이승원
(Seung Won Lee)
aiD
차성민
(Sung Min Cha)
b†iD
-
전라남도환경산업진흥원 실증시험팀
(Team of Environmental Technology Demonstration, Jeollanamdo Environmental Industries
Promotion Institute (JEIPI))
© Korean Society on Water Quality. All rights reserved.
Key words
Decentralized Rainwater Management, Infiltration Trench, Low Impact Development, Maintenance
1. Introduction
도시지역의 왜곡된 물순환을 회복하기 위하여 한국 뿐만 아니라 미국, 독일, 영국, 호주 등 전세계적으로 저영향개발 기법을 도입 및 적용중에 있다.
저영향개발기법(Low Impact Development, LID)은 분산형빗물관리 기법과 유사한 개념으 로 도시 개발로 인한 영향을 최소화 하도록
빗물을 관리하는 기법을 말하며(Lee et al., 2011) 소규모 분산식의 강우유출 수 처리요소를 통합적으로 관리하는 기법이라 할 수 있다 (Lim et al., 2014). LID에 적용되는 기술로는 침투트렌치, 옥 상녹화, 빗물통, 투수성 포장, 식생체류지, 식생수로, 식생여 과대, 인공습지, 수변림 등이 있으며
이들은 강우유출량 저 감, 첨두유량 저감, 유출 지연, 지하수 함량 증대, 홍수피해 저감 및 비점오염 유출 저감과 같은 기능을 통해 수질개선 및 물순환
회복에 긍정적인 영향을 미친다(Martin-Mikle et al., 2015; Song et al., 2019; Sun et al., 2014).
비점오염관리를 포함하는 수질개선 효과 측면의 경우 LID 및 분산형 빗물관리 시스템을 대상으로 하는 다양한 연구가 진행중에 있다. 중국 스폰지 시티의
경우 분산형 빗물관리 도입으로 얻을 수 있는 혜택 중 수질개선 부분에 대해 빗물 유출에 따른 수질 및 유량에 대한 효율적인 제어가 분산형 빗물관리
시스템을 통해 이루어지고 있음을 밝혔다(Li et al., 2019; Xu et al., 2017). 한국에서는 울산광역시를 대상으로 LID 적용을 통한 비점오염저감효율 연구가 진행되었으며 빗 물통, 투수성포장, 식물재배화분 등 LID 요소기술별로
BOD 의 경우 60 % 이상 저감되는 유의미한 결과가 도출되기도 하였다(Lim et al., 2014). 또한 송산그린시티, 에코델타시티 등 신도시 개발 시 LID의 도입을 통해 비점오염관리가 자연 스럽게 이루어지도록 하는 개발이 이루어지고 있다.
한편, 도시 경관 및 물순환 기능 회복을 고려한 신도시 개 발에서 LID는 적극적으로 도입되고 있다. 한국토지주택공사 에서는 김포한강신도시, 아산탕정신도시,
평택고덕신도시, 세 종행복도시를 건설하면서 LID를 적극 도입하였으며, 특히 최 근에 건설중인 행복도시6-4 생활권의 경우 빗물관리 목표량 을 설정하고
지구단위계획 지침에 LID 반영을 통해 체계적으 로 LID 요소기술이 설치될 수 있도록 하였다(Choi et al., 2017). 빗물관리목표량(Stormwater Runoff Requirements, SRR)은 LID 기법을 통해 빗물을 침투·저류시켜 우수유출량을 저감시키
는 목표량을 말하며 행복도시6-4생활권의 경우 토지이용계획 별 빗물관리 목표량이 설정되어 있다. 토지이용계획별 빗물 관리 목표량이 다르게 설정된 이유는
사업지구 전체의 빗물 관리 목표량 달성을 위하여 침투·저류가 용이한 공원·녹지 의 경우 높은 목표량을 설정하고, 도로 등 빗물의 침투·저류 가 상대적으로
어려운 용지는 목표량을 낮게 설정하였기 때 문이다(Choi et al., 2018).
