하율을 처리할 수 있었으며, 유기물 제거율 역 시 45 °C 조건의 73 %에 비해서 각각 75 % 이상, 78 % 이상 의 높은 유기물 제거율을 보여주었다(그림 1 참고). 혐기성 소화에서 반응기 용적당 투입되는 유기물의 양을 유기물 부 하율로 정의할 수 있으며, 모든 소화공정에는 안정적인 소화 효율을 나타낼 수 있는 유기물 부하율의 범위가 존재한다. 예를 들어, 본 연구 결과의 표2에서 45 °C 조건에서는 2.4 kgVS/m3.d가 안정적인 소화효율을 갖는 한계범위의 유기물 부하율이 된다. 물론 2.4 kgVS/m3.d와 3.2 kgVS/m3.d 사이에 보다 세밀하게 한계범위를 정할 수 있겠지만, 본 실험에서의 안정적 소화효율은 유기물 부하율 2.4 kgVS/m3.d까지 측정 되었으며, 이 값을 한계 유기물 부하율로 정하였다. 본 연구 의 35 °C와 55 °C에서 도출된 한계 유기물 부하율도 같은 방 법으로 실험적으로 도출된 값이다.

Fig. 1. Reduction profiles of anaerobic digestion treating liquid component of food waste. (a) TS, (b) VS
../../Resources/kswe/KSWE.2019.35.4.332/JKSWE-35-332_F1.jpg

체류시간도 45 °C 조건에서는 기질부하율이 2.4 kgVS/m3.d 일 때, 20일 조건에서 운전이 이루어졌지만, 35 °C 조건에서 는 3.2 kgVS/m3.d의 기질부하 조건에서 15일로 운전이 가능 하였고, 55 °C 조건에서는 4.0 kgVS/m3.d의 기질부하 조건에 서 12일로 운전이 가능하였다. 기질부하, 유기물 감량, 체류시 간 및 가스발생량을 모니터링한 결과, 55 °C > 35 °C > 45 °C 순으로 소화효율이 높은 것을 알 수 있었다.

이러한 결과는 미생물의 활성과 기질 이용에 관한 두 가지 원인으로 연계 해석할 수 있다. 우선 첫 번째로 혐기성 미생물 의 활성조건과 연계 해석할 수 있다. 즉, 45 °C의 중고온 조건 은 35 °C의 중온조건 및 55 °C의 고온조건보다 소화효율이 낮 은 것으로 나타났는데 이것은 식종으로 사용한 혐기소화 슬러 지에 포함된 미생물 군집의 대부분이 중온 또는 고온 조건에 서 최적 활성을 보이기 때문으로 판단된다(Kim et al., 2010). 중온 또는 고온에서 최적 활성을 보이는 혐기성 미생물 군집 은 부하율이 낮을 때는 중고온 조건에서도 적절한 소화효율을 보여주지만, 부하율이 높을 때의 중고온 조건에서는 중온 또 는 고온 조건에 적합한 미생물 군집의 활성이 감소되는 것으 로 생각되며, 이것이 소화효율 저하의 원인으로 연계 해석할 수 있다. 식종으로 사용한 혐기성소화 슬러지의 미생물 분석 결과는 첫 번째 이유에 대한 보다 구체적인 이유가 될 수 있다. 식종 슬러지는 자동 DNA 추출기를 사용하여 genomic DNA 를 추출하였고, colony 분석을 통하여 식종 슬러지에 존재하는 미생물들을 종 수준으로 정성분석 하였다. NCBI 16S rRNA sequence database를 이용하여 가장 가까운 염기서열을 갖는 미생물 종을 BLAST search를 통하여 정리하였다. 그 결과 총 32개의 colony들 중에서 uncultured archaeon을 제외하고, Methanosaeta concilii, Methanomassiliicoccus luminyensis, Methanosaeta harundinacea, 그리고 Defluviitoga tunisiensis의 4개 혐기성 미생물이 정성분석 결과 식종 슬러지에서 발견되 는 미생물 군집과 염기서열이 가장 유사한 미생물 종으로 확 인되었다. 4가지 미생물들의 최적 온도를 살펴보면, 37 °C~65°C에서 생장하는 고온 미생물인 Defluviitoga tunisiensis(55°C에서 최적 생장)를 제외하고 다른 3종의 미생물들은 35 °C내외의 온도에서 최적 성장을 나타내는 중온 미생물들이었다. 정량분석 결과가 없어, 정확한 우점 미생물 군집에 대한 파악 과 비교는 어렵지만 정성분석 결과에서 볼 수 있듯이 중온 혐 기성미생물이 대부분을 차지하고 있다. 따라서 식종 미생물의 분석결과 만으로 소화효율을 예측하면 35 °C > 55 °C > 45 °C 의 조건 순으로 소화효율이 결정될 것이다. 그러나 미생물 분 포이외에 다른 원인을 제시함으로써 본 연구결과를 설명할 수 있다.

