최재훈
(Jae-Hoon Choi)
1iD
정성엽
(Seong-Yeob Jeong)
2iD
김지태
(Ji-Tae Kim)
3†iD
-
경기대학교 일반대학원,
(Department of Graduate School, Kyonggi University)
-
(주)환경에너지오앤엠 기술연구소,
(Environment Energy O&M Institute of Technology)
-
경기대학교 창의공과대학 환경에너지공학과
(Department of Environmental Enggineering, Colleage of Engineering, Kyonggi University)
© Korean Society on Water Environment. All rights reserved.
Key words
BMP test, Mixed Sludge, Shear Pre-treatment, Solubilization
1. Introduction
2015년 현재국내 500m3/일 규모 이상의 공공하수처리시설 625개 중 93개소에서 하수슬러지 처리시설이 운영되고 있 다. 하수슬러지 발생량은 2009년 대비 21.2 %
증가한 3,842 천톤/일로 집계되었으며, 하수도 보급률이 증가함에 따라 하 수슬러지 발생량 또한 지속적으로 증가할 것으로 전망되고 있다(ME, 2016). 2012년 이전까지 발생된 하수슬러지는 대 부분이 해양투기로 처리되었지만, 2013년 이후 런던협약에 따라 유기성 폐기물의 해양투기가 금지되어
하수슬러지의 효율적인 처리방안이 필요한 실정이다(Kim et al., 2016). 하 수슬러지의 처리방안은 재활용, 소각, 육상매립 등과 같은 기술이 이용되고 있으며, 이 중, 재활용 방법은 단순 처리대 상이었던 하수슬러지를
혼소, 열분해, 탄화등의 건조공정을 적용한 고형연료화 및 혐기성소화 공정의 biogas화를 통하 여 에너지원으로 활용 할 수 있다는 장점이 있다(Kang et al., 2015).
혐기성소화 공정은 유기물이 다량으로 함유된 하수슬러지 를 혐기성 미생물이 기질로 활용하여 가수분해, Acid생성, Methane생성 단계를 거쳐 에너지원인
biogas를 생산하는 과 정이다. 혐기성 소화 공정에 투입되는 원료인 하수슬러지는 생슬러지인 Primary Sludge(PS)와 잉여슬러지인 Waste
Activated Sludge(WAS) 및 PS와 WSA가 병합된 혼합슬러지 로 구분 된다. 생슬러지는 하·폐수 처리장의 1차 침전지에 서 단순 분리된
슬러지로서 단순 유기성 물질이 많은 부분을 차지하고 있어 별도의 가용화 없이 높은 생분해 특성을 나타 낸다(Kim and Kim, 2010). 하지만 2차 처리된 잉여슬러지의 경우, 미생물과 세포 외 고분자 물질인 Extracellular Polymer Substance(EPS) 및
무기 물질간의 이화학적 결합으로 이루어 진 플록 형태를 이루고 있다. 이 중 유기물질인 탄수화물, 단 백질은 약 80 %가 EPS 내에 존재하고 있어
생분해성이 낮은 특징이 있다(Eskicioglu et al., 2006; Nazari et al., 2017). 이 에 따라 하수슬러지를 가용화 하지 않고 혐기성 소화조 내 투입 시, 높은 HRT(Hidraulic Retention Time), 저해인자
및 독성인자로 인한 공정 효율저하 및 안정성 등의 문제가 발생 할 수 있으므로 가용화 공정이 필수적으로 요구된다. 이러한 생슬러지와 잉여슬러지의 특성을
고려할 시, 잉여슬러지 단 일 원료를 대상으로 한 가용화가 효율적이라는 인식이 대부 분이지만, 대부분의 하수슬러지 처리시설의 혐기성소화 공정 에서는
잉여슬러지와 생슬러지가 혼합되어 투입되므로 혼합 슬러지에 대한 가용화 평가 연구가 필요하다(Montusiewicz et al., 2010).
하수슬러지 세포 내·외 다수 함유하고 있는 유기물질의 방출을 유도하기 위해 적용되고 있는 가용화 방법은 열적, 화학적 및 기계적 전처리 등이 있다.
이러한 가용화 방법들 은 용해 또는 파쇄 작용을 통하여 가수분해 단계 촉진시킴으 로써, 슬러지 감량화 및 바이오 가스 생산을 향상시키기 위 해 적용