비점오염원관리, 도시조경개선 등 다양한 혜택을 제공하는 LID의 장점 중 하나는 유지관리가 상대적으로 용이하다는 점 이다(Ishaq et al., 2019; Xu et al., 2019). 장치형 비점오염저 감시설의 경우 현장에 설치한 이후 역세척 설비의 운영, 전처 리조에 대한 준설 등 다양한 형태의 유지관리가 동시에 수반 되어야
하나, LID는 장치형 비점오염저감시설에 비해 상대적 으로 낮은 유지관리 수준을 요구하고 있다. 그러나, 유역으로 부터 유출되는 입자상물질, 부유물질
등 비점오염물질의 특 성과 여과 정도에 따라 LID의 수질개선 및 침투효율은 변화 할 수 있다. 이는 장기간 운영 시 LID 요소기술의 침투능 저
하가 동반될 수 있음을 의미하며 그에 따라 유지관리의 필요 성이 발생할 수 있음을 의미한다(Blecken et al., 2017; Lindsey et al., 1992). 또한 최근 일부 산업체를 중심으로 개 발되는 LID 요소기술의 경우 장치형 비점오염저감시설에 존 재하는 전처리조가 존재하는 등 유지관리에 대한
광범위한 필요가 발생하는 빗물관리 및 LID의 도입이 증가하고 있다.
따라서 침투 및 여과 기능이 있는 LID 요소기술의 경우 투 수능에 대한 변화와 비점오염저감 능력에 대한 분석을 통해 적정 유지관리 시점을 제시하는
것이 필요하다. 이를 위한 본 연구의 목적은 1) LID 요소기술 중 침투트렌치에 대한 장기 부하시험을 통해 침투율 및 부유물질 저감효율 변화를 분석
하고 2) 이를 통해 적정 유지관리 시점을 제시하고자 한다.
2. Materials and Methods
2.1. 초기강우유출수 제조
본 연구에 사용된 초기강우유출수는 비점오염저감시설의 설치 및 관리운영 매뉴얼(ME, 2016)에 제시된 초기강우유출 수 제조방법을 따라 제조하였다. 이 기준에서는 최대 입경을 200 μm 이하로 제시하고 있으며 63 μm 이하의 입경이 전체
구성의 70 ~ 80 %, 63 ~ 200 μm 입경이 20 ~ 30 %의 비율을 권고하고 있다. 또한 부유물질에 대한 농도는 150 ~ 350 mg/L를
제시하고 있다. 제조에 사용된 토사는 황토를 활용하 였다. 초기강우유출수 제조에 활용하기 위하여, 황토는 110 °C에서 2시간 이상 건조되었으며
이 황토를 65mesh sieve에 서 10분간 흔들어 주어 최종적으로 통과된 황토를 시험에 사 용하였다. 시험수는 진흥원 실내시험시설에 구축된 5톤
규모 의 교반조에서 제조되었다. 교반조는 수중교반기와 시험체로 시험수 공급을 위한 수중펌프로 구성되어 있으며 시험수 제 조를 위한 청수(clean
water)는 진흥원 옥외시험시설에 구축 된 5,000톤 규모의 저류지에 저장된 빗물을 사용하였다.
2.2. 시험대상 시설 설치
본 연구에 사용된 침투트렌치는 진흥원 실증시험시설 내에 위치한 수로에 설치하여 진행하였다. 수로의 규모는 길이 3,400 mm 폭 430 mm, 높이
450 mm이며 설치되는 침투트렌 치의 크기는 길이 3,000 mm, 폭 350 mm, 높이 400 mm이다. 침투트렌치는 표면여과로 비점오염물질을
여과하는 구조이 며 여과면적은 1.05 m2이다. 설치 시 시험수가 원활히 유입 될 수 있도록 좌우측에 마름모 형태의 유입판을 설치하였으 며 시험수가 외부로 유출되는 것을 방지하기 위하여 비닐,
우레탄폼 등으로 마감처리 하였다. 내부에 충진한 여재는 독 일 H社에서 개발한 광물형태의 여재를 사용하였다. 여재의 입경범위는 0.006 ~ 0.06
mm이며, 투수속도는 1.95×10-4 m/s 이다(제조사 여재 설명서 기준). Figure 1, 2.
Fig. 1. Schematic diagram and photos on testing infiltration trench
Fig. 2. Installation site of infiltration trench for testing
2.3. 시험수 제조 및 침투율 변화 측정
유입수는 매 시험일 마다 제조를 하였으며 2019년 7월 8 일부터 9월 19일까지 진행된 시험에서 유입수 35회, 유출수 70회 시료를 채수하여
분석하였다. 침투율 변화에 대한 측정 을 위해 침투도랑 여과면적 1.05 m2에 청수와 제조 초기강우 유출수를 각각 주입하였으며 이들이 1 cm에 해당하는 10.5 L 의 물이 침투하는데 걸리는 시간을 측정하였다. 시험은 전체
부하시험 기간 중 매 5번째 시험에 해당하는 시험일에 실시 하였으며 청수에 대해 침투 시간을 먼저 측정한 후 제조 초 기강우유출수를 유입시켜 침투
시간을 측정하였다.
