염보민
(Bo-Min Yeom)
1aiD
이혜원
(Hye Won Lee)
2iD
문희일
(Hee-Il Moon)
3aiD
윤동구
(Dong-Gu Yun)
3biD
최정현
(Jung Hyun Choi)
1b†iD
-
이화여자대학교 환경공학과,
(Department of Environmental Engineering, Ewha womans University)
-
이화여자대학교 기후환경변화예측연구센터
(Center for Climate/Environment Change Prediction Research, Ewha womans University)
-
(주)에코인
(Ecoin Co. Ltd)
© Korean Society on Water Quality. All rights reserved.
Key words
CE-QUAL-W2, Doam lake watershed, HSPF, In-lake management practices, Non-point sources control, Selective withdrawal
1. Introduction
국토의 대부분이 산림으로 이루어진 우리나라는 경작지 확 보를 위한 개간이나 지력 증진을 위해 성행되는 객토, 기계 화 영농을 위한 밭두렁 제거 등
비합리적인 토지이용으로 토 양유실 문제가 심각하다. 특히 지형이 높고 경사가 심한 곳 에서 이루어지는 고랭지 농업의 경우에는 작물 재배 기간 외 에는
밭고랑이 나지상태로 유지되며, 강우를 배제할 수 있는 빗물 우회수로나 배수로가 거의 없어 강우에 의한 토양유실 이 가속화된다(Cho, 2018; Heo et al., 2008; Jang and Kim, 2018; Lee et al., 2017; ME, 2004). 또한 과다한 객토로 인하 여 토양 구조가 흐트러진 환경에서는 강우시 토사에 흡착된 농약과 비료가 수계로 유입되어 탁수 및 부영양화 문제를 일
으킨다(Choi et al., 2010; Jang and Kim, 2018).
도암호 유역은 고랭지 채소밭과 방목장에서 발생하는 오염 물질로 인하여 도암호의 수질이 지속적으로 악화되어 2007 년 물환경보전법에 근거하여 소양호,
임하호 등과 같이 비점 오염관리지역으로 지정되었다. 비점오염관리지역 지정제도 는 비점오염원에서 유출되는 강우유출수로 인하여 하천이나 호소 등의 이용목적,
주민의 건강, 재산이나 자연생태계에 중대한 위해가 발생하거나 발생할 우려가 있는 지역의 수질 을 관리하기 위하여 도입되었다. 이 제도에 근거하여 도암호
유역에서는 도암호 말단지점에서 SS 항목이 호소수질 II등 급인 5.0 mg/L 이하로 유지되도록 저감사업이 추진되어 왔 다. 도암호의 수질개선대책은
주로 상류유역의 비점오염원을 관리하여 호내로 유입되는 토사를 저감시키는 침사지, 식생 수로, 식생매트, 작목전환 등 유역관리대책 중심으로 시행되 었다.
최근 비점오염원을 저감하기 위한 연구는 유역 내 유출 특 성과 호내 SS 거동 예측을 위한 유역-호소 모델 연계적용이 다방면으로 진행되어 왔다. Yi et al. (2008)은 유역-호소 모 델을 연계 적용하여 용담댐의 강우시 저수지로 유입되는 탁 수 발생을 예측하고, 그 거동을 분석함으로써 탁수관리를 위 한 방안을 연구한
바 있다. NIER (2010, 2011)은 소양호와 도암호 유역을 대상으로 비점오염저감시설의 저감효과를 분 석하여 개선방안을 제시하였고, 도암호 유역에 설치된 비점 오염원 저감시설의 효율을
유역-호소 모델을 적용하여 목표 수질 달성도를 평가하였다. Choi et al. (2012)은 도암호 유역 에 대한 유역-호소 모델을 연계 적용하여 상이한 기상조건에 서 유역과 호내 SS 거동을 평가함으로써 효과적인 토양유실 관리대책의 이행을
위한 기초적인 연구를 수행하였다. 뿐만 아니라 유역에서 유출된 오염물질의 호내 거동을 과학적으 로 평가하기 위해서는 온도 성층과 탁도의 중층 유입
현상이 규명되어야 한다. An (2001)은 대청호에서 고농도 탁수의 중 층 유입으로 인한 표층수의 고립 현상과 호내 성층 현상에 미치는 영향을 보고하였으며, Chung (2004)은 CE-QUAL-W2 를 이용하여 대청호로 유입되는 탁수의 저수지 중층밀도류 형성 특성을 파악하였다. Lee et al. (2015)은 용담댐을 대상 으로 유역-호소 모델에 기후 변화에 따른 강우 패턴 변화가 호내 탁수의 흐름과 성층 현상에 미치는 영향에 대하여 분석 하였다. 비점오염원
저감대책이 호수 수질에 미치는 영향을 살펴보기 위해서는 부유물질의 유역 유출과 호내 거동에 대 한 분석을 통해 그 효과를 정량적으로 평가하고, 이를
기반 으로 댐 운영시 수질개선 효과와 그 운영방안에 대한 지침을 제시하는 연구가 필요한 실정이다.