되어진다(Kim et al., 2017). 화학적 가용화는 오존 처리법과 알칼리 처리법으로 분류된다. 오존 처리법은 오존 투입 농도에 따른 하수슬러지의 산화 반응을 유도하는 방법 이며,
알칼리 전처리는 높은 약품 투입비용의 단점이 존재한 다(Sahinkaya and Sevimli, 2013). 하지만, 다른 가용화 공정 에 비해 운영이 간편하고, OH- 이 포함된 약품을 투입하기 때문에 지질 성분의 비누화 및 단백질 가용화 효율이 높은 것으로 알려져 있다. 하수슬러지내 미생물 세포벽을 물리적 인
힘을 통해 파괴하여 EPS내 유기물을 용출시키는 기계적 가용화는 초음파, 볼밀, 충돌 플레이트 분사, 전단력을 이용 한 파쇄 방법 등이 있다. 열적,
화학적, 기계적 가용화 모두 용존 유기물 및 biogas 증대에 우수한 효과가 있지만, 화학적 가용화는 높은 약품비용 및 산화반응으로 인한 methane
수 율 감소, 열적 가용화 및 기계적 가용화과 높은 전력소모량 등의 단점으로 인하여, 그에 따른 최적화 연구가 지속적으로 진행되고 있다. 하지만 기계적
가용화에 대한 연구는 다른 가용화 연구에 비해 상대적으로 부족한 실정이며, 기계적 가 용화 방법 중에서도 기존 하수처리시설의 혐기성소화 공정 에서
가용화 장치의 추가설치 만으로도 하수슬러지를 효과 적으로 가용화 할 수 있는 전단력을 이용한 파쇄 가용화에 대한 연구는 미비한 실정이다(Carrère et al., 2010; Hwang, 2008).
따라서 본 연구에서는 TS 7 %의 고농도 혼합슬러지를 대 상으로, 전단력을 이용한 물리적 파쇄 가용화공정의 파쇄강 도(Shear strength)
및 가용화 시간에 따라 나타날 수 있는 혼 합슬러지의 이화학적 특성변화와 혐기성 소화시 생분해도 효과 분석을 진행함으로써 전단력을 이용한 파쇄 가용화
공 정의 적용 가능성을 평가하였다.
2. Materials and Methods
2.1. 혼합슬러지의 제조
본 연구에 사용된 혼합슬러지는 S 환경사업소에서 발생되는 생슬러지 및 잉여슬러지를 혼합하여 사용하였다. 현장에서 채 수해온 하수슬러지를 Testing
Sieve (1 mm)로 협잡물을 제거한 뒤 각각 TS 7 %로 농축하고, 해당 시설의 생슬러지 및 잉여슬 러지의 발생량을 고려하여 무게 비율 1:1로
혼합한 후, 성상변 화를 방지하기 위해 4 °C에서 냉장보관 하였다. 농축된 혼합슬 러지의 이화학적 특성은 <Table 1>에 나타내었다.
Table 1. The characteristics of mixed sludge
|
Parameter
|
Unit
|
Mixed Sludge
|
|
TS
|
g/L
|
70.16
|
|
VS
|
g/L
|
53.85
|
|
TCODCr |
g/L
|
82.13
|
|
SCODCr |
g/L
|
0.73
|
|
TN
|
g/L
|
6.00
|
|
NH4+ |
g/L
|
0.08
|
|
pH
|
-
|
6.64
|
|
Alkalinity
|
mg/L as CaCO3 |
600
|
2.2. 파쇄가용화 장치 및 운전조건
TS 7 % 혼합슬러지를 대상으로 파쇄 가용화 특성과 Biogas 수율 및 methane 생산량을 평가하기 위하여 High shear 방식 의 K&S
Company HM1HF 균일분산 장치를 사용하여 파쇄 가용화를 실시하였다<Fig. 1>. 혼합슬러지의 가용화는 파쇄 장치 하부의 회전하는 Rotor와 고정되어 있는 Stator 사이의 간극(0.2 mm) 내에 발생되는 전단력에 의해
수행된다. 이때, Rotor의 회전력에 의해 와류현상이 발생하고, 이에 따라 슬러 지는 Rotor·Stator 간극 사이에 유입 되며 Stator
외부로 분 산작용이 연속적으로 이루어진다. 하지만, 가용화를 위해 적 용되는 하수슬러지의 투입량에 따라 Rotor·Stator 간극사이 의 유입 및
분산작용에 따른 실질적인 파쇄 적용시간의 차이 가 발생할 수 있으므로 혼합슬러지를 동일하게 1 L를 주입 하였고, 1,000, 2,000, 3,000,
4,000 rpm의 파쇄강도에서 최대 120분간 운전하였다. 가용화 슬러지는 전처리 조건에 맞게 실시간으로 분취하였다.