2.4. 입도분석 및 부유물질 농도측정
제조초기강우유출수 및 침투도랑을 통과한 처리수에 대한 입도분포는 입도분석기(LIXELL, QICPIC, produced by Sympatec GmbH,
Clausthal-Zellerfeld, Germany)를 사용하여 측정되었다. 이 기기는 1 μm ~ 2,000 μm의 입자를 측정 할 수 있다.
입자 크기 및 분포를 분석하는 주요 방법은 레이저 회절법으로 레이저 빔이 물 시료를 통과 할 때 산란 된 빛 각도의 변화를 측정함으로써 입자 분포를
측정한다. 큰 입자 는 작은 각도에서 빛을 산란시키는 반면 작은 입자는 큰 각 도에서 빛을 산란시키는데 이렇게 측정된 입자 크기 분포는 부피 당량
구 직경으로 결과가 산출된다.
한편, 각 시료에 대한 SS 농도는 수질오염공정시험기준(국립환경과학원고시 제2018-65호, ES 04303.1b, 2014)을 적용 하여 측정하였다.
이 방법에 의한 SS 농도는 먼저 필터에 부 착 된 유리 섬유 필터(1.2 μm)를 칭량하고, 일정량의 샘플을 여과한 후, 건조 무게를 측정하고,
여과 전후의 유리 섬유 필 터의 중량 차이를 계산하여 SS 농도를 측정하였다.
3. Results and Discussion
3.1. 제조초기강우유출수(유입수) 및 처리수의 입도분 포 특성
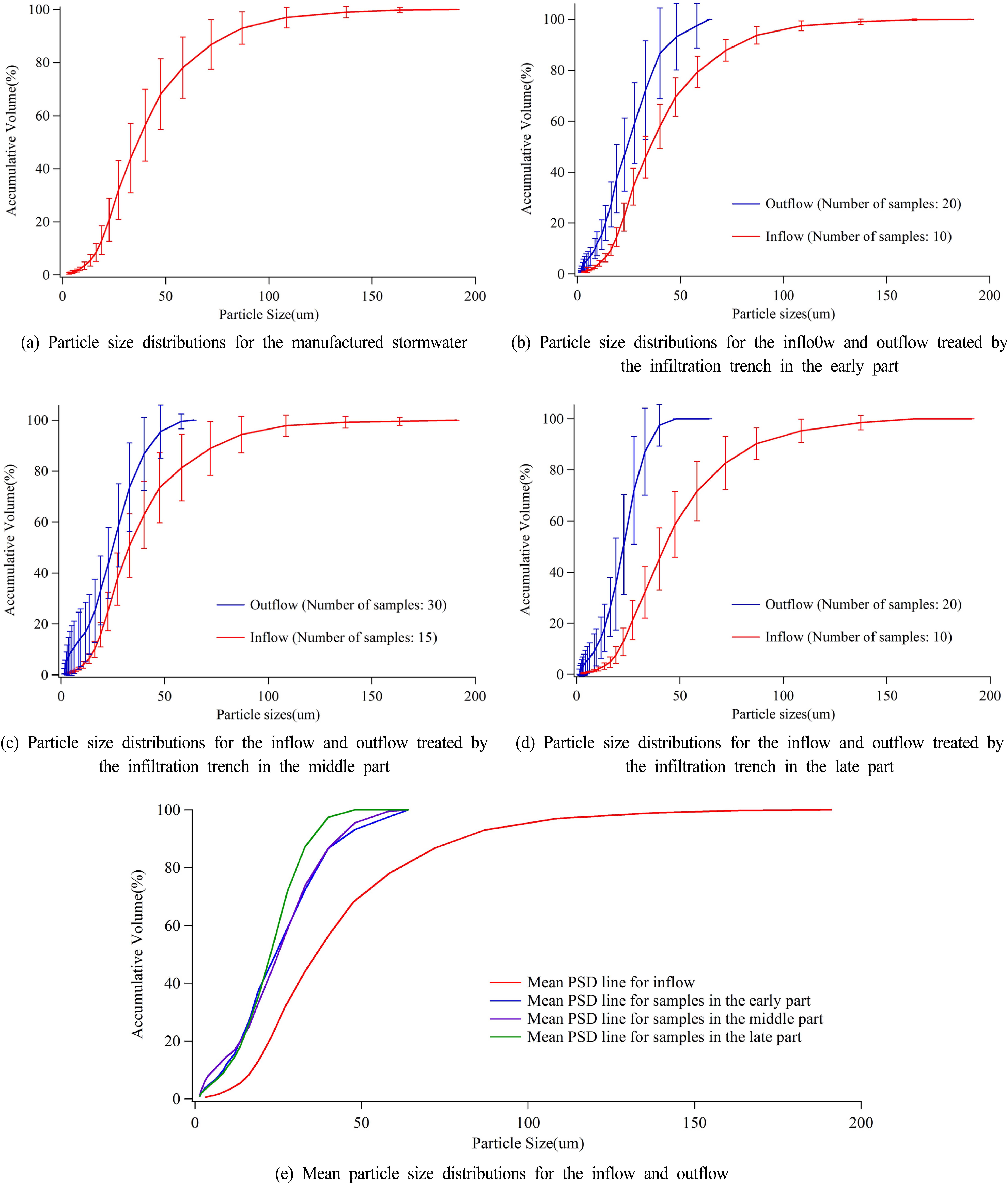
제조초기강우유출수(유입수)는 1회 제조 시 5톤이 제조되 었으며 총 35회 진행된 제조에서는 대부분 현재 매뉴얼에서 정하는 기준에는 충족하였거나 더
미세한 입자가 80 % 이상 분포하였으며 최대 입경의 크기는 Figure 3(a)와 같이 191 μm로 나타났다. 이렇게 제조된 유입수를 침투도랑에 1시간 동안 유입시켰다. 유입 유량은 시험 초기에는 시간당 0.4톤 (6.8L/min)
규모로 유입하였으며 공극 막힘에 따른 침투율 변화에 따라 침투트렌치 상단이 넘치지 않도록 시간당 0.056 톤(0.93L/min)까지 조절하여 유입하였다.
Fig. 3. Particle size distributions of the inflow for the manufactured stormwater and the outflow treated by the infiltration trench. Vertical vars from (a) to (d) indicate the two standard deviations (2SD).
