The Journal of
the Korean Society on Water Environment

The Journal of
the Korean Society on Water Environment

Bimonthly
  • ISSN : 2289-0971 (Print)
  • ISSN : 2289-098X (Online)
  • KCI Accredited Journal

Editorial Office


  1. 경기대학교 바이오융합학부 (Department of Bioconvergence, Kyonggi University)



Density flow, Electrical conductivity, Paldang, Stratification, Water quality

1. Introduction

팔당호는 남한강과 북한강 및 경안천이 합류되는 곳에 1973년 말에 댐이 축조되어 형성된 인공호이다. 1975년에 팔당호로부터 수도권으로 용수 공급을 시작한 이래, 현재 팔 당호는 약 2,500만 명에 달하는 급수인구를 가진 우리나라 최대 광역상수원이자 한강하류의 수질과 생태를 유지하기 위한 용수원이다. 따라서 취수 또는 하류로 방류되는 팔당댐 측의 수질은 언제나 중요한 이슈가 되고 있다. 또한 취수는 표층에서, 방류는 중층에서 이루어지므로 댐 측 수질의 연직 분포도 원수의 품질관리 측면에서 매우 중요하다.

팔당호는 평균수심이 6.5 m에 불과한 반면 유입유량이 방대 하여 연평균 체류시간이 2.6 ~ 9.0(평균 5.3)일로 짧고 전반적 으로 성층형성이 없는(Kong, 1997; Kong et al., 1996) 부영양 상태의 하천형 인공호로 분류된다(Kong, 2019; Kong and Kim, 2019). 그러나 최고 수심이 약 25 m인 댐 측은 여름철에 수온 구배에 따른 성층이 약하게 발달하고 이에 따른 수질의 연직적 인 차이가 나타난다(Kim, Park et al., 2002; Kong et al., 2007).

Kim, Park et al. (2002)은 팔당댐 측의 수온, 전기전도도, 용존산소포화도의 연직분포를 분석하고 특히 심층의 전기전 도도가 5월부터 9월까지는 감소하고 11월 이후 2 ~ 3월까지 는 증가하였다고 보고한 바 있다. 이 연구에서 심층 전기전 도도의 감소는 북한강 물의 유입에 따른 것으로 해석되었으 나 북한강 물이 심층으로 유입되는 기작에 대한 설명이 제시 되지 않았으며 수층 간 전기전도도의 차이에 대한 정량적인 평가가 수행되지 않았다.

Na et al. (2002)은 2차원 수리모델링을 통해 팔당댐 측의 성층은 미약하고 연직 수온 분포와 무관하게 중층의 수문 방 류량의 급격한 증감에 따라 수체의 연직 혼합이 야기된다고 보고한 바 있다. Na and Park (2007)은 3차원 수리모델링을 통해 팔당호는 수온성층이 미약하지만 남·북한강에 비해 수 온이 높은 경안천의 물이 댐 측의 표층으로 밀도류를 형성하 며 유입된다고 해석한 바 있다. 그러나 이 연구에서는 댐 측 상층부와 하층부 전기전도도의 연직구배의 계절적인 역전에 대해서는 다루지 않았다.

국내의 다른 인공호와 마찬가지로 팔당호의 수리와 수질은 여름철 몬순을 전후한 계절 변동은 물론 비주기적인 가뭄과 태풍으로 인한 연간 변동도 크다(Kim, Heo et al., 2002; Kong et al., 2018). 특히 팔당호의 상층부 수질은 여름철 이 후의 저수기에 비하여 봄철 또는 여름철에 식물플랑크톤의 번성과 더불어 수질이 악화되는 경향을 가진다(Kong et al., 2007; Park and Jheong, 2003). 하천형 호수인 팔당호의 수질 은 유입하천의 영향을 직접적으로 받고 있는데, 유입원인 남 한강과 북한강 및 경안천의 유역은 형상과 지질이 뚜렷이 다 르고 오염원의 유형과 분포도 다르다. 뿐만 아니라 남한강과 북한강은 댐군이 위치한 전형적인 조절하천(regulated river) 이기 때문에 수문조작(sluice control)에 따라 수리 및 수질의 변동도 심하다(Kong et al., 2018).

Kong et al. (2007)에 의해 북한강과 남한강의 수온 차에 의한 밀도류의 가능성이 제시되었으나 해당 연구에서도 수 층 간 전기전도도의 차이에 대한 정량적인 평가는 수행되지 않았으며, 이러한 밀도류에 의한 수질영향은 검토되지 않았 다. 또한 최근에 Kong (2018)Kong et al. (2018)에 의해 팔당호의 유입수, 전이대, 유출수로 이어지는 종적인 수질분 포의 특성이 파악된 바 있으나 연직적인 수질분포의 특성에 대한 세부적인 분석은 이루어지지 않았다.

팔당호의 밀도류는 정밀한 수리학적 조사를 통해 분석되어 야 하겠으나 그 대략적인 경향은 정성적인 지표로도 파악할 수 있다. 팔당호의 밀도류 분석을 위한 정성적 지표 중 가장 적합하게 활용될 수 있는 추적자는 전기전도도이다.

팔당댐 측 수온의 연직구배만으로 수층별 유입원을 변별하 는 것은 어렵지만 전기전도도의 연직구배는 특정 수층에 남 한강과 북한강의 물 중 어떤 물이 우세하게 유입 및 유출되 는지를 설명할 수 있다. 대기로부터의 열의 전도와 대류의 정도가 팔당댐 측 수온의 연직구배를 결정하는 주요인이겠 으나 이와 더불어 유입원의 수온차이 역시 성층을 강화하고 밀도류를 유발하는 요인이 될 가능성이 있다.

또한 팔당댐 측의 연직적인 수질구배는 유광층과 무광층의 생산과 호흡, 표층과 심층의 순환 정도로만 해석될 수 없다. 이는 수질이 서로 상이한 남한강과 북한강의 물이 각각 밀도 류를 이루며 어떤 층으로 선택 유입되었느냐에 따라서 연직 적으로 수질이 달라질 수 있기 때문이다.