따라서 본 연구에서는 도암호 유역의 부유물질 유출량과 토사량을 모의하고, 부유물질의 호내 거동을 분석하기 위하 여 유역모델 HSPF와 호소모델 CE-QUAL-W2를
연계 적용 하였다. 구축된 유역-호소 모델을 활용하여 도암호 유역과 호내 대책을 분석하고, 댐 운영시 수질개선 효과와 그 운영 방안에 대한 가이드라인을
제시하는 연구를 수행하였다.
2. Materials and Methods
2.1. 연구대상 지역
본 연구대상지는 강원도 평창군 대관령면 송천을 포함하여 도암호 유역 151.2 km2, 유로연장은 22.72 km이다. 도암댐은 1989년 8월 남한강 최상류인 송천을 막아 15.6 km의 지하도 수로를 통해 강릉시에 위치한 강릉수력발전소에서
전력을 생산하기 위해 건설된 유역변경식 댐이다. 도암댐은 1990년 에 준공되어 운영되었으나, 도암호 상류 유역의 오염원 유입 으로 인해 발전 방류지역인
강릉남대천에서 수질오염문제가 야기되어 2001년 이후 가동이 정지된 상태이다. 중단된 이후 부터 송천의 하류구간으로 자연 방류 중이며 상류 고랭지
채 소밭과 목장 등에서 유입되는 오염물질로 인하여 호소 수질 이 지속적으로 악화되고 있다. 도암호의 최대 저수용량은 51.4×106 m3, 저수 면적은 2.2 km2이며 현재 발전방류가 중단 되어 여수로를 통한 방류만으로 EL.695 m의 수위를 유지하 고 있다.
도암호 유역은 지목별로 임야가 117.4 km2로 가장 넓은 면 적(77 %)을 차지하고 있다. 최근 2018년 평창동계올림픽 개 최를 위해 경기장, 도로, 리조트 등을 만들기 위한 각종 공사
가 진행되어, 공사면적이 2016년 기준 497,736 m2으로 2009 년과 비교하여 약 5배 증가하였다(ME, 2016). 2016년 전국 오염원조사자료 기준으로 도암호 유역의 전체 배출부하량은 BOD 1,210.94 kg/일, TN 746.942 kg/일, TP
61.447 kg/일로 산정되었다. BOD의 경우, 점배출부하량이 13.6 %, 비점배출 부하량이 86.4 %로 비점배출부하량이 훨씬 더 큰 비중을
차 지하고 있는 것으로 나타났다. TN은 점배출부하량이 18.7 %, 비점배출부하량이 81.3 %이며, TP는 점배출부하량이 21.1 %, 비점배출부하량이
78.9 %로 모든 항목에서 비점배출부하 량의 비중이 높은 것으로 나타났다.
2.2. 도암호 유역모델 HSPF 구축
도암호 유역은 산림과 농업활동 지역이 토지이용의 많은 비율을 차지하고 있지만, 평창 동계올림픽 개최로 인하여 시 가지 면적이 증가하였다. 따라서 복합적인
토지피복 특성을 갖는 유역에서 강우에 의해 발생하는 유역 유출 및 수체의 수리·수질 모의를 위하여 농촌 및 도시지역에 통합 적용 가 능한 HSPF
모델을 선정하였다. HSPF 모델은 1960년대 초 스탠포드 유역모형(Standford Watershed Model)으로 처음 개 발되어, 이후 미국
환경청(U.S. EPA)과 미국 지질조사기관 (USGS)에 의해 발전되었다(Shin et al., 2013). HSPF 모델은 투수층(PERLND)과 불투수층(IMPLND)의 토지 이용단위로 구분하여 모의되며, 이로부터 유출되는 오염물질이 하천 (RCHRES)으로
유입되도록 구성되어 있다. 각각의 모듈은 물의 흐름과 관계된 부분과 토사유출, 영양염류 등 수질과 관계되는 부분으로 구분되어 있다. (Fig. 1).
Fig. 1. Thematic maps of geographic information system in the study area. (a) Watershed and stream boundary, (b) Digital Elevation Model (DEM), (c) Landuse Map of Study area.
HSPF 모델을 도암호 유역에 적용하기 위해 수치고도모델 (Digital Elevation Model; DEM), 토지피복도, 기상관측자료, 전국오염원조사자료,
유량 및 수질측정자료 등의 기초자료가 필요하다. DEM 분석을 통한 지형현황, 주요 비점오염배출지 역 및 도암댐과의 연계성 등을 고려하여 전체유역을
총 24개 소유역으로 세분하였다. 토지피복도는 1:25,000의 중분류 토 지피복도를 HSPF 적용에 적합하게 변환하여 사용하였다. 기 상자료는 기상청의
대관령과 강릉 기상관측지점의 대기기온 (°C), 이슬점온도(°C), 전운량(할), 풍속(m/s), 풍향(Radian), 일사량(Ly/hr) 자료를
이용하였으며, 증발량(mm/hr)과 증발산 량(mm/hr)은 Jensen-Haise 방법으로 산정하였다(KMA, 2018).
2.3. 도암호 CE-QUAL-W2 호소모델 구축
도암호는 산간지역에서 대형댐 건설로 인하여 형성된 인공 호로, 길이와 깊이 방향으로 수질 변화가 크고 폭이 좁은 수 지형 수체의 특성을 가지고 있다.