침투도랑으로의 1시간 동안 유입실험을 총 70회 (#1-70) 반복 수행하였으며, 시험 #1부터 #20까지를 초기, 시험 #21 부터 #50까지를
중기, 시험 #51부터 #70까지를 후기로 설정 하였다. 각 단계 별(초기, 중기, 및 후기) 처리수의 최대 입경 은 초기 64 μm, 중기 58
μm, 후기 33 μm로 나타났다. 운영 시간이 경과함에 따라 최대 입경의 크기는 점차 작아졌으며 Figure 3(e)에서와 같이 평균 입자상물질분포에서도 초기와 중기에 비해 후기에서 분포의 차이를 보이고 있었다. Table 1 에서와 같이 초기 처리수에 포함된 입자의 평균 D10은 8.5 μm, D50은 24 μm, D90은 44 μm였으며 중기 처리수에 포함 된 입자의 평균 D10은 5.8 μm, D50은 25 μm, D90은 44 μm, 후기 처리수에 포함된 입자의 평균 D10은 8.6 μm, D50은 22 μm, D90은 35 μm였다.
Table 1. Values of D10, D50, and D90in the inflow and outflow of the infiltration trench.
|
Variables
|
Inflow
|
Outflow (#1 to #20)
|
Outflow (#21 to #50)
|
Outflow (#51 to #70)
|
|
|
D10(µm)
|
17
|
8.5
|
5.8
|
8.6
|
|
D50(µm)
|
36
|
24
|
25
|
22
|
|
D90(µm)
|
80
|
44
|
44
|
35
|
Table 1에서와 같이 유입수에 비해 처리된 처리수의 경우 D10에서는 약 50 %의 크기 감소가 있었으며, D50에서는 약 34 %, D90에서는 약 48 %의 크기 감소가 발생하였다. 각 처 리 단계별 크기의 변화에서는 D10과 D50에서는 초기, 중기, 및 후기에서 큰 입경의 변화를 보이지 않았으나 D90에서는 초기, 중기에 비해 후기에서 9 μm 크기 감소가 발생하였다. 이는 상대적으로 크기가 큰 입자들이 운영시간의 장기화에 따라 표면 또는 공극에
더 여과가 될 수 있음을 의미하며 수 질 개선 효율이 더 나아질 수 있음을 의미한다.