본 연구는 팔당댐 측 전기전도도의 연직구배에 대한 평가 를 바탕으로 남한강과 북한강의 밀도류 형성을 정성적으로 진단하고, 밀도류가 수질의 연직적인 구배에 미치는 영향을 검토한 것이다. 이는 팔당호 취수원 수질의 시기적인 변화에 대한 이해와 더불어 향후 보다 정밀한 밀도류 해석을 위한 사전 연구로서 의미를 가진다.

2. Materials and method

2.1. 조사 지점 및 시기

팔당호 본류에 유입되는 남한강과 북한강의 경계는 각각 환 경부 물환경측정망의 강상 지점과 삼봉리 지점으로 정하였고, 유출되는 댐 측 경계는 팔당댐2 지점으로 정하였다(Fig. 1).

Fig. 1. Map showing water sampling stations (●) in the Paldang Reservoir.
../../Resources/kswe/KSWE.2019.35.6.557/JKSWE-35-557_F1.jpg

팔당호의 유입유량은 계절적으로 변동이 심하지만 연간의 변동도 작지 않다. 특히 최근 몇 년 간은 가뭄이 지속되면서 유황이 예년에 비해 매우 큰 변동을 보였다(Fig. 2). 지난 10 년 간 팔당호 유입유량의 변동에서 연속된 연간 변화가 가장 컸던 시기는 2013년과 2014년이었다. 2013년 연평균 유량은 612 m3/s로 평년 수준인 532 m3/s (Kong, 1997)보다 약간 큰 수준이었다. 이에 반해 2014년 팔당호의 연평균 유입유량은 232 m3/s 정도인데 이를 기준으로 환산된 연평균 체류시간은 약 12일이며 이는 Kong (1997)이 1974 ~ 1994년의 21년간 의 자료로 산출한 2.6 ~ 9.0일의 범위도 벗어나는 것이다. 이를 종합할 때 2013년과 2014년은 각각 팔당호의 수리 및 수질의 평년 특성과 갈수년의 특성을 연속적으로 보여 주는 좋은 예가 될 수 있다. 따라서 본 연구에서는 연속적이면서 도 뚜렷한 유황의 변화를 보이는 이 시기에 집중하여 밀도류 형성의 정도와 그에 따른 수질 특성을 비교하였다.

Fig. 2. Monthly and annual average inflow rates into the Paldang Reservoir, 2009~2018.
../../Resources/kswe/KSWE.2019.35.6.557/JKSWE-35-557_F2.jpg

2.2. 유량

팔당호의 유입유량과 청평댐의 방류량은 한강홍수통제소 에서 운영하는 국가수자원관리종합시스템(http://www.wamis.go.kr)의 자료에서 추출하였다.

북한강의 유입유량은 청평댐 방류량에 청평댐으로부터 팔 당호 유입부까지의 유역으로부터 유입되는 유량을 더하여 추정하였다. 후자는 경안천 유역의 면적비유량에 해당 유역 면적을 곱하여 추정하였는데, 경안천의 유량은 환경부 물환 경정보시스템(ME, 2019) 총량측정망 자료에서 추출하였다.

남한강의 유입유량은 최근 건설된 이포보의 방류량에 흑천 유량을 더하여 추정하였다. 이포보 방류량은 수자원공사 (http://www.water.or.kr)의 운영현황, 댐/보수문자료에서 추출 하였으며, 흑천 유량은 총량측정망 자료로부터 추출하였다.

2.3. 수질

본 연구에서 사용된 수질은 환경부의 물환경정보시스템 (http://water.nier.go.kr)의 수질측정망 자료부터 추출한 것이다.

2.4. 연직구배의 지표

댐 측 수질의 연직구배 정도는 상층부 값(수심 0 m, 5 m 측정치의 평균)과 하층부 값(수심 15 m, 20 m 측정치의 평 균)의 상대차(relative difference, RD)로 평가하였다(식 (1)). Kong (2019)은 국내외의 여러 자료를 바탕으로 성층이 형성 될 수 있는 호소의 깊이를 10 m로 설정한 바 있다. 팔당댐 측에서 수질시료는 표층을 포함하여 5m 간격으로 채수되고 있는데, 이 중 10 m는 중층에 해당한다. Kim, Park et al. (2002)Kong et al. (2007)의 연구결과는 물론 본 연구에서 사용한 자료에서도 수온, 전기전도도, 용존산소는 수심 10 m 를 경계로 뚜렷한 연직변화를 보인다. 따라서 본 연구에서는 수심 5 m까지는 바람에 의해 충분히 혼합되는 상부층으로, 수심 15 m 이하는 안정한 심층부로 구분한 것이다.

RD 값은 두 값의 일치 정도에 따라 –1부터 1의 범위를 가지는데, 0은 완전 일치를 의미하고 -1 또는 1은 어느 한 쪽 의 항목 값이 0일 때에 해당한다. 이 지표는 항목의 값이 작 은 범위에서는 변화에 민감하고 항목의 값이 큰 범위에서는 변화에 둔감한 단점이 있지만 절대적인 차이를 계량화하여 상대적으로 비교할 수 있다는 점에서 의미가 있다.

(1)
RD = C u - C l C u + C l

RD : 상대차

Cu : 상부층 항목 값

Cl : 하부층 항목 값

3. Results and Discussion

3.1. 유량

팔당호의 유입원 중 경안천의 유량은 전체 유입량의 2.3% 에 불과하여(Kong, 2018), 본류 수체의 수리 및 수질은 주로 남한강과 북한강에 의해 지배된다고 할 수 있다. Na and Park (2007)의 연구 결과처럼 기온이 올라가는 시기에 상대 적으로 수온이 높은 경안천의 물이 댐 측의 표층으로 얇은 층을 이루며 유입될 가능성이 있고, 해당 연구에서는 제시되 지 않았지만 기온이 급감하는 시기에는 반대로 수온이 낮은 경안천의 물이 댐 측의 심층으로 유입될 수 있다. 그러나 유 량비로 볼 때 그 영향도는 크지 않은 것으로 볼 수 있으므로 본 연구에서는 경안천의 영향에 대해서는 다루지 않았다.