Fig. 1. Physical shear pre-treatment device
2.3. 성상 분석
2.3.1. 기초성상 및 Biogas 분석 방법
물리적 파쇄 가용화 슬러지에 대한 기초성상(TCODCr, SCODCr, TS, VS, NH4+, pH) 분석은 21st Standard Methods for the Examination of Water and Wastewater(APHA, AWWA, WEF, 2005)에 준하여 실시하였다. 또한 용존성 물질(SCODCr, NH4+)의 경우 6,000 rpm에서 5분간 원심분리 후 고형물이 제거 된 상등액을 GF/C filter(Whatman, England)로 여과한 여과액을
사용하였다. pH 측정은 HANNA사의 pH meter(HANNA HI223)를 사용하여 측정하였다. BMP Test (Biochemical Methane
Potencial Test)통해 발생된 biogas는 500 μL Sample Lock Syringe(HA-81256, Hamilton. inc.,
USA)를 사용하여 포 집 한 뒤, Column(HP-PLOT/Q, Agilent Technologies, inc., USA)을 장착한 GC(Agilent
7890)(Agilent 7890A, Agilent Technologies, inc., USA)의 TCD detector 사용하여 측정하였다. Injector
및 Detector 온도조건은 각각 230 °C, 250 °C이며, Oven 온도는 초기 60 °C에서 30 °C/min로, 최대 240 °C까지
승온 되 도록 설정하였고, Carrier gas는 H2를 이용하였다.
2.3.2. 가용화율 평가
하수슬러지의 가용화(Solubilization) 효율은 가용화 적용 전·후 입자상 물질에서 용존성 물질로 전환되는 효율로써, 다양한 가용화 방법 및
조건에 대한 효율을 평가할 수 있는 지표이다. 가용화 적용전 초기 입자상 유기물의 농도인 PCODCr (Particulate Chemical Oxygen Demand)와 가용화의 적용전․후의 증가된 용존성 유기물 농도(SCODCr)의 백분율 로 나타낸다. 가용화 효율 계산식은 많은 선행연구에서 보편 적으로 활용되어지는 아래의 산정식(1)을 사용하였다(Choi et al., 2014; Kim et al., 2010).
CODS = 가용화 적용 후 SCODCr(g/L)
CODSO = 가용화 적용 전 SCODCr(g/L)
CODPO = 가용화 적용 전 PCODCr(g/L)
2.4. BMP test (Biological Methane Potential) 설정
물리적 파쇄를 위한 가용화장치를 통하여 다양한 조건에 따라 가용화된 혼합슬러지의 biogas 특성 및 methane 효율을 평가하기 위한 BMP test를
실시하였다(Dwyer et al., 2008; Espositol et al., 2012). 식종슬러지는 국내 S 환경사업소에서 배출되는 소화슬러지를 사용하였으며, 소화슬러지 내 혐기성 미생물의 영양 공급을 위한 배지는 Shelton and Tiedje (1984)가 제시한 방법에 따라 제조하였다. 배지의 구성성분 은 <Table 2>에 나타내었다.
Table 2. The composition of anaerobic medium
|
Material
|
Concentration
|
|
Trace metals
|
MnCl2·4H2O
|
0.50 mg/L
|
|
H3BO3 |
0.05 mg/L
|
|
ZnCl2 |
0.05 mg/L
|
|
CuCl2 |
0.03 mg/L
|
|
NaMo4·2H2O
|
0.01 mg/L
|
|
CoCl2·6H2O
|
0.50 mg/L
|
|
NiCl2·6H2O
|
0.05 mg/L
|
|
Na2SeO3 |
0.05 mg/L
|
|
Mineral salt
|
NH4Cl
|
0.53 g/L
|
|
CaCl2·2H2O
|
0.075 g/L
|
|
MgCl·6H2O
|
0.10 g/L
|
|
FeCl2·4H2O
|
0.02 g/L
|
|
Phosphate buffer
|
KH2PO4 |
0.27 g/L
|
|
K2HPO4 |
0.35 g/L