따라서 수체의 흐름과 수 심 방향의 수리 및 수질 특성을 파악하기 위해서 횡방향 평 균 2차원 모델 CE-QUAL-W2 모델을 적용하였다(Kim and Kang, 2013; Kim et al., 2001). CE-QUAL-W2 모델은 1986 년 미공병단(U.S. Army Corps of Engineers)에서 개발된 2차 원 수리 및 수질모형으로,
수체를 종방향과 수심방향으로 각 각 일정한 간격으로 나누어 시간에 따른 수위, 수온, 수질 등 을 모의할 수 있다.
CE-QUAL-W2 모델을 도암호에 적용하기 위해 수위-수표면 적 및 수위-체적 곡선을 이용하여 호소 지형자료(Bathymetry File)을 구축하였다.
격자 구조는 수평 방향으로 40-770 m 범 위의 경계면을 포함하여 총 18개로 이루어져 있으며, 수직 방 향은 1 m 간격으로 총 52개의 격자로
구성하였다. 기상자료 는 유역모델과 동일한 시자료를 사용하였다. 유입경계조건은 유입 유량, 수온 및 탁도의 HSPF 모의결과를 연계 적용하였 다.
호내 유입되는 탁도를 CE-QUAL-W2의 경계조건으로 입 력하기 위해 SS(Suspended Solid) 농도로 계산되는 HSPF 모 델 결과를
탁도(Turbidity)로 환산하였다. 2017년 유입하천에 서 실측된 탁도와 SS 농도값을 이용하여 SS-탁도 상관관계식 을 도출한 후 탁도로 환산하였으며,
적용된 식은 다음과 같다.
또한 CE-QUAL-W2 모델 결과에서 도출된 탁도 결과를 SS로 환산하여 도암댐 방류수의 수질을 평가하기 위하여 2017년 호내에서 실측된 탁도와
SS 농도값을 이용하여 SS- 탁도 상관관계식을 도출한 후 SS 농도로 환산하였으며, 적용 된 식은 다음과 같다.
여기서, Turbidity는 탁도(NTU), SS는 부유사 농도(mg/L)이 며, 적용된 관계식의 상관계수(R2)는 각각 0.93과 0.81로 높 은 상관성을 나타낸다(Fig. 2).
Fig. 2. Relationship between turbidity and SS concentration in Doam watershed and lake.
2.4. 도암호 수질 모의를 위한 시나리오 구성
도암호 유역에서 유입되는 탁수를 저감하기 위한 시나리오 는 유역대책과 호내대책으로 구분하였다(Table 1). 수질개선 대책 시나리오는 2017년 기상, 유량 및 수질 조건에서, 2001 년 이전과 유사하게 일평균 9시간, 40만 m3/day로 발전방류 하는 것으로 가정하였다. S0 시나리오는 현재 상태(2017년 조건)에서 발전방류를 재개하여 남대천으로 방류수가 유입되 는 대조
시나리오이다. S1 시나리오는 사면보호공, 농로포장, 우회수로, 저감팬스 등 도암호 유역에서 시행되고 있는 비점 오염저감대책이 향후 10년 동안에도
현재와 유사한 수준으로 연간 4,545 m3의 토사유출을 저감할 것을 가정하고(ME, 2014), HSPF 모델 내에서 최적관리기법(Best Management Practice; BMP) 효율을 고려하여 적용하였다. (Fig. 3).
Table 1. Configuration of Scenario
|
Division
|
Content
|
Withdrawal height (EL. m)
|
|
S0
|
Resumption of Doam dam operation (Discharge to Kangnung Namdae-chun)
|
673
|
|
S1
|
Watershed management (Muddy water reduction project)
|
673
|
|
S2
|
Watershed management (Muddy water reduction project) + In-lake management practices
(Sedimentation basin and suspended matter barrier)
|
673
|
|
S3-1
|
Watershed management (Muddy water reduction project) + In-lake management practices
(Selective withdrawal)
|
683
|
|
S3-2
|
688
|
|
S4-1
|
Watershed management (Muddy water reduction project) + In-lake management practices
(Sedimentation basin and suspended matter barrier + selective withdrawal)
|
673
|
|
S4-2
|
683
|
|
S4-3
|
688
|
|
S4-4
|
673+688
|
Fig. 3. Subbasin map of the study area and CE-QUAL-W2 model grid. (a) HSPF subbasin map of Doam lake watershed showing the location of measurement sites, (b) CE-QUAL-W2 segment definition map of Doam lake.
호내대책(S2-S4)은 각 호소대책에 유역관리대책(S1)이 함 께 적용된다고 가정하여 시나리오를 구성하였다. S2 시나리 오는 호소 유입부에 10만
m3/day 용량의 침강지와 부유물질 차단막을 설치하여 토사유입을 저감하는 방안으로 구성하였 다. 유효강우 2.5 mm를 기준으로 강우시 10만 m3/day을 초과 하는 유량의 경우 비강우시의 침강지 정화효율을 적용하여 호내로 유입되도록 설계하였다(KRC, 2009). S3-1와 S3-2 시 나리오는 남대천으로 발전방류시 현재 EL.673 m에 위치한 취수구 높이를 각각 EL.683 m와 EL.688 m으로
조정하여 방 류시 부유물질의 농도 변화를 예측하였다. S4-1, S4-2, S4-3 및 S4-4 시나리오에서는 유역과 호소대책 및 취수구 높이 변
경을 종합적으로 평가하였다.