2013년에 남한강과 북한강의 연간 유입유량은 323 m3/s와 283 CMS로 각각 남한강과 북한강의 평년 수준인 297 m3/s 와 235 m3/s (Kong, 1997)보다 약간 많았다. 이에 반해 2014 년에는 남한강과 북한강의 연간 유입유량이 각각 141 m3/s와 98 m3/s로 평년의 절반에도 미치지 못하는 수준이었다. 특히 몬순기에 강우가 많지 않았던 2014년의 유량은 이례적인 수 준으로 적었다(Fig. 3).

Fig. 3. Monthly average inflow rates of the north Han river and the south Han river into the Paldang Reservoir, 2013 ~ 2014.
../../Resources/kswe/KSWE.2019.35.6.557/JKSWE-35-557_F3.jpg

3.2. 수온 및 전기전도도

전기전도도는 비보존성이지만 대체로 변화가 크지 않기 때 문에 수괴의 이동에 대한 추적자로서 흔히 이용되어 온 지표 이다(Hooper and Shoemaker, 1986; Laundon and Slaymaker, 1997; Mosquera et al., 2018; Pellerin et al., 2008). 일반적으 로 담수에서 가장 많은 양이온과 음이온은 각각 칼슘이온과 탄산이온이며(Wetzel, 2001) 전기전도도는 이들 이온의 양에 따라 달라진다. 유역이 석회암 지대인 남한강은 화강암 지대 인 북한강에 비하여 전기전도도가 현저히 높고 다른 물질의 농도도 전반적으로 높다(Kong et al., 2007).

팔당호의 pH는 중성보다 약간 높은 8 내외의 값을 보이고 있으므로 수중의 무기탄소는 대부분 탄산수소이온(HCO3-)의 형태로 존재할 것으로 추정되며, 이러한 이온이 광합성에 의해 유의한 수준으로 변동할 가능성은 낮으며(Wetzel, 2001) 팔당 호의 조류증식 수준으로 볼 때 그 영향도는 더욱 낮다고 볼 수 있다. 수층별로 상부층에서는 조류의 광합성 과정에 이온성 물질의 흡수가 일어나고, 하부층에서는 조류의 호흡과 유기물 분해로 이온성 물질이 증가하며 수층별 pH의 차이가 탄산수소 이온과 탄산이온 간에 당량을 변화시켜 전기전도도에 영향을 미칠 수 있으나 그 수준은 미약할 것으로 보인다.

Kong (2018)은 2001년부터 2017년까지 팔당호의 봄철(3월 ~5월) 전기전도도는 평균수준에서 비교할 때 유입수, 호 내 의 전이대, 유출수 간에 공간적으로 거의 차이가 없음을 확 인한 바 있다. 따라서 본 연구에서는 팔당호의 수괴 이동에 대한 추적자로서 전기전도도를 적용하는데 무리가 없다고 볼 수 있다.

2013년과 2014년에 남한강 본류의 전기전도도는 팔당댐으 로부터 200 km 이상 떨어진 영월 지역부터 팔당호 유입부까 지 연평균 200 μS/cm 이상이었던 반면, 북한강 본류의 전기 전도도는 상류 100 km 이상 떨어진 소양강댐까지 100 μS/cm를 크게 상회하지 않는 수준이었다(Fig. 4). 오염원이 적 은 상류 수계에서도 남한강과 북한강의 전기전도도가 큰 차 이를 보이는 것은 지질의 조성이 다른데 기인한 것임을 의미 한다. 갈수년인 2014년의 전기전도도가 풍수년인 2013년의 그것에 비해 전반적으로 높은 것은 강우에 의한 희석 수준이 약화된 결과로 추정된다.

Fig. 4. Annual average of electrical conductivity at the north Han river and the south Han River in 2013 and 2014.
../../Resources/kswe/KSWE.2019.35.6.557/JKSWE-35-557_F4.jpg

북한강 본류 수계에는 대형 댐이 연속적으로 위치해 있는 반면 남한강 본류 수계의 댐은 팔당호 유입부로부터 약 100 km 상류에 위치한 충주댐이 유일하다. 이에 따라 댐 방류수 의 영향을 더욱 크게 받는 북한강의 수온은 봄부터 여름까지 가온기에는 남한강보다 낮고, 늦가을부터 겨울까지 감온기에 는 남한강보다 약간 더 높다(Kong et al., 2007). 수온이 다른 북한강과 남한강의 물은 팔당호에 합류되면서 연직적인 밀 도류를 형성할 수 있다. 즉 가온기에는 수온이 상대적으로 높은 남한강 물이 댐 측의 상층부로 유입되고 수온이 낮은 북한강 물은 하층부로 유입되는 반면, 감온기에는 그 반대의 양상이 나타날 수 있다.

남한강과 북한강의 수온(Fig. 5a)과 댐 측의 수온(Fig. 5b) 은 2013년에 비해 2014년에 전반적으로 높았다. 강우가 많 았던 2013년 여름철의 수온은 변동이 컸던 반면 2014년에는 변동이 작았다. 댐 측 상층부와 하층부의 수온차이는 2014년 7월에 약 5 °C로 가장 컸다.

Fig. 5. Water temperature and electrical conductivity; (a), (c): the inflow, (b), (d): the dam site.
../../Resources/kswe/KSWE.2019.35.6.557/JKSWE-35-557_F5.jpg

2014년 3월부터 12월까지 평균수온은 2013년의 같은 기간 에 비해 약 2 °C 정도 높았으며, 특히 3월부터 7월까지 가온 기에 남한강과 북한강의 수온은 2013년 같은 기간에 비해 평균적으로 약 4 °C 정도 높았고 댐 측의 상층부는 약 3 °C 가 높았다(Table 1).