3.2. 부유물질 저감효율 변화
처리효율 평가를 위해 침투도랑으로 유입된 제조초기강우 유출수의 평균 농도는 319.94 mg/L (±4.74) 수준이였으며 침 투도랑을 통과하여 유출된
처리수의 평균 농도는 4.74 mg/L (±0.99) 수준으로 나타났다. 유입수의 최대 및 최소 농도는 355 mg/L, 278 mg/L였으며 처리수의
최대 및 최소 농도는 6.7 mg/L, 2.0 mg/L로 나타났다. 처리효율은 평균 98.5 %였 으며 97.78 ~ 99.42 %의 범위를 보였다.
단계별 차이를 보기 위해 실시한 사후검정(Tukey) 결과, 전체적인 평균 농도에서 는 단계별 차이는 거의 없었으나(초기 319.8 mg/L, 중기 320.3 mg/L, 후기 319.6 mg/L)
처리수에 있어서는 운영기간 이 지속됨에 따라 차이가 발생하였다. Table 2에서 나타난 바와 같이 유입수에서는 각 구간 간 비교에서는 통계적으로 유의미한 수준에서 차이가 없었으나(p>0.05), 유출수에서는 각 구간 간 비교에서 통계적으로 유의미한 수준에서 차이가 있는 것으로 나타났다(p<0.05). Figure 4.
Table 2.Post-hoc (Tukey)test results for SS concentrations of inflow and outflow in each stage.
|
Factors
|
p-value
|
|
|
Inflow
|
Outflow
|
|
|
early
|
middle
|
0.997
|
0.000
|
|
|
late
|
1.000
|
0.000
|
|
middle
|
early
|
0.997
|
0.000
|
|
|
late
|
0.995
|
0.000
|
|
late
|
early
|
1.000
|
0.000
|
|
|
middle
|
0.995
|
0.000
|
Fig. 4. SS concentration variations for inflow and outflow treated by infiltration trench
유출수의 농도가 초기에서 후기로 갈수록 낮은 수준으로 변화하면서 차이가 발생하는 이유는 운영기간이 지속됨에 따라 공극이 막히게 되고 표면에 부유물질이
여과됨으로써 기존 여재의 여과 능력보다 더 많은 여과가 발생함에 따른 현상이라 할 수 있다(Siriwardene et al., 2007). 처리수의 농 도가 지속적으로 낮아짐으로 인해 수질개선 효과가 상승하 고 있으나, 처리수 부유물질의 농도만을 고려하여도 유지관 리 시점을 판단하는
데에는 다소 무리가 있다고 보여진다.
3.3. 침투율 변화
Figure 5에서와 같이 운영 초기에는 청수에서 0.124 L/sec, 유입수에서 0.113 L/sec의 침투율을 보였으나 부유물질에 대 한 부하가 지속적으로
발생하면서 초기에서 중기 기간 동안 침투율이 감소 추세를 보였다. 후기에서는 청수의 경우 0.021 L/sec, 유입수의 경우 0.015 L/sec까지
감소하였다. 후 기에 해당하는 9월 5일 및 9월 19일 측정된 유입수 침투의 경우 두 측정값 모두에서 0.015 L/sec로 나타났다. 이는 초기
에 비해 청수의 침투율은 16.9 %, 유입수는 13.3 % 수준까지 낮아졌음을 의미한다.
Fig. 5. Variations of infiltration rate for infiltration trench as time elapses.