|
제조한 배지는 고압멸균기를 이용하여 120 °C에서 약 15분 간 멸균시킨 뒤 35 °C 중온조건이 조성될 때 까지 상온에서 방냉하였다. 이후 소화슬러지를
배지 총량의 1/10에 해당하는 양을 주입을 하여 식종슬러지를 제조하였다. 이후 500 mL Duran bottle에 제조된 식종슬러지 300 mL와
가용화시료를 식종슬러지 부피기준 2 g VS/L로 산정하여 주입하였다. 또한 접종된 혼합슬러지 및 소화슬러지의 pH를 중성조건으로 조 정하기 위해
0.02 N HCl 및 0.02 N NaOH를 주입하였고, 반 응 초기단계에서의 Acid생성 반응으로 인한 pH 저하를 방지하기 위하여 알칼리도 물질인
중탄산염(NaHCO3)을 1.2 g/L 주입하였다. 특히, 혐기조건을 조성하기 위해 BMP test Seeding의 진행 단계마다 N2 gas purging을 진행하여 bottle 내 산소를 제거하였다. 최종적으로 식종이 완료되면 반응조 상단에 고무패킹과 실리콘 마개를 조합하여 플라스틱
캡으 로 밀봉한 후 35 °C 중온조건의 배양기에서 test를 진행하였 으며, biogas 발생량은 10 mL, 50 mL gas tight syringe를
이 용하여 측정하였다.
3. Results and Discussion
3.1. 가용화 슬러지 특성 평가
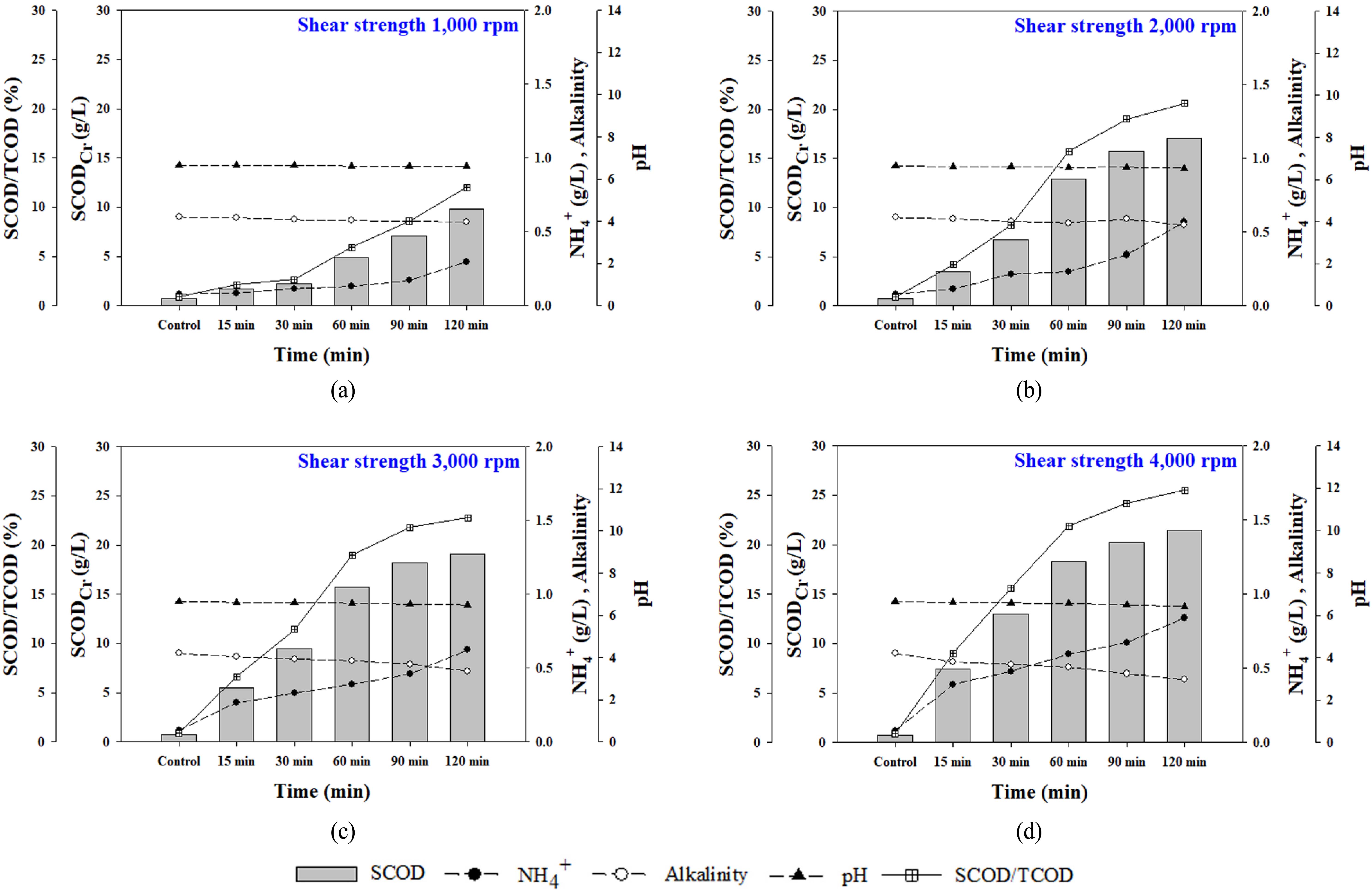
혼합슬러지를 대상으로 물리적 파쇄 가용화 전·후 Control 및 조건별 가용화 슬러지의 기초성상 분석을 통하여 이화학적 성상 변화를 관찰하였다.
TS 7 % 혼합슬러지를 대 상으로 Shear strength 조건별 시료의 성상 변화는 <Fig. 2> 에 각각 나타내었다. 가용화 슬러지 내 SCODCr 및 NH4+ 농 도 분석 결과, 모든 조건별 가용화 슬러지에서 Shear strength 및 시간이 증가함에 따라 입자성 물질에서 용존성 물질로 전환된 것을
확인하였다. <Fig. 3>
Fig. 2.
The impact of shear pre-treatment on characteristics
Shear strength : (a) 1,000 rpm (b) 2,000 rpm (c) 3,000 rpm (d) 4,000 rpm
Fig. 3.
The impact of shear pre-treatment on solubilization
Shear strength : (a) 1,000 rpm (b) 2,000 rpm (c) 3,000 rpm (d) 4,000 rpm
가용화 효율을 나타낼 수 있는 SCODCr 농도의 경우 파쇄 가용화 적용 전 0.73 g/L에서 각 파쇄강도별 120 min 조건에 서 최대 9.87, 17.09 19.06, 21.43 g/L으로
증가하였다. SCODCr/TCODCr (%) 또한 점차 증가하여 최대 12.02, 20.61, 22.77, 25.51 % 값으로 평가되었다. 이는, 하수슬러지 가용화 방법 중 가장 많이
적용되는 Jeong et al. (2014)의 160 °C 30 min 고온 열적가용화 효율과 비슷한 수치이므로 파쇄 가용 화 또한 유기물 가용화에 효율적으로 작용될 수 있다고 판단 된다.
NH4+의 농도 또한 EPS내 유기물이 가용화 되면서 파 쇄강도별 120 min 조건에서 최대 0.30, 0.57, 0.63, 0.84 g/L 로 증가하는
것으로 나타났다. Wilson and Novak (2009)의 연구에 의하면 약 0.8 g/L의 NH4+의 농도를 함유하는 하수슬 러지가 혐기성 소화조내에 투입될 시, 혐기성 소화조 내 독 성인자로 작용될 가능성은 낮다고 보고하였다. 이러한 결과 로
보아 물리적 파쇄 가용화의 적용은 하수슬러지 혐기성 소 화공정에서 가장 많이 적용되는 고온 열적가용화 효율을 나 타냄과 동시에 독성인자에 대한 영향이
발생하지 않을 것으 로 예상되므로 하수슬러지에 대한 물리적 파쇄 가용화 적용 성이 우수한 것으로 판단된다.
3.2. 가용화율 평가
1,000, 2,000, 3,000, 4,000 rpm 조건별 가용화율을 평가한 결과, 1,000 rpm 조건에서는 최대 11.23 %로써, 2,000,