Table 1. Average water temperature (°C) of the inflow and the dam site of the Paldang Reservoir
Year Season Inflow Damsite


Sambongri(north Han river) Gangsang(south Han river) Flow-weighted mean Upper layer(< 5 m) Lower layer(> 15 m) Whole layer

2013 Mar. ~ Jul. 13.9 15.2 14.5 15.1 14.3 14.4
Aug. ~ Oct. 20.8 22.8 21.9 22.3 20.7 21.4
Nov. ~ Dec. 7.9 7.3 7.5 7.6 7.7 7.6

Mar. ~ Dec. 14.8 15.9 15.3 15.7 14.9 15.1

2014 Mar. ~ Jul. 17.6 19.0 18.3 17.8 14.8 16.2
Aug. ~ Oct. 21.4 22.6 22.1 22.6 21.0 21.8
Nov. ~ Dec. 8.0 7.4 7.6 9.4 9.3 9.3

Mar. ~ Dec. 16.8 17.7 17.2 17.9 15.8 16.8

남한강의 수온은 북한강에 비하여 3월 ~ 10월에 평균 1.5 °C가 높은 반면 기온 급감기인 11월 ~ 12월에는 약 1 °C가 낮았다. 이러한 경향은 Kong et al. (2007)에 의해서도 확인 된 바 있다. 댐 측 하층부의 수온은 3월부터 10까지 상층부 에 비해 낮았고 11월 ~ 12월에는 상층부와 차이가 없었다. 남한강과 북한강의 평균 수온과 댐 측의 전 층의 평균 수온 을 비교하면 2013년은 비슷한 수준인 반면, 2014년 가온기 에는 유입수의 수온이 댐 측보다 높고 감온기에는 댐 측의 수온이 높은 양상을 보였다. 2014년에는 호의 수리학적 교체 를 야기하는 집중호우가 없어 수체가 안정된 조건이었으므 로 팔당호의 열용량에 따른 온도 변화의 지연이 있었던 것으 로 해석된다.

댐 측 수온의 연직구배는 대기로부터의 열의 전도와 대류 와 아울러 남한강과 북한강의 밀도류의 영향을 받겠지만 전 자와 후자를 정량적으로 분리하는 것은 용이한 일이 아닐 것 이다. 이러한 복합적인 영향으로 조성되는 댐 측 수온의 연 직구배 사상에서 나타나는 시기별 수온경사 중 최대값은 Fig. 6과 같다. 일반적으로 최대 수온경사 값이 1 °C/m를 초 과하면 수온약층이 발달된 것으로 보는데(Wetzel, 2001), 팔 당댐 측의 수온경사는 이 기준에는 미치지 못한다. 그러나 풍수년인 2013년에는 5월부터 8월까지, 갈수년인 2014년에 는 4월부터 10월까지 미약한 수준의 성층이 형성된 것으로 볼 수 있다. 또한 최대 수온경사 값의 변동을 볼 때 여름철 에 집중강우가 많았던 2013년에는 성층이 약하고 불안정하 였던 반면 갈수년인 2014년에는 성층이 더욱 강하고 안정적 이었음을 알 수 있다.

Fig. 6. Maximum vertical temperature gradient at the dam site.
../../Resources/kswe/KSWE.2019.35.6.557/JKSWE-35-557_F6.jpg

남한강의 전기전도도는 북한강에 비하여 2배 이상 높은 수 준이었다(Fig. 5c). 2013년에 유량이 많았던 7월과 8월에 전 기전도도가 감소하는 경향을 보였는데 이는 강우에 따른 희 석에 의한 것으로 판단된다. 갈수년인 2014년은 전기전도도 가 2013년에 비해 높았으며 특히 6월 ~ 7월에 북한강의 전 기전도도는 평상시보다 매우 높은 수준을 보였다. 이는 오염 물질의 유입이 많은 여름철에 이를 희석할 수 있는 유량이 적은 경우에 나타나는 양상이라고 판단된다. 환경부 물환경 측정망 자료를 살펴보면 2014년 외에도 갈수가 지속되는 여 름철에 삼봉리 지점의 전기전도도가 높게 나타나는 것이 확 인되는데 그 원인을 밝히기 위해서는 추후 시공간적인 정밀 조사가 필요할 것으로 생각된다.

댐 측 하층부의 전기전도도는 여름철에 상층부에 비하여 낮은 수준을 보이지만 2013년 7월과 8월의 집중강우 시기에 는 변동이 심하고 표층과 차이를 보이지 않는다(Fig. 5d). 이 러한 시기에는 상층과 하층 간 수온도 거의 같은 수준을 보이 므로(Fig. 5b) 연직적인 순환이 일어나는 상태임을 알 수 있 다. 팔당호에서 집중강우로 인한 수문방류 시기의 연직순환 에 대해서는 이미 Kim, Park et al. (2002)의 현장조사 및 Na et al. (2002)의 모델링 결과에서도 확인된 바 있다. 2014년 6 월 ~ 7월에 북한강의 전기전도도가 매우 높았음에도 불구하 고 댐 측 하층부의 전기전도도는 그보다 현저히 낮은 수준을 보였다. 이 시기에 북한강의 수온은 예년보다 높은 수준을 보 였고 남한강의 수온과도 큰 차이를 보이지 않았던 반면(Fig. 5a), 댐 측은 상층부와 하층부의 수온 차이가 뚜렷한 상태였 다(Fig. 5b). 따라서 이 시기에는 남한강은 물론 북한강의 물 도 댐 측의 상층부로 이동하였을 가능성이 있으며, 해당 시기 의 댐 측 상층부 전기전도도가 남한강과 북한강의 전기전도 도를 평균한 값과 비슷한 수준이었다는 점이 그 증거가 될 수 있다. 즉 2014년 6월 ~ 7월의 댐 측 하층부의 수괴는 6월 이 전의 북한강 물이 정체되어 있는 상태로 해석된다.

2013년 3월 ~ 11월 기간의 남한강과 북한강의 유량가중평 균 전기전도도는 159 μS/cm이고 댐 측 전층의 평균 전기전 도도는 152 μS/cm로 큰 차이가 없었으며, 2014년 같은 기간 에는 각각 193 μS/cm와 184 μS/cm로 역시 큰 차이가 없었 다. Kong (2018)이 보고한 바 있는 팔당호 전기전도도의 보 존성은 본 연구에서도 재확인 되었으며, 이는 팔당호의 밀도 류 해석에서 전기전도도를 추적자로 이용하는데 무리가 없 다는 근거가 될 수 있다.