3. Results and Discussion
3.1. 탁수 발생 현황
본 연구에서는 2017년 7월 13일 도암호 내 탁수 거동을 파악 하기 위해 도암호 유입부(DR1), 호내 중간부(DR2) 및 댐앞 (DR3) 3개
지점에서 현장조사를 실시하였다(Fig. 4). 수표면에 서 수심 5 m 까지는 1 m 간격으로, DR1과 DR2 지점은 수표면 에서부터 5 m 이하의 수심부는 5 m 간격으로, DR3 지점은
수표면에서부터 40 m 까지 10 m 간격으로 온도 및 탁도를 실측하였다. 도암호 유역에 현장조사 이전강우는 2017년 7월 7일부터 11일까지 총
82.6 mm의 강우사상이 있었다.
Fig. 4. Turbidity distribution in the lake after rainfall (July 13, 2017 field survey).
온도는 DR1, DR2 및 DR3 지점간의 차이는 크지 않았으나, 표층에서 약 25 °C를 나타냈고 중층(5~10 m) 이하에서는 10 °C 내외로
조사되어 2017년 7월 13일 현장조사시 강한 수온성 층이 나타나는 것을 알 수 있다. 탁도는 3개 지점 표층에서 82.0-109.1 NTU를 나타냈으나,
급격한 온도변화를 보이는 수 표면에서부터 수심 5-10 m 깊이의 DR1 지점에서는 629.0-635.0 NTU, DR2 지점에서는 226.0-325.0
NTU 및 DR3 지점에 서는 85.6-374.0 NTU를 나타냈다. 이것은 7월 7일부터 11일까 지의 강우현상으로 유역에서 발생한 탁수가 수심
5 m 내외의 중층으로 유입되는 밀도류를 형성하기 때문으로 판단된다. 호 내에서 밀도류가 댐 앞으로 이동하면서 침전효과로 인해 탁도 의 농도가 낮아지나
댐 앞부분에서는 유입된 오염물질이 댐 벽에 부딪치며 가라앉음에 따라 5 m 지점과 30 m 이하 지점에 서 탁도가 높게 나타나는 것을 알 수 있다.
3.2. 도암호 유역모델 재현성 검토
도암호 유역에 적용된 HSPF 모델은 2017년 도암호 유역 송천상류(DS1), 차항천(DS2), 대관령천(DS3), 송천중류(DS4) 및 용평천(DS5)
5개 지점에서 월별 측정한 유량 및 부유물질 농도를 모의하여 유역모델의 재현성을 검토하였다(Fig. 5). 모델의 재현성을 평가하기 위하여 %Diff., RMSE (Root Mean Square Error) 및 NSE (Nash-Sutcliffe efficiency)를
산 정하여 비교하였다. %Diff.는 상대오차를 의미하고, RMSE는 실측값과 모의값 간의 상호편차를 의미하며 이 두 값 모두 0 에 가까울수록 모델의
정밀도가 높아짐을 의미한다. NSE는 실측값과 모의값이 1:1 라인을 얼마나 잘 묘사하는가를 나타 내며, 그 값이 1에 가까울수록 모델의 예측치가
실측치와 유 사함을 의미한다(Nash and Sutcliffe, 1970). 유량 보정 결과, 지점별 RMSE는 0.09-0.55 m3/s, NSE는 –0.14-0.62으로 모 델 결과가 실측값을 적절히 모의하는 것으로 분석되었다. Donigian (2000)의 %Diff. 기준에 따라 모델의 재현성을 평 가한 결과, 전 지점에서 3.91-25.64의 값을 보이며 신뢰구간 안에 포함되는 것으로 분석되었다.
SS 보정 결과, 지점별 RMSE는 2.3-39.9 mg/L로 모델 결과가 SS의 계절별 경향을 적절히 모의하는 것으로 분석되었다. DS2 지점과
DS5 지점 의 RMSE가 각각 20.8 mg/L와 39.9 mg/L으로 모델치에 비하 여 실측값이 비교적 높게 나타났다. 이는 현장조사가 이루어
진 2017년 하절기는 2018년 2월 평창동계올림픽 개최를 위 한 도로 등의 기반시설 공사로 인한 일시적인 오염원 유출이 있었고, 모델에서 이를
정량적으로 반영하지 못한 결과로 판 단된다. SS 농도의 인위적 요인을 모두 고려하지 못하여 정 량적 평가에는 한계가 있지만, 모델 예측값이 실측값의
경향 을 대체로 잘 모의하고 있으며, 여름철 집중강우시 최고 농도 를 모의하는 것으로 판단되었다.
Fig. 5. Result of HSPF model calibration for the flow in Doam lake watershed.