3,000, 4,000 rpm에서 나타난 20.10, 22.52, 25.43 % 효율에 비해 낮 은 수치를 나타냈다. 이는, 파쇄 작용을 수행하는
Rotor의 회 전과 동시에 혼합슬러지가 Stator 공간으로 유입되며 파쇄가 진행될 때, 혼합슬러지의 높은 점성에 비해 1,000 rpm의 낮 은
회전력으로 인하여 가용화 초기에 실질적인 파쇄적용 시 간이 감소하였기 때문으로 사료된다. 하지만 2,000 rpm 이상 의 조건에서는 Rotor의
회전력이 상승함에 따라 Rotor와 Stator 사이에 혼합슬러지의 유입이 원활해져 가용화효율의 급격한 증가를 확인하였다. 또한 가용화 시간에 따른
효율을 고려시 30 min 이후부터 효율이 급격하게 상승하는 것으로 나타나는데, 이는 가용화가 진행될수록 EPS 내 Liquid성분 이 용출되어 혼합슬러지의의
점성이 낮아짐에 따라 원료와 Rotor와 Stator 간극사이에 유입되는 슬러지의 유동성이 확 보되기 때문인 것으로 판단된다. 이에 따라 혼합슬러지를
대 상으로 Rotor와 Stator 0.2 mm 간격을 보유한 파쇄 가용화를 적용할시 파쇄강도는 2,000 rpm 이상, 가용화 적용시간은 30 min
이상의 조건에서 실시해야 할 것으로 판단된다.
3.3. BMP test 결과
회분식 BMP tset를 통하여 조건별 물리적 파쇄 가용화를 적용한 가용화 전·후의 혼합슬러지 대상 biogas 특성을 평 가한 결과, 가용화를 적용한
각 조건별 최대 methane 발생량 은 0.275, 0.310, 0.324, 0.335 m3/kg VSadd로 조사되었다. 가 용화를 적용하지 않은 혼합슬러지의 methane 발생량은 0.262 m3/kg VSadd 로써 최대 21.28 % 증가한 것으로 나타났다. 이 는, 3 ~ 65 % methane 발생량이 증가된 열적 가용화, 화학적 가용화 선행 연구와
비교해보았을 때, 다른 가용화 공정에 적 용된 기질의 methane 발생량 보다 높은 효율을 나타내는 것 으로 조사되었다. <Fig. 4>
Fig. 4.
Cumulative methane yield
Shear strength : (a) 1,000 rpm (b) 2,000 rpm (c) 3,000 rpm (d) 4,000 rpm
물리적 파쇄 가용화의 Shear strength 및 가용화 적용 시간 에 따른 methane 발생량은 각 원료별 가용화효율과 비슷한 경향으로 증가하는
경향을 보였다. 특히 1,000 rpm에서의 methane 발생량의 증가율은 다른 조건에 비해 낮게 나타났 으며, 가용화 적용시간 30 min 이후부터
유의한 결과가 도출 되었다. 이러한 결과는 가용화 적용 30 min 이후 부터 유의 하게 증가된 용존유기물의 농도(SCODcr)에 따른 가용화율 증대에 기인하는 것으로 판단되며, Rani et al. (2012)의 가용 화를 적용 전·후 COD 가용화율과 생분해 사이의 관계가 있음을 도출해낸 연구 결과와 일치한다. 특히, 앞서 언급한 본 가용화 시료의 NH4+의 농도는 생분해도 평가에서 저해인자로 작용되지 않아, 증가하는 용존유기물 함량 대비 methane 발생 량이 감소하는 경향을 나타내는 Kim et al. (2013), Wett et al. (2010)의 연구와 상응한다. <Table 3>
Table 3. The comparative of study of BMP test
|
Substrate
|
TS (%)
|
Treatment Conditions
|
Methane Yeild
|
Reference
|
|
Method
|
Time (min)
|
|
WAS
|
5.92
|
Thermal (180 °C)
|
30
|
0.299 m3/kg VSSadd (65%↑)
|
Jeong et al. (2014) |
|
WAS
|
1.45
|
Thermal (190 °C)
|
15
|
0.314 m3/kg VSSadd (23%↑)
|
Bougrier et al. (2007) |
|
WAS
|
3.91
|
Thermal + Chemical (80 °C, pH=10)
|
300
|
305 m3/kg VSSadd (4% ↑)
|