두 번째로, 기질 이용의 용이성과 관련된 원인을 고려할 수 있다. 55 °C의 고온조건에서 기질의 상태변화가 유발되어 혐기성 미생물들이 더 이용하기 유리한 조건의 기질상태가 되었을 것이다. 비록 기질은 음식물 액상의 성분이지만 표 1 의 액상성분 측정항목에서 COD와 SCOD 값을 비교할 때, 전체 COD 중에서 SCOD가 차지하는 부분은 약 70 % 내외 로 측정된다. 따라서 나머지 30 % 정도는 액상성분에 포함된 부유물질로 판단할 수 있고, 이 부유물질들이 고온조건에서 상태의 변화가 일어나 고온 혐기성 미생물들이 이용하기에 유리한 기질형태로 바뀌었을 것으로 생각된다. 특히, 높은 부하율로 운전하는 혐기성소화의 경우, 고온조건에서의 혐기 성소화 효율이 중온조건에서의 효율보다 높은 것은 다른 연 구자들의 유사한 보고로 근거를 뒷받침 할 수 있다(Labatut et al., 2014; Vindis et al., 2009).

3.2. 음식물의 온도별 소화효율 연구

3은 음식물을 중온과 고온의 온도에서 단상 조건으로 혐기성소화 하였을 때의 소화효율을 보여주고 있다. 음식물 을 기질로 사용하는 본 연구는 음식물 액상성분을 기질로 하 는 연구결과, 45 °C의 조건에서 가장 효율이 낮게 측정되었 기 때문에 35 °C와 55 °C의 두 온도 조건에서만 30일의 체류 시간으로 운전되었다. 우선 온도별 소화효율을 살펴보면, 앞 선 음식물 액상의 실험결과와 같이 중온보다는 고온에서의 가스발생량이 약 10 % 정도 높게 나타났다. 데이터를 보면, 35 °C 조건일 때, 5.1 kgVS/m3.d의 부하율에서 약 80 % 정도 의 유기물 분해율을 보이며, 55 °C 조건일 때, 6.4 kgVS/m3.d 부하율에서 역시 80 % 정도의 유기물 분해율을 보이는 것으 로 나타났다. 이렇게 35 °C 조건일 때 5.1 kgVS/m3.d, 55 °C 조건일 때 6.4 kgVS/m3.d 부하율이 실험결과, 각각의 한계 부하율로 도출되었으며 고온조건에서 가스발생량이 높게 나 타났다. 바이오가스 성분 중 메탄가스가 차지하는 함량은 중 온과 고온에서 60 % 수준으로 비슷하게 나타났으며, 고온조 건의 pH가 중온조건보다 약간 높게 유지되었다. 그림 3.

Table 3. The results of anaerobic digestion treating food waste
Item Food waste (TS 18~20%, VS 17~18%)
Temperature Single stage Single stage
Process ~3.2 ~4.0
Organic loading rate (kgVS/m3.d) ~5.1 ~6.4
Hydraulic retention time (day) 30 30
NH4+(g/L) 2.4~2.8 2.4~2.8
Methane gas content (%) 59~64 60~65
VS reduction rate % 76~83 77~83
Biogas production rate (m3/kgVSrem.) 0.7~0.8 0.8~0.9
pH 7.0~7.4 7.3~7.8
Fig. 3. TS and VS reduction of anaerobic digestion treating food waste
../../Resources/kswe/KSWE.2019.35.4.332/JKSWE-35-332_F3.jpg

3과 그림 4에서 최대 기질부하 조건일 때, 유입기질 ton 당 발생하는 바이오가스량을 비교하면, 35 °C의 조건에서 생산 되는 바이오가스량은 약 103 m3/ton, 55 °C 조건에서 생산되는 바이오가스량은 약 115 m3/ton이 된다. 고온소화 조건에서 보 다 높은 유기물 부하율을 처리할 수 있기 때문에(최대 유기물 부하율 차이), 약 10 % 정도 높은 가스발생량을 나타내는 것을 알 수 있었다. 본 연구를 통하여 고농도 유기물인 음식물을 혐 기소화공정으로 처리할 경우, 고온의 단상소화 조건이 중온 소 화보다 더 높은 부하율까지 안정적인 운전이 가능하였다.