시기별로 구분할 때 봄부터 가을까지는 하층부의 전기전도 도가 상층부보다 낮아지는데 풍수년인 2013년에는 해당시기 가 5월 ~ 9월이었으며 갈수년인 2014년에는 4월 ~ 10월로 확장되었다(Table 2). 기온 급감기인 10월 또는 11월부터 댐 측 하층부의 전기전도도는 상층부에 비하여 높아지며 이러 한 양상은 다음 해 3월 또는 4월에도 계속되었다. 이와 같은 양상은 Kim, Park et al. (2002)이 1996 ~ 1998년의 자료에 서 확인한 바 있으며, Kong et al. (2007)이 2004 ~ 2005년 자료에서도 확인한 바 있다. 현재까지 팔당호에서 동절기 수 질의 수직구배에 대한 조사는 시행된 바 없다. 그러나 기존 연구뿐만 아니라 본 연구를 통해서 볼 때 해당 자료가 없는 1월 ~ 2월에도 하층부의 전기전도도가 상층부에 비하여 높 은 수준을 유지하고 있을 가능성이 크다.

Table 2. Average electrical conductivity (µS/cm) of the inflow and the dam site of the Paldang Reservoir
Year Season Inflow Damsite


Sambongri (north Han river) Gangsang (south Han river) Flow-weighted mean Upper layer (< 5 m) Lower layer (> 15 m) Whole layer

2013 Mar. 94 211 161 154 189 157
Apr. 93 219 167 159 184 165
May ~ Sep. 91 186 138 152 108 128
Oct. 93 210 166 167 192 167
Nov. 92 234 183 181 208 190
Dec. 95 249 193 166 232 196

Mar. ~ Dec. 92 205 159 159 145 152

2014 Mar. 97 257 166 167 189 189
Apr. 99 241 187 206 184 198
May ~ Sep. 131 233 187 198 135 164
Oct. 116 222 197 210 192 213
Nov. 122 248 215 193 208 204
Dec. 109 276 230 228 232 235

Mar. ~ Dec. 119 241 193 199 173 184

남한강과 북한강의 유량가중평균 전기전도도와 댐 측의 전 층의 평균 전기전도도를 비교할 때 3월 ~ 12월의 전 기간 의 평균값은 거의 비슷한 수준을 보인다. 그러나 시기적으로 하층부의 전기전도도가 낮아지는 여름철에는 유입수보다 댐 측의 전기전도도가 낮고 그 외의 시기에는 댐 측의 전기전도 도가 대체로 높은데 이는 유출부(표층 취수, 중상층 방류)의 전기전도도의 시기별 차이에 따른 것으로 판단된다. 즉 하층 부의 유출은 제한되기 때문에 하층부가 낮은 전기전도도를 가질 때는 댐 측의 전 층의 평균 전기전도도가 유입수에 비 해 낮아지고, 하층부가 높은 전기전도도를 가질 때는 댐 측 의 전 층의 평균 전기전도도가 유입수에 비해 높아지는 것으 로 해석할 수 있다.

상부층과 하부층의 전기전도도의 상대차는 봄부터 가을(4, 5월 ~ 9월)까지 특히 여름(6월 ~ 8월)에 양의 값을 가지는데 이는 남한강 물이 상층부로 유입되었음을 의미하고, 다른 시 기의 상대차는 음의 값을 가지는데 이는 남한강 물이 하층부 로 유입되었음을 의미한다. 여름철 상대차는 갈수년인 2014 년이 풍수년인 2013년보다 더 큰 값을 보이고 안정적이었다. 이에 반해 2013년에는 상대차가 작고 불안정하였는데 이는 상대적으로 수온의 연직구배가 작고(Fig. 7), 집중강우에 의 한 교란이 컸기 때문이라고 판단된다.

Fig. 7. Relative difference (RD) of electrical conductivity between the upper layer and the lower layer at the dam site.
../../Resources/kswe/KSWE.2019.35.6.557/JKSWE-35-557_F7.jpg

이상의 결과를 종합할 때 봄부터 가을까지(주로 6 ~ 8월 의 여름)는 수온이 낮고 전기전도도가 낮은 북한강 물이 댐 측의 하층부로 밀도류를 형성하며 유입되고, 수온이 높고 전 기전도도가 높은 남한강 물은 댐 측의 상층부로 밀도류를 형 성하며 유입되는 것으로 추정된다. 이와 반면 그 외의 시기 에는 수온이 낮고 전기전도도가 높은 남한강 물이 댐 측의 하층부로 유입되고, 수온이 높고 전기전도도가 낮은 북한강 물은 상층부로 유입되는 것으로 판단된다.

남한강의 수온이 북한강에 비해 상승하는 현상은 3월부터 시작되지만 댐 측의 상층부 전기전도도가 높아지는 현상은 4 월(2014년) 또는 5월(2013년)부터 시작되는 것은 물 흐름의 시차에 의한 것으로 보인다. 2014년에 댐 측의 상층부의 전 기전도도가 상승하는 시기가 2013년의 5월의 경우보다 더 이른 시기인 4월부터 시작된 것은 2013년에 비해 갈수년인 2014년의 3월에 남한강의 수온 상승이 더욱 현저하였기 때 문이라고 판단된다. 또한 이러한 경향이 2013년에는 9월까 지 계속되었으나 2014년에는 10월까지 연장된 것은 갈수년 인 2014년의 가을시기에 체류시간이 상대적으로 길어 냉각 된 남한강 물에 의한 수리학적 교체가 지연되었기 때문이라 고 판단된다.

10월 또는 11월부터 시작된 하층부의 전기전도도의 상승 이 이듬해 3월 또는 4월에도 계속되는 것은 동절기 결빙층 아래로 남한강에 비하여 상대적으로 수온이 높은 북한강의 댐 방류수가 유입되고 그 영향이 3월 또는 4월까지 시차를 가지고 댐 측의 연직분포에 영향을 미친 것으로 판단된다. 향후 결빙기에 유입부와 댐 측의 수온과 전기전도도의 연직 분포에 대한 조사가 필요하다고 판단된다.

댐 측 표층수의 봄철 저수기 수질이 악화되고 특히 가을철 저수기에 비해 수질이 불량한 것이 다수 지목되었으나 이는 이 시기가 북한강에 비해 상대적으로 수질이 좋지 않은 남한 강 물이 상부층으로 유입되는 시기라는 점에서 개연성이 있 다고 판단된다. 남한강 물은 북한강에 비해 유기물 오염도도 높을 뿐만 아니라 영양물질 농도도 높기 때문에 상부의 유광 층에서 조류발생을 촉진시킴에 따라 유기물 농도를 가중시 킬 수 있다.