Nazari et al. (2017) |
|
PS
|
2.95
|
Thermal + Chemical (80 °C, pH=10)
|
300
|
506 kg m3/kg VSSadd (3% ↑)
|
본 연구에서는 잉여슬러지에 비해 상대적으로 가용화의 효 율이 낮은 생슬러지를 혼합하여 물리적 파쇄 가용화를 진행 하였음에도 불구하고 높은 가용화 효율을
확보하였으며, 증 대된 methane 발생량을 확인하였다. 추후 물리적 파쇄 가용 화 방식으로 적용된 carbohydrate와 protein의 특성변화
및 biogas 특성의 연관성을 평가하여 해당 인자들을 효과적으로 가용화할 수 있는 추가적인 병합가용화 공정에 대한 연구가 진행되어야 할 것으로 판단된다.
더 나아가 Shear 방식의 특 성상, 균일 분산화 할 수 있다는 장점을 활용하여 하수슬러 지와 혼합되기 어려운 유분성분의 Fat, Oil and
Grease 및 음 폐수 분산효율 및 병합소화 공정에 대한 적용성에 대한 검토 가 필요할 것으로 사료된다.
4. Conclusion
-
High Shear 작용이 일어나는 물리적 파쇄 가용화 전·후 혼합슬러지의 이화학적 특성조사 결과 입자성 물질 에서 Shear strength 및
가용화 시간이 상승함에 따라 4,000 rpm 120 min 조건에서 SCODCr 농도가 최대 21.43 g/L로 평가되어, 혐기성소화 공정 적용시 산발효 및 율속단계로 알려져 있는 가수분해 단계를 촉진 시킬 것으로 판단된다.
-
가용화 효율 평가에 보편적으로 이용되는 가용화 효율 식을 통하여 각 농도 별 CODCr 가용화율을 평가 시, Shear Strength 1,000, 2,000, 3,000, 4,000 rpm 조건에서 각각 11.23, 20.10, 22.52,
25.43 %로써, 하수슬러지 가 용화에 보편적으로 적용되어 지고 있는 고온 열적가용 화 공정 만큼의 효율이 극대화된 것으로 나타났다.
-
BMP test 결과, 각 조건별 최대 methane 발생량은 0.275, 0.310, 0.324, 0.335 m3/kg VSadd로써 가용화를 적용하지 않은 혼합슬러지의 methane 발생량 0.262 m3/kg VSadd 대비 최대 21.28 % 증가하였다.
-
가용화 슬러지의 생분해도 특성 평가결과, 1,000 rpm에 서 2,000 rpm으로 Shear strength가 상승 시, 가용화효율 및 methane
생산량이 급격하게 증가하였다. 이후 3,000, 4,000 rpm에서는 급격한 증가를 나타내지 않은 것으로 보아, 최적 Shear Strength는
2,000 rpm로 평가 되었다.
-
2,000 rpm 조건에서 시간대별 효율대비 최적 적용시간 은 30 min으로 나타남에 따라 물리적 파쇄 가용화의 최 적조건은 2,000 rpm 30
min으로 판단되며, 추후 반 연 속 혐기성 소화조의 운영을 통하여 전력소모량 및 에너 지 회수율을 비교·검토하는 연구가 진행되어야 할 것 으로 판단된다.
Acknowledgement
본 연구는 2019년 경기대학교 대학원 연구원장학생 장학 금 지원에 의하여 수행되었음.
(This work was supported by Kyonggi University’s Graduate Research Assistantship 2019).
References
American Public Health Association, American Water Works Association and Water Environment
Federation (APHA, AWWA, WEF), 2005, Standard methods for the examination of water
& wastewater, Health association
Bougrier C, Delgenes J. P, Carrere H, 2007, Impacts of thermal pretreatments on the
semi-continuous anaerobic digestion of waste activated sludge, Biochemical Engineering
Journal, Vol. 34, No. 1, pp. 20-27