3.3. 도암호 호소모델 재현성 검토
도암호 탁수현상 재현을 위해서 CE-QUAL-W2 모델은 2017년 1월 1일부터 2017년 12월 31일까지 기간에 대해 최 소계산간격 0.9초,
최대계산간격 3600초, 입출력 간격은 1일 로 설정하여 정확성 평가를 수행하였다. 도암호는 발전방류 중단 이후 2012년 중반까지 유입유량, 방류량
및 수위를 관 측하였으나, 2012년 이후부터 연속적인 관측자료가 부재한 상황이다. 따라서 본 연구에서 구축한 2017년 도암호로 유 입유량과 호내
수위에 대한 보정은 불가하여, 발전방류가 중 단된 2002년부터 관측자료가 존재하는 2011년까지 기간 중 2017년과 강우현상이 유사한 기간의 자료를
활용하여 모델 의 타당성을 평가하였다. 대관령 기상관측소 기준으로 도암 호의 연평균 강수량은 2017년 1025.3 mm이며 2002년부터 2011년까지
연평균 최대강수량은 2002년 2697.6 mm, 최소강 수량은 2008년 1128.6 mm이다. 따라서 연평균 강수량이 가 장 유사한 2008년의
유입유량과 수위자료를 기반으로 2017 년의 모델 물수지를 비교하였다. 2008년과 2017년의 일강우 량 패턴과 일최대강우강도를 비교하면, 2008년
7월 24일 212.5 mm/day과 2017년 7월 2일 132.1 mm/day을 기록하였다 (Fig. 6). Fig. 6에 제시한 도암호 내 수위 비교자료를 살펴보 면, 여수로를 통한 방류만으로 집중강우시를 제외하고 EL.695 m의 수위를 유지하고 있다. 도암호 내
유입유량은 집중강우시 2008년 7월 25일 212.5 m3/s과 2017년 7월 3일 132.1 m3/s의 첨두유량을 나타낸다. 2017년 모델 유입유량과 수위 자료는 집중강우 기간과 강우 강도를 고려하면 2008년 실측자료와 비교하여 신뢰할만한
결과를 도출하고 있는 것 으로 판단된다.
Fig. 6. (a) Annual precipitation, (b) comparison of daily precipitation, (c) surface water levels and (d) inflow in 2008 and 2017.
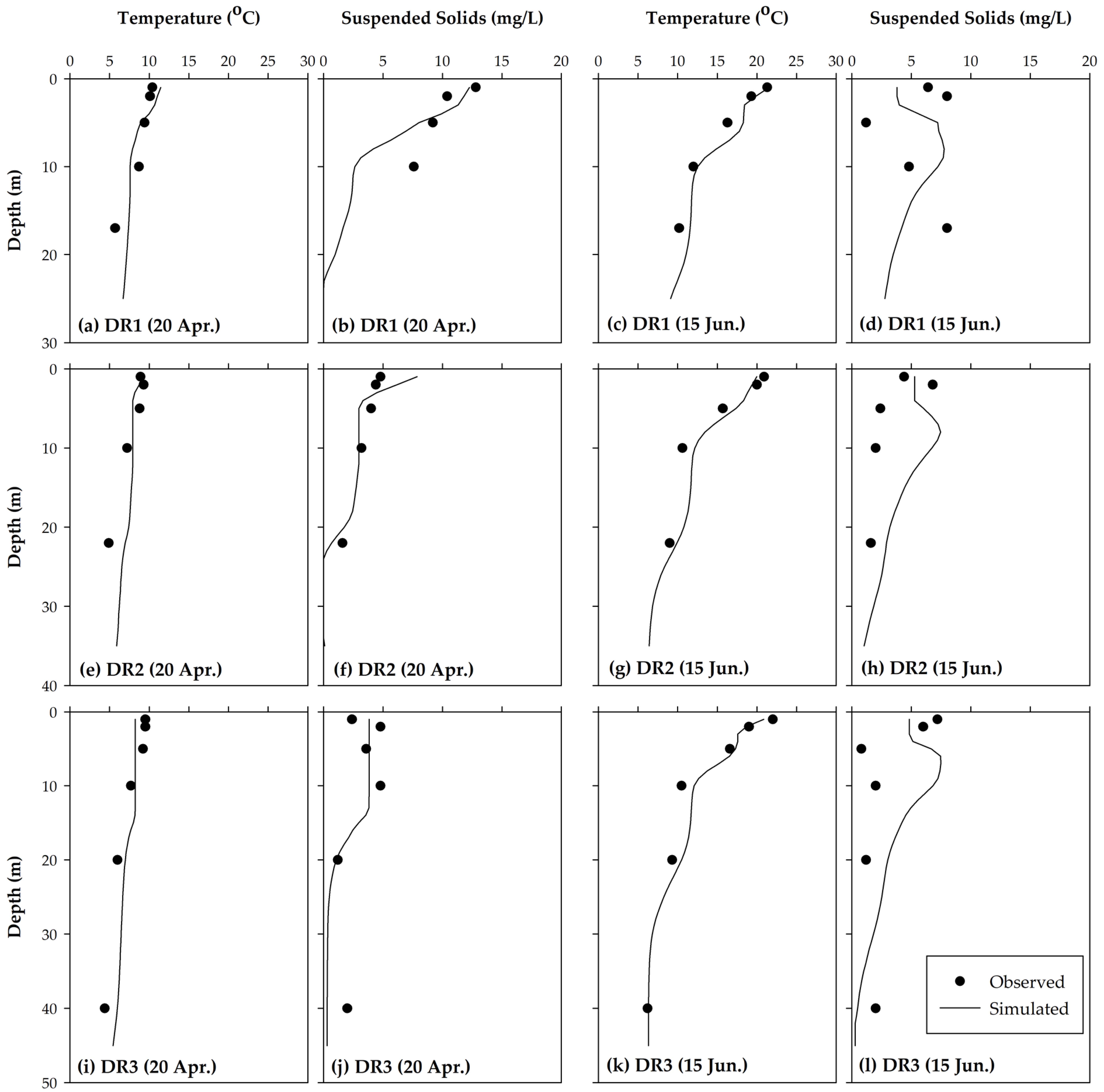
모델의 재현성을 평가하기 위하여 2017년 현장조사를 실 시한 도암호 유입부(DR1), 호내 중간부(DR2) 및 댐앞(DR3) 3개 지점에 대하여
모의결과와 실측치를 비교하여 Fig. 7에 제시하였다. SS의 RMSE는 1.7-3.6 mg/L, NSE는 0.2-0.62 및 %Diff.는 11.35-37.61의 값을 보이며 모델값과
실측값이 적 절히 일치하는 것으로 판단된다. 도암호 유입부 DR1 지점 의 SS 농도는 모델 결과와 실측값이 다른 지점에 비하여 크 게 나타나고 있으며,
이는 유역 내 유출량이 큰 시기에 수 질 변동을 일부 고려하지 못하였고 앞선 유역모델 결과의 동계올림픽 공사로 인한 하절기 토사유입과 연동된 오차
부 분으로 판단된다. 또한 도암호 내 수온 및 SS 연직 분포에 대한 2017년 4월과 6월 보정 결과를 실측값과 비교하여 Fig. 8에 제시하였다. 수온 연직 분포는 그림에서 보는 바와 같이 4월에는 상하층 간의 수온 차이가 거의 없는 것으로 나타나며, 6월에는 수심이 깊어짐에