3.3. 수질 영향

댐 측 전기전도도의 수층 간 상대차와 다른 수질항목 간 상대차와의 선형 상관계수 및 유의도는 Table 3과 같이 나타 났다.

Table 3. Pearson correlation coefficient (r) and significance level between relative differences of water quality items and that of electrical conductivity between the upper layer and the lower layer
Item r Item r

WT 0.62 p < 0.001 TN 0.58 p < 0.001
pH 0.52 p < 0.001 DTN 0.61 p < 0.001
DO 0.51 p < 0.001 NH3-N -0.32 p < 0.01
TOC 0.70 p < 0.001 NO3-N 0.39 p < 0.001
BOD 0.55 p < 0.001 TP 0.21 -
COD 0.67 p < 0.001 DTP 0.51 p < 0.001
TSS -0.28 p < 0.05 PO4-P -0.14 -
Chl.a 0.47 p < 0.001

남한강의 전기전도도가 북한강에 비해 시기적으로 일관성 있게 높고 다른 수질항목도 이와 같은 경향을 보일 뿐만 아 니라 호 내에서 물질변화가 적다면 댐 측 전기전도도의 수층 간 상대차와 다른 수질항목의 수층 간 상대차 사이에는 높은 양의 상관관계나 나타날 것이다. 비록 상관계수 값이 높게 나타나는 경우에도 밀도류에 상관없이 단지 수온성층에 따 라서도 연직구배가 나타날 수 있거나 호 내 거동이 큰 항목 과 아울러 유입원인 남한강과 북한강의 수질 값이 시기적으 로 일관성 있는 차이를 보이지 않아 밀도류의 영향을 판단하 기 어려운 항목은 세부적인 추가 분석에서 제외하였다.

  1. 수온성층에 따라 연직구배가 나타나 밀도류 자체의 수 질영향을 평가하기에는 부적합한 항목; 클로로필a, pH, DO의 수층 간 상대차는 전기전도도의 수층 간 상대차 와 고도로 유의한 상관관계를 보이고 있으나 수온성층 에 의한 효과를 분리하기 어려움

    • 클로로필a: 식물플랑크톤의 광합성과 호흡으로 상부 유광층에서는 증가하고 하부층에서는 감소하여, 밀도 류에 상관없이 대체로 상부층이 높게 나타남.

    • pH와 용존산소: 식물플랑크톤의 광합성과 호흡, 기체의 용해와 대류 정도에 따라 대체로 상부 유광층에서 높음

  2. 호내 거동이 커서 밀도류의 수질영향을 평가하기 어려 운 항목

    • 부유물질과 인: 부유물질은 강우 시 유입되어 하부층 으로 침강하고 상당량의 인이 부유물질과 흡착된 상 태로 유입되어 공침됨

    • 이온성 물질: 다양한 형태의 무기질소, 무기인 등은 분해 또는 조류에 의한 흡수로 인해 변동이 심함

  3. 남한강과 북한강의 값 차이가 일관적이지 않아 밀도류 의 수질영향을 평가하기 어려운 항목

    • 수온: 가온기와 감온기에 남한강과 북한강의 수온은 서로 역전됨

    • 부유물질과 인: 주로 강우 시 집중 유입되는 물질로서 유역에서의 강우의 시기적인 불일치에 따라 남한강과 북한강의 농도차이가 시기적으로 일관적이지 않음

이상의 세 가지 제약조건에 해당되는 정도가 가장 적은 수 질항목으로서 TOC와 TN을 선정하였다. 생물학적 반응을 통 하여 수층 간에 질소의 존재형태가 변할지라도 총질소의 형 태로는 큰 차이가 없다고 가정하였다. TOC는 조류의 성장과 함께 유광층에서 선택적으로 증가될 수 있기는 하지만 댐 측 의 수심이 상대적으로 깊지 않은 점에서 침강된 조류기원 또 는 외부기원 유기물의 분해 정도가 크지 않은 것으로 보아 검토대상에 포함한 것이다.

북한강에 비해 남한강의 TOC 농도는 전반적으로 높은 상 태이지만 봄철 또는 가을철에는 비슷한 수준을 보이며 여름 철에도 시기에 따라서는 북한강에 비해 낮은 농도를 보이기 도 하였다(Fig. 8a). TN 농도 역시 북한강에 비해 남한강이 전반적으로 높은 상태이지만 일부 시기에는 농도 차이가 크 지 않았다(Fig. 8b). 이에 따라 댐 측의 수층 간 TOC 및 TN 의 상대차는 대략적으로 전기전도도의 상대차와 비슷한 경 향을 보이고 있으나 유입수의 남한강과 북한강의 농도 차이 가 크지 않은 시기에는 경향이 보이지 않았다(Fig. 8c, 8d).

Fig. 8. Temporal variation of total organic carbon (TOC) and total nitrogen (TN) of the inflow ((a), (b)); Relative differences of electrical conductivity, TOC and TN between the upper layer and the lower layer at the dam site ((c)~(d)).
../../Resources/kswe/KSWE.2019.35.6.557/JKSWE-35-557_F8.jpg