Carrère H, Dumas C, Battimelli A, Batstone D. J, Delgenès J. P, Steyer J. P, Ferrer
I, 2010, Pretreatment methods to improve sludge anaerobic degradability: A review,
Journal of Hazardous Materials, Vol. 183, No. 1-3, pp. 1-15

Choi J. S, Kim H. G, Joo H. J, 2014, Solid reduction and methane production of food
waste leachate using thermal solubilization, [Korean Literature], Journal of Korean
Society on Water Environment, Vol. 30, No. 5, pp. 559-567

Dwyer J, Starrenburg D, Tait S, Barr K, Batstone D. J, Lant P, 2008, Decreasing activated
sludge thermal hydrolysis temperature reduces product colour, without decreasing degradability,
Water research, Vol. 42, No. 18, pp. 4699-4709

Eskicioglu C, Kennedy J. K, Droste L. R, 2006, Characterization of soluble organic
matter of waste activated sludge before and after thermal pretreatment, Water Research,
Vol. 40, No. 20, pp. 3725-3736

Esposito G, Frunzo L, Liotta1 F, Panico A, Pirozzi F, 2012, Bio-methane potential
tests to measure the biogas production from the digestion and co-digestion of complex
organic substrates, The Open Environmental Engineering Journal, Vol. 5, pp. 5-8