따라 수온이 다소 감소 하는 경향을 보이고 있다. 모델 결과를 통하여 도암호의 열 수지가 수표면 수온의 연중 변화와 수온 성층 및 전도 현상 을 실제와
유사하게 재현하고 있는 것으로 판단된다. SS 분 포는 4월에는 모델이 호내 탁도 분포를 잘 모의하고 있는 것으로 판단되나 6월에는 탁도의 중층 유입하는
경향은 재 현하고 있으나 모델값이 중층과 심층에서 과대평가되는 것 을 보인다.
Fig. 7. Result of CE-QUAL-W2 model calibration for the SS concentration in Doam lake.
Fig. 8. Result of CE-QUAL-W2 model calibration for the vertical temperature and suspended solids in Doam lake.
3.4. 시나리오 모의에 따른 도암댐 발전방류수 수질 변화 분석
도암호 유역 및 호내 수질개선 대책별 시나리오를 적용하 여 각 시나리오에 대한 발전방류시 SS 농도를 비교하였다. 유역관리대책을 적용한 S1 시나리오를
모의한 결과, SS 평 균농도는 미미하게 감소하였으나 유의미한 효과를 보이진 않았다. 호내에 침강지 및 부유물질 차단막을 설치하는 S2 시나리오의
경우, 연간 평균 SS 농도는 약 4.6 % 감소하는 것으로 예측되었다. 선택방류 취수구 위치를 기존 EL.673 m 에서 상층 방향인 EL.683
m와 EL.688 m으로 이동시켜 수질 을 모의한 S3 시나리오에서는 SS 농도는 기존 대비 증가하 는 것으로 나타났다. 이는 2017년 6월 29일부터
7월 11일까 지 313.7 mm의 집중강우로 인해 높은 농도의 토사를 포함한 유출수가 수표면을 따라 이동하였고, 그에 따라 기존에 비해 높아진 취수구
높이에서 SS 농도가 높게 나타난다고 판단된 다. 그 후 집중 강우가 끝난 7월 중순부터는 호내로 유입된 토사가 가라앉거나 방류되면서 SS 농도가
낮게 나타났다.
유역과 호내 대책 및 취수구 높이 변경을 복합적으로 고려 한 S4 시나리오를 적용하여 수질을 예측한 결과, 연중 EL.673 m에서 취수하면 EL.683
m와 EL.688 m로 취수위치 를 변경할 때보다 수질이 양호한 것으로 나타났다. 모의 결 과를 살펴보면 6월 말부터 7월 중순까지의 집중 강우 시
호 내 SS 농도가 매우 높게 예측되었고, 집중 강우 이후 7월 11 일부터 8월 26일까지 유역에서 유입된 토사가 방류와 침전 으로 제거되는 시기에
EL.688 m에서 방류하는 경우 SS 농 도가 상대적으로 낮아졌다. S4 시나리오에서 2017년 7월 18 일 기준 SS 농도를 비교한 결과를 Fig.
9에 나타내었다. 이 전 강우는 7월 15-16일 양일간 21.0 mm이며, 취수구 높이에 따라 EL.673 m에서 방류할 경우 평균 SS 농도는 10.9
mg/L 이고, EL.688 m에서 방류시에는 7.8 mg/L로 예측되었다. 따 라서 EL.673 m에서 연중 취수하고 여름철 특정 시기에 EL.688
m로 취수구 높이를 변경하는 시나리오를 구성한 경 우 평균 수질이 가장 양호하게 예측되었다.