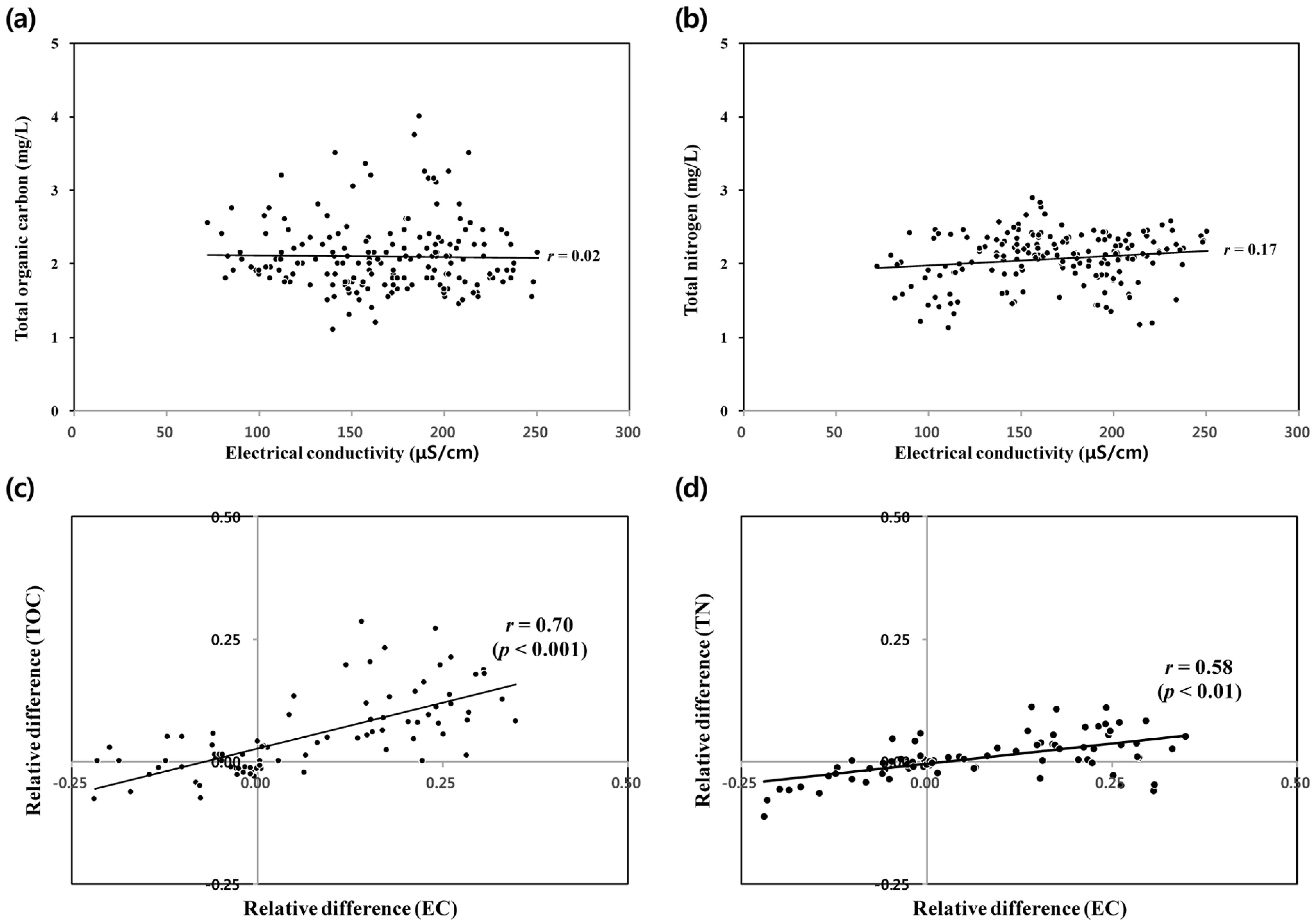
댐 측의 상층부와 하층부에서 전기전도도와 TOC 또는 TN 사이에는 유의한 상관관계가 나타나지 않았다(Fig. 9a, 9b). 이는 북한강의 전기전도도와 TOC 및 TN 농도가 남한강의 그것들에 비하여 전반적으로 낮고 댐 측에서 밀도류에 의해 연직적으로 구분된다 하더라도 유입수의 전기전도도의 시간 적 변동(Fig. 5c)과 TOC 및 TN의 시간적 변동 간에 관계가 뚜렷하지 않기 때문에 비롯된 결과로 보인다.

Fig. 9. Relationship between TOC, TN and electrical conductivity ((a)~(b)) at the dam site; Relationship between relative differences of TOC, TN and that of electrical conductivity between the upper layer and the lower layer ((c)~(d)).
../../Resources/kswe/KSWE.2019.35.6.557/JKSWE-35-557_F9.jpg

그러나 동일한 시점에서 전기전도도의 수층 간 상대차와 TOC의 수층 간 상대차는 고도로 유의한 상관관계(r = 0.70, p < 0.001)를 보였다(Fig. 9c). 전기전도도의 수층 간 상대차 와 TN의 수층 간 상대차는 매우 유의한 상관관계(r = 0.58, p < 0.01)를 보였다(Fig. 9d). 전기전도도의 상대차는 TOC와 TN의 상대차에 대하여 각각 48%와 34%의 설명력을 보이고 있다.

전기전도도의 상대차와 다른 항목의 상대차 사이의 상관관 계는 남한강의 전기전도도가 북한강보다 높고 비교 대상이 되는 항목도 남한강의 농도가 북한강에 비해 높다는 가정하 에 성립되는 것이다. 남한강의 전기전도도 또는 비교대상 항 목의 값이 북한강의 값보다 크지 않거나 오히려 낮은 경우에 는 상관성이 떨어질 수밖에 없다. 또한 2014년 6월 ~ 7월에 나타나는 가능성의 예처럼 북한강과 남한강의 물이 분리되 지 않고 댐 측 상층부로 밀도류를 이루며 이동하는 경우에는 하층수와 상층수의 기원에 시차가 발생하며 이는 위의 상대 차 간 상관성을 떨어뜨리는 요인이 된다. 따라서 전기전도도 의 상대차와 비교대상 항목의 상대차 간 상관성이 낮다고 하 여 밀도류에 의한 수질영향이 무시될 수 있는 것은 아니다. 그러므로 본 연구에서 접근한 방법보다 밀도류에 의한 수질 영향을 보다 명확하게 판단할 수 있는 지표에 대한 연구가 후속될 필요가 있다고 판단된다.

4. Conclusions

팔당호로 유입되는 북한강은 상류 수계에 연속적으로 위치 한 댐의 방류수의 영향을 크게 받기 때문에 남한강보다 봄부 터 가을까지 수온이 낮고 그 외의 시기는 수온이 높다. 이는 댐 측으로 밀도류를 야기하는 요인이 될 수 있다.

석회암 지질의 남한강은 화강암 지질의 북한강보다 거의 항상 전기전도도가 높기 때문에 호 내의 전기전도도의 분포 는 호 내의 물 흐름을 해석하기 위한 좋은 지표가 될 수 있다.