Hwang Y. G, 2008, [Korean Literature], Study on sludge solubilization using fisintegrato,
Master’s Thesis, Youngnam University, pp. 1-2
Jeong S. Y, Jung S. Y, Chang S. W, 2014, Enhancement of anaerobic biodegradabilityand
solubilization by thermal pre-treatment of waste activated sludge, [Korean Literature],
New & Renewable Energy, Vol. 10, No. 1, pp. 20-29

Kang H, Oh B. Y, Shin K. S, 2015, Anaerobic treatment of leachjate solubilized from
themal hydrolysis of sludge cake, [Korean Literature], Journal of Korean Society of
Environmental Engineers, Vol. 37, No. 10, pp. 583-589

Kim D. H, Cho S. K, Lee M. K, Kim M. S, 2013, Increased solubilization of excess sludge
does not always result in enhanced anaerobic digestion efficiency, Bioresource Technology,
Vol. 143, pp. 660-664

Kim D. H, Jeong E, Oh S. E, Shin H. S, 2010, Combined (alkaline + ultrasonic) pretreatment
effect on sewage sludge disintegration, Water Rsearch, Vol. 44, pp. 3093-3100

Kim D. J, Kim H. Y, 2010, Sludge slubilization by pre-treatment and its effect on
methane production and sludge reduction in anaerobic digestion, [Korean Literature],
Korean Chemical Engineering Research, Vol. 48, No. 1, pp. 103-109

Kim H. J, Kim T. K, Ko G. B, Kim Y. K, Park S. U, 2016, [Korean Literature], Characteristics
of material movement in thermal pretreatment reaction, pp. 209-210
Kim S. G, Lee S. J, Lee J. B, Son B. K, Lee K. H, 2017, A study on dewatering and
drying characteristics of sewage waste water sludge, [Korean Literature], Journal
of Korea Society of Waste Management, Vol. 34, No. 7, pp. 668-677

Ministry of Environment (ME), 2016, Statics of sewerage 2015, Sewerage Division, pp.
14-15

Montusiewicz A, Lebiocka M, Rożej A, Zacharska E, Pawłesowski L, 2010, Freezing/thawing
effects on anaerobic digestion of mixed sewage sludge, Bioresource Technologsssssey,
Vol. 101, No. 10, pp. 3466-3473

Nazari L, Yuan Z, Santoro D, Sarathy S, Ho D, Batstone D, Xu C. C, Ray B. M, 2017,
Low-temperature thermal pre-treatment of municipal wastewater sludge: Process optimization
and effects on solubilization and anaerobic degradation, Water Research, Vol. 113,
pp. 111-123

Rani R. U, Kumar S. A, Kaliappan S, Yeom I. T, Banu J. R, 2012, Low temperature thermo-chemical
pretreatment of dairy waste activated sludge for anaerobic digestion process, Bioresource
Technology, Vol. 103, No. 1, pp. 415-424

Sahinkaya S, Sevimli M. F, 2013, Synergistic effects of sono-alkaline pretreatment
on anaerobic biodegradability of waste activated sludge, Journal of Industrial and
Engineering Chemistry, Vol. 19, pp. 197-206

Shelton D, Tiedje J, 1984, General method fordetermining anaerobic biodegradation
potential, Applied Environmental Microbiology, Vol. 47, No. 4, pp. 850-857

Wett B. B, Phothilangka P, Eladawy A, 2010, Systematic comparison of mechanical and
thermal sludge disintegration technologies, Waste Management, Vol. 30, No. 6, pp.
1057-1062

Wilson C. A, Novak J. T, 2009, Hydrolysis of macromolecular components of primary
and secondary wastewater sludge by thermal hydrolytic pretreatment, Water Research,
Vol. 43, No. 18, pp. 4489-4498