Fig. 9. Comparision of predicted SS concentration by withdrawal depth in scenario analysis.
도암호 발전방류 재개를 위해서는 호소수질기준 2등급 달성 이 선행되어야 하므로, 유역과 호내 대책 및 취수구 높이 위치 변경을 고려하여 SS 농도
5.0 mg/L 이하일 때 연간 방류가능한 일수를 산정하였다. 그 결과, S4 시나리오의 EL.673 m 방류시 에 약 290일 방류가 가능하였고
그 외에 다른 시나리오도 SS 농도 기준으로는 약 280일 가량으로 방류가 가능하였다. 연 간 EL.673 m에서 방류하고 여름철 특정 시기에만 EL.688
m 으로 취수구 높이를 상승 변경시에 SS 5.0 mg/L 이하로 방류 되는 일수는 약 290일로 동일하게 예측되나 SS 평균 농도는 상대적으로 개선되는
것으로 나타났다. 따라서 취수구 높이 에 따라 SS 농도가 달라지는 점을 고려하여 강우시 지속적인 탁도 모니터링을 통해 취수구 높이를 유동적으로 변경하는
방안이 수질 개선 효과가 가장 효과적으로 판단된다(Fig. 10).
Fig. 10. Comparision of predicted SS concentration according to scenario analysis.
4. Conclusion
본 연구는 비점오염원 저감대책이 호수 수질에 미치는 영 향을 살펴보기 위하여 유역의 유출과 호내 거동을 분석하여 그 효과를 정량적으로 평가하고, 그
평가를 기반으로 댐 운 영시 수질개선효과와 그 운영방안에 대한 가이드라인 제시 하기 위해 수행되었다. 이를 위하여 도암호 유역의 부유물질 유출량과
토사량을 모의하고, 부유물질의 호내 거동을 분석 하기 위하여 HSPF 유역모델과 CE-QUAL-W2 호소모델을 연계 적용하였다. 호내 수온 및 탁도의
수평·수직 분포 모 의 결과, 구축된 모델은 탁수의 중층유입 및 호내 장기 체류 현상을 잘 나타내어 도암호 유역과 도암호의 특성을 적절히 반영하는
것으로 판단된다.
유역과 호내 대책 및 취수구 높이 변경에 따른 수질개선효 과를 검토한 결과, 유역 토사유실 저감대책시나리오의 경우 저감효과가 미미하게 나타났다. 선택방류
취수구 위치를 상 층 방향으로 조정한 시나리오에서는 SS 농도는 증가하였다. 유역과 호소대책 및 취수구 높이 변경을 종합적으로 적용한 시나리오 분석결과,
현재 취수구 위치인 EL.673 m에서 연중 취수할 때 수질이 양호한 것으로 나타났지만 여름철 집중 강 우 이후 호내로 유입된 토사가 제거되는 시기에
EL.688 m에 서 방류하는 경우 더 높은 SS 농도의 저감효과를 보였다. 따 라서 연중 EL.673 m에서 취수하며 다량의 토사가 집중강우 시
유입되는 특정시기에 취수구 위치를 EL.688 m로 변경하 여 방류하는 것이 수질개선에 가장 효과적인 대책으로 분석 되었다. 호소수질기준 2등급 달성을
위해 SS 농도 5.0 mg/L 이하의 방류가능일수를 산정한 결과, 유역과 호내 대책 및 취수구 높이 변경 시나리오 적용시, 취수구 높이 EL.673
m 에서 방류하는 경우에 약 290일 방류가 가능하였다. 그 외 다른 시나리오도 약 280일 가량으로 차이가 거의 없었다. 따 라서 강우시 지속적인
모니터링을 통해 취수구 높이를 유동 적으로 변경하는 것이 도암호 수질관리 및 방류하천에 미치 는 영향에 유리할 것이며 추후 이를 고려한 현실적인 관리체
계를 설정할 필요가 있을 것으로 판단된다.
본 연구에서는 비점오염원 저감대책이 호수 수질에 미치는 영향을 살펴보기 위하여 부유물질의 유역 유출과 호내 거동 에 대한 분석을 통해 그 효과를 정량적으로
평가하고, 이를 기반으로 댐 운영시 수질개선 효과와 그 운영방안에 대한 지 침을 제시하였다. 따라서 본 연구의 결과는 기존의 유역관리 및 호내 대책
중심의 수질개선대책 효과를 포함하여 도암호 의 탁수 문제 해결을 위한 댐 운영의 가이드라인으로 활용될 수 있을 것이다.
Acknowledgement
이 논문은 정부의 재원으로 한국연구재단의 지원을 받아 수행된 기초연구사업입니다 (NRF-2018R1A6A1A08025520, NRF-2018R1D1A1B07049419).