댐 측 전기전도도의 연직구배의 시기별 변화를 볼 때 봄부 터 가을까지(주로 6 ~ 8월 여름철) 남한강은 상부층으로 유 입되고 북한강은 하부층으로 유입되며 다른 시기에는 그 반 대의 경향을 보이는 것으로 분석되었다. 봄철 가뭄으로 남한 강의 수온이 더욱 상승하고 여름철에 유량이 적은 해에는 남 한강의 밀도류가 조기에 시작되고 종료가 연장된다.

1 ~ 2월의 결빙기에 북한강 물이 댐 측의 상부층으로 밀 도류를 형성할 가능성이 높으나 아직까지 이를 확인할 자료 가 없다. 향후 결빙층 아래의 수온과 전기전도도의 연직분포 에 대한 조사가 필요하다. 특히 11월 이후 3월 또는 4월까지 댐 측의 상층부와 하층부 사이에 수온의 차이가 현저하지 않 은 상태임에도 전기전도도가 큰 차이를 보이는 것을 이해하 기 위해서는 해당 시기의 물흐름에 대한 정밀조사가 필요할 것이다.

남한강과 북한강의 밀도류의 형성으로 전기전도도의 연직 구배와 다른 수질 항목의 구배가 유의한 상관관계를 보이는 것으로 확인되었으나 밀도류의 수질영향을 정확하게 평가하 기 위해서는 보다 적합한 지표에 대한 연구가 후속되어야 한다.

팔당댐 앞 수질의 연직구배는 수질이 서로 다른 남한강과 북한강의 밀도류와 아울러 수온성층의 복합적인 영향에 따른 것으로 볼 수 있다. 본 연구에서 보여주듯이 전기전도도를 추 적자로 하여 추정된 밀도류가 수질의 연직구배를 설명하는 정 도가 높지 않은 만큼 수온성층만을 가지고 수질의 특성을 해 석하는 것 역시 한계가 있을 것이다. 이 두 요인이 수질에 미 치는 요인을 정량적으로 해석하기 위해서는 추후 수평 및 수 직적인 정밀모니터링을 기반으로 한 수리수문과 열수지 및 추 적자를 포함한 수질 분포에 관한 연구가 후속될 필요가 있다.

References

1 
Hooper R.P., Shoemaker C.A., 1986, A comparison of chemical and isotopic hydrograph separation, Water Resource Research, Vol. 22, No. 10, pp. 1444-1454Google Search
2 
Kim J., Heo S., Noh H., Yang H., Jeong W., Lim Y.T., 2002, Seasonal and long-term tend of water quality in lake Paldang, [Korean Literature], Journal of Korean Society on Water Environment, Vol. 18, No. 1, pp. 67-76Google Search
3 
Kim J., Park J., Noh H., Han M.S., 2002, Changes of seasonal and vertical water quality in Soyang and Paldang river-reservoir system, Korea, [Korean Literature], Korean Journal of Limnology, Vol. 35, No. 1, pp. 10-20Google Search
4 
Kong D., 2018, Phosphorus budget of a river reservoir, Paldang, [Korean Literature], Journal of Korean Society on Water Environment, Vol. 34, No. 3, pp. 270-284Google Search
5 
Kong D., 2019, Statistical analysis on water quality characteristics of large lakes in Korea, [Korean Literature], Journal of Korean Society on Water Environment, Vol. 35, No. 2, pp. 165-180Google Search
6 
Kong D., Kim B., 2019, Suggestion for trophic state classification of Korean lakes, [Korean Literature], Journal of Korean Society on Water Environment, Vol. 35, No. 3, pp. 248-256Google Search
7 
Kong D.S., 1997, Limnological and ecological characteristics of a river-reservoir (Paldang), Korea, Korean Journal of Limnology, Vol. 30, pp. 524-535Google Search
8 
Kong D. S., Chung I. Y., Kim S. S., Yang H. J., Kim S. M., Lee H. J., Park J. H., Kang T. G., Kim B. I., Park H. K., Byeon M. S., Chung M. S., Kim S. H., 2007, [Korean Literature], Multidimensional analysis on material transport in lake Paldang (I), National Institute of Environmental Research, NIER No. 2007-59-915
9 
Kong D.S., Yoon I.B., Ryu J.K., 1996, Hydrological Characteristics and Water Budget of Lake Paldang, [Korean Literature], Korean Society of Limnology, Vol. 29, No. 1, pp. 51-64Google Search
10 
Kong D., Min J.K., Byeon M., Park H.K., Cheon S.U., 2018, Temporal and spatial characteristics of water quality in a river-reservoir (Paldang), [Korean Literature], Journal of Korean Society on Water Environment, Vol. 34, No. 5, pp. 470-486Google Search
11 
Laudon H., Slaymaker O., 1997, Hydrograph separation using stable isotopes, silica and electrical conductivity: an alpine example, Journal of Hydrology, Vol. 201, No. 1-4, pp. 82-101Google Search
12 
Ministry of Environment (ME), 2019, http://water.nier.go.kr/waterMeasurement/selectWater.do (accessed Nov. 2019), Water Environment Information System (WEIS)
13 
Mosquera G.M., Segura C., Crespo P., 2018, Flow partitioning modelling using high-resolution isotopic and electrical conductivity data, doi: http://dx.doi.org/10.3390/w10070904, Water, Vol. 10, pp. 904Google Search
14 
Na E.H., Park S.S., 2007, A three-dimensional modeling study of lake Paldang for spatial and temporal distributions of temperature, current, residence time, and spreading pattern of incoming flows, Journal of Korean Society of Environmental Engineers, Vol. 27, No. 9, pp. 978-988Google Search
15 
Na E.H., Ahn K.H., Park S.S., 2002, A modeling study of seasonal overturn and vertical thermal profiles in the Paldang lake, Journal of Korean Society of Environmental Engineers, Vol. 24, No. 5, pp. 901-910Google Search
16 
Park H.K., Jheong W.H., 2003, Long-term changes of algal growth in lake Paldang, [Korean Literature], Journal of Korean Society on Water Environment, Vol. 19, No. 6, pp. 673-684Google Search
17 
Pellerin B.A., Wollheim W.M., Feng X., Vörösmarty C.J., 2008, The application of electrical conductivity as a tracer for hydrograph separation in urban catchments, Hydrological process, Vol. 22, pp. 1810-1818Google Search
18 
Wetzel R.G., 2001, Limnology, Academic Press, pp. 1-1006