Fig. 4. Methane production of anaerobic digestion treating food waste
../../Resources/kswe/KSWE.2019.35.4.332/JKSWE-35-332_F4.jpg

4. Conclusion

음식물류폐기물과 음식물류폐기물의 액상성분을 처리하는 혐기성소화 공정에서 온도에 변화를 주어 소화효율을 비교 하는 연구를 수행한 결과 다음과 같은 결론을 얻었다.

  1. 음식물류폐기물과 그로부터 발생되는 액상성분의 경우, 모두 55 °C의 고온조건에서 소화효율이 가장 높게 나타 났으며, 액상성분의 연구결과 45 °C의 중고온 조건은 35 °C의 중온 조건에서보다 소화효율이 낮은 것으로 나타 났다. 따라서 음식물류폐기물 특히 액상성분을 혐기성소 화공법으로 처리할 경우, 중고온(45 °C)보다는 중온 및 고온조건이 소화효율에서 더 유리할 것으로 판단된다.

  2. 식종으로 사용한 혐기성소화 슬러지에서 확인된 중온 및 고온 혐기성 미생물들과 고온에서 기질 이용성이 높 은 상황이 되는 원인들이 복합적으로 작용하여, 소화효 율에 영향을 주었을 것으로 생각된다.

  3. 본 연구결과, 음식물 액상성분 및 음식물류폐기물의 단 상 혐기성소화공정에서 처리가 가능한 최대 부하량은 중온 조건에서 각각 3.2 kgVS/m3.d, 5.1 kgVS/m3.d, 고 온 조건에서는 각각 4.0 kgVS/m3.d, 6.4 kgVS/m3.d로 측 정되었다.

  4. 일반적인 음식물 혐기소화에서 30일의 체류시간이 요구 되는 것에 비해, 액상성분은 15일 이내의 체류시간에서 도 안정적인 소화효율을 나타내었다. 따라서 음식물의 액상성분과 고형물성분을 분리하여 소화하였을 때, 액 상성분 소화조에서의 빠른 처리효율을 기대할 수 있다.

Acknowledgement

본 연구는 GS E&C에서 지원받았습니다.