References
An K.G., 2001, Seasonal patterns of reservoir thermal structure and water column mixis
and their modifications by interflow current, [Korean Literature], Journal of Korean
Ecology and Environment, Vol. 34, No. 1, pp. 9-19

Cho J.H., 2018, Pollutants removal efficiency of rainfall-runoff from dense highland
field areas in multistage sedimentation basins - focused on jaun area in upstream
watershed of lake soyang, [Korean Literature], Journal of Environmental Impact Assessment,
Vol. 27, No. 2, pp. 170-180

Choi J.W., Shin D.S., Lim K.J., Lee S.S., Kang M.J., 2012, Estimation suspended solids
concentration of the doam reservoir under dry and wet weather conditions, [Korean
Literature], Korean Journal of Environmental Agriculture, Vol. 31, No. 2, pp. 113-121

Choi Y.B., Choi B.S., Kim S.W., Lee S.S., Ok Y.S., 2010, Effects of polyacrylamide
and biopolymer on soil erosion and crop productivity in sloping uplands: A field experiment,
[Korean Literature], Journal of Korean Society of Environmental Engineers, Vol. 32,
No. 11, pp. 1024-1029

Chung S.W., 2004, Density flow regime of turbidity current into a stratified reservoir
and vertical two-dimensional modeling, [Korean Literature], Journal of Korean Society
of Environmental Engineers, Vol. 26, No. 9, pp. 970-978

Donigian A., 2000, HSPF training workshop handbook and CD, lecture# 19, calibration
and verification issues, slide# L19-22, Presented and Prepared for US EPA, Office
of Water, Office of Science and Technology, EPA Headquarters, Washington Information
Center

Heo S.G., Jun M.S., Park S.H., Kim K.S., Kang S.K., Ok Y.S., 2008, Analysis of soil
erosion reduction ratio with changes in soil reconditioning amount for highland agricultural
crops, [Korean Literature], Journal of Korean Society on Water Environment, Vol. 24,
No. 2, pp. 185-194

Jang S.S., Kim S.J., 2018, Assessment of climate change impact on best management
practices of highland agricultural watershed under RCP scenarios using SWAT, [Korean
Literature], Journal of the Korean Society of Agricultural Engineers, Vol. 60, No.
4, pp. 123-132

Kim B.R., Kang B.S., 2013, Parameter sensitivity analysis for spatial and temporal
temperature simulation in the hapcheon dam reservoir, [Korean Literature], Journal
of Korea Water Resources Association, Vol. 46, No. 12, pp. 1181

Kim Y.H., Kim B.C., Choi K.S., Seo D.I., 2001, Modeling of thermal stratification
and transport of density flow in soyang reservoir using a 2-D hydrodynamic water quality
model, [Korean Literature], Journal of the Korean Society of Water and Wastewater,
Vol. 15, No. 1, pp. 40-49

Korea Meteorological Administration (KMA), 2018, http://www.kma.go.kr/ (accessed Jun,
2018), Korea Meteorological Administration
Korea Rural Community Corporation (KRC), 2009, [Korean Literature], Survey and manual
for water quality improvement of agricultural reservoir, Korea Rural Community Corporation
Lee H.W., Kim E.J., Park S.S., Choi J.H., 2015, Effects of climate change on the movement
of turbidity flow in a stratified reservoir, Water Resources Management, Vol. 29,
No. 11, pp. 4095-4110

Lee S.I., Shin J.Y., Shin M.H., Joo S.H., Seo J.Y., Lee J.Y., 2017, Characteristics
of non-point pollutant runoff in highland field fields through long-term monitoring,
[Korean Literature], Journal of the Korean Society of Agricultural Engineers, Vol.
59, No. 4, pp. 85-98

Ministry of Environment (ME), 2004, [Korean Literature], Comprehensive measures for
the reduction of nonpoint pollution in highland areas, Ministry of Environment, pp.
3-44
Ministry of Environment (ME), 2014, [Korean Literature], Monitoring and evaluation
of doam lake nonpoint source management area (VI), Ministry of Environment, pp. 93
Ministry of Environment (ME), 2016, 11-1480358-000123-01. [Korean Literature], Monitoring
and evaluation of doam lake nonpoint source management area (VIII), Wonju Regional
Environmental office, pp. 3-21
Nash J.E., Sutcliffe J.V., 1970, River flow forecasting through conceptual models
part I-A discussion of principles, Journal of Hydrology, Vol. 10, No. 3, pp. 282-290

National Institute of Environment Research (NIER), 2010, [Korean Literature], Monitoring
and evaluation report on non-point pollution source management area in soyang lake
and doam basin (II), National Institute of Environment Research, pp. 3-63
National Institute of Environment Research (NIER), 2011, [Korean Literature], Assessing
the action plans in the control area of non-point source pollution(I), National Institute
of Environment Research, pp. 1-18
Shin C.M., Na E.Y., Lee E.J., Kim D.G., Min J.H., 2013, Operational hydrological forecast
for the Nakdong river basin using HSPF watershed model, [Korean Literature], Journal
of Korean Society on Water Environment, Vol. 29, No. 2, pp. 212-222

Yi H.S., Jeong S.A., Park S.Y., Lee Y.S., 2008, Modeling study of turbid water in
the stratified reservoir using linkage of HSPF and CE-QUAL-W2, [Korean Literature],
Journal of Korean Society of Environmental Engineers, Vol. 30, No. 1, pp. 69-78