References

1 
American Public Health Association (APHA), 2012, Standard method for the examination of water & wastewater, American Public Health Association
2 
Banks C. J, Zhang Y, Jiang Y, Heaven S, 2012, Trace element requirements for stable food waste digestion at elevated ammonia concentrations, Bioresource Technology, Vol. 104, pp. 127-135Google Search
3 
Bong C. P. C, Lim L. Y, Lee C. T, Klemes J. J, Ho C. S, Ho W. S, 2018, The characterisation and treatment of food waste for improvement of biogas production during anaerobic digestion-A review, Journal of Cleaner Production, Vol. 172, No. 20, pp. 1545-1558Google Search
4 
Choi J. S, Kim H. G, Joo H. J, 2014, Solid reduction and methane production of food waste leachate using thermal solibilization, [Korean Literature], Journal of Korean Society on Water Environment, Vol. 30, No. 5, pp. 559-567Google Search
5 
Cirne D. G, Lehtomaki A, Bjornsson L, Blackall L. L, 2006, Hydrolysis and microbial community analyses in two-stage anaerobic digestion of energy crops, Journal of Applied Microbiology, Vol. 103, pp. 516-527Google Search
6 
Divya D, Gopinath L. R, Christy P. M, 2015, A review on current aspects and diverse prospects for enhancing biogas production in sustainable means, Renewable and Sustainable Energy Reviews, Vol. 42, pp. 690-699Google Search
7 
Hu Z. H, Yu H. Q, 2006, Anaerobic digestion of cattail by rumen cultures, Waste Management, Vol. 26, pp. 1222-1228Google Search
8 
Jo Y. D, Kim J, Hwang K. H, Lee C. S, 2018, A comparative study of single-and two-phase anaerobic digestion of food waste under uncontrolled pH conditions, Waste Management, Vol. 78, pp. 509-520Google Search
9 
Kim J. K, Oh B. R, Chun Y. N, Kim S. W, 2006, Effects of temperature and hydraulic retention time on anaerobic digestion of food waste, Journal of Bioscience and Bioengineering, Vol. 102, pp. 328-332Google Search
10 
Kim S, Bae J, Choi O, Ju D, Lee J, Sung H, Park S, Sang B. I, Um Y, 2014, A pilot scale two-stage anaerobic digester treating food waste leachate (FWL): Performance and microbial structure analysis using pyrosequencing, Process Biochemistry, Vol. 49, No. 2, pp. 301-308Google Search
11 
Kim W, Hwang K. H, Shin S. G, Lee S, Hwang S, 2010, Effect of high temperature on bacterial community dynamics in anaerobic acidognesis using mesophilic sludge inoculum, Bioresource Technology, Vol. 101, No. 1, pp. S17-S22Google Search
12 
Labatut R. A, Angenent L. T, Scott N. R, 2014, Conventional mesophilic vs. thermophilic anaerobic digestion: A trade-off between performance and stability?, Water Research, Vol. 53, No. 15, pp. 249-258Google Search
13 
Lee D. H, Behera S. K, Kim J. W, Park H. S, 2009, Methane production potential of leachate generated from Korean food waste recycling facilities: a lab-scale study, Waste Management, Vol. 29, No. 2, pp. 876-882Google Search
14 
Nagao N, Tajima N, Kawai N, Niwa C, Kurosawa N, Matsuyama T, Yusoff F. M, Toda T, 2012, Maximum organic loading rate for the single-stage wet anaerobic digestion of food waste, Bioresource Technology, Vol. 118, pp. 210-218Google Search
15 
Peng X, Borner R. A, Nges I. A, Liu J, 2014, Impact of bioaugmentation on biochemical methane potential for wheat straw with addition of Clostridium cellulolyticum, Bioresource Technology, Vol. 152, pp. 567-571Google Search
16 
Shen F, Yuan H, Pang Y, Chen S, Zhu B, Zou D, Liu Y, Ma J, Yu L, Li X, 2013, Performances of anaerobic co-digestion of fruit & vegetable waste (FVW) and food waste (FW): Single-phase vs. two-phase, Bioresource Technology, Vol. 144, pp. 80-85Google Search
17 
Shin H. S, Han S. K, Song Y. C, Lee C. Y, 2001, Performance of UASB reactor treating leachate from acidogenic fermenter in the two-phase anaerobic digestion of food waste, Water Research, Vol. 35, No. 14, pp. 3441-3447Google Search
18 
Shin S. G, Han G. S, Lim J. T, Lee C. S, Hwang S. H, 2010, A comprehensive microbial insight into two-stage anaerobic digestion of food waste-recycling wastewater, Water Research, Vol. 44, pp. 4838-4849Google Search
19 
Vindis P, Mursec B, Janzekovic M, Cus F, 2009, The impact of mesophilic and thermophilic anaerobic digestion on biogas production, Journal of Achievements in Materials and Manufacturing Engineering, Vol. 36, No. 2, pp. 192-198Google Search
20 
Wei Q, Zhang W, Guo J, Wu S, Tan T, Wang F, Dong R, 2014, Performance and kinetic evaluation of a semi continuously fed anaerobic digester treating food waste: Effect of trace elements on the digester recovery and stability, Chemosphere, Vol. 117, pp. 477-485Google Search
21 
Xu F, Li Y, Ge X, Yang L, Li Y, 2018, Anaerobic digestion of food waste-Challenges and opportunities, Bioresource Technology, Vol. 247, pp. 1047-1058Google Search
22 
Yue Z. B, Li W. W, Yu H. Q, 2013, Application of rumen microorganisms for anaerobic bioconversion of lignocellulosic biomass, Bioresource Technology, Vol. 128, pp. 738-744Google Search
23 
Zhang L, Lee Y. W, Jahng D, 2011, Anaerobic co-digestion of food waste and piggery wastewater: Focusing on the role of trace elements, Bioresource Technology, Vol. 102, pp. 5048-5059Google Search
24 
Zhang R, El-Mashad H. M, Hartman K, Wang F, Liu G, Choate C, Gamble P, 2007, Characterization of food waste as feedstock for anaerobic digestion, Bioresource Technology, Vol. 98, No. 4, pp. 929-935Google Search