이 결과를 바탕으로 시험에 적용된 침투트렌치의 길이 3 m와 간선도로 1차로 폭에 해당하는 약 3.3 m를 고려하여 처리대상 배수구역을 10 m2로 가정하고 초기강우유출수가 유입하는 처리 가능한 강수량을 산정할 때, 본 시험에서 적 용한 여과면적 1.05 m2에서 이 시설은 운영 초기에 누적유 출고 기준으로 40.7 mm/hr까지 처리할 수 있으나 후기에는 누적유출고 기준 5.4 mm/hr로 처리가능 강수량이
변화할 것으로 보여진다. 따라서 침투도랑과 같은 침투형 LID 시설 의 유지관리 시점은 제조 초기강우유출수가 유입될 때를 기 준으로 세종시 행복도시6-4
생활권에 제시된 토지이용계획 별 빗물관리목표량으로 고려했을 때 Table 3과 같은 시점을 제시할 수 있다. Table 3에 제시된 유지관리를 위해 기준이 되는 침투율 값의 산정은 실험으로 산정된 침투율 0.015 L/sec에 해당하는 강우누적유출고 5.4 mm/hr와
행복도시6-4 생활권 토지이용계획에 따른 빗물관리목표량을 비율로 산정 하였다. 이렇게 산정된 값을 기준으로 공동주택용지와 단독 주택용지의 경우 침투유량이
0.069 L/sec 이하로 될 경우, 도로 및 상업지역은 침투유량이 0.02 L/sec되는 시점, 그리 고 교육·연구 시설용지의 경우 0.089
L/sec 이하로 되는 시점에서 침투도랑에 대해 여재층 상부층 제거, 여재층에 대한 교체와 같은 유지관리를 고려하는 것이 필요하다 (Blecken et al., 2017).
Table 3. Infiltration rate requiring the maintenance of infiltration trench according to the Stormwater Runoff Requirements (SRR) of Multifunctional Administrative City (MAC).
|
|
Apartment housing site
|
Housing site
|
Park
|
Road
|
Business district
|
Education research
|
|
|
SRR (mm)a |
25.0
|
25.0
|
41.0
|
7.1
|
7.1
|
32.0
|
|
Infiltration rate (L/sec)
|
0.069
|
0.069
|
-
|
0.020
|
0.020
|
0.089
|
4. Conclusion
본 연구에서는 LID의 침투형 기술 중 하나인 침투도랑을 대상으로 장기 부하시험을 통해 유지관리 시점을 도출해보 고자 하였다. 이를 위해 고려한 입자상물질
분포 변화, SS저 감효율 변화, 및 침투효율 변화 등 3가지 항목에 대해 분석 하였으며 결과적으로 침투효율 변화에 대한 분석을 고려한 유지관리 시점을
도출하는 것이 타당하다고 판단되었으며 다음과 같이 요약할 수 있다.
-
장기 부하시험 결과 시간의 경과에 따라 SS는 99 % 수 준의 높은 저감효율을 보였으며 입자상물질 또한 최대 입경 이 64 μm에서 33 μm으로
감소하였다. 또한 침투율은 초기 에 비해 13.3 % 수준까지 낮아졌다. 이는 비점오염관리 측면 에서 유지관리 시점이 한계점에 가까워질수록 수질개선
효 과가 높아짐을 의미하며 침투율이 빗물관리 목표 시점에 도 달할 때까지 운영하는 것이 타당하다고 보여진다.
-
유지관리 시점은 토지이용 특성에 따라 상이하며 빗물 관리 목표량을 고려하여 산정하는 것이 바람직하다고 판단 된다. 세종 행복도시와 같이 빗물관리 목표량이
설정된 지역 에 침투도랑을 설치할 경우 토지이용특성에 따라 0.02 ~ 0.089 L/sec의 침투율 이하가 되는 시점을 유지관리 시점으 로 판단하는
것을 검토할 필요가 있다.
Acknowledgement
본 연구는 환경부의 환경정책기반 공공기술개발사업에서 지원받았습니다. (2016000200003).
References
Blecken G, Hunt W F, Al-Rubaei A M, Viklander M, Lord W G, 2017, Stormwater control
measure (SCM) maintenance considerations to ensure designed functionality, Urban Water
Journal, Vol. 14, No. 3, pp. 278-290

Choi J S, Kang M S, Yun E J, Lee J M, Lim S H, 2017, [Korean Literature], A study
on introduction plan of low impact development techniques in multifunctional administrative
city (MAC)(I), Land and Housing Institute, pp. 33-37
Choi J S, Yun E J, Lee J M, Lim S H, 2018, [Korean Literature], A study on introduction
plan of low impact development techniques in multifunctional administrative city (MAC)(II),
Land and Housing Institute, pp. 17-26
Ishaq S, Hewage K, Farooq S, Sadiq R, 2019, State of provincial regulations and guidelines
to promote low impact development development (LID) alternatives across Canada: Content
analysis and comparative assessment, Journal of Environmental Management, Vol. 235,
pp. 389-402

Lee J M, Hyun K H, Lee Y S, Kim J G, Park Y B, Choi J S, 2011, Analysis of water cycle
effect by plan of LID-decentralized rainwater management Using SWMM-LID model in a
low-carbon green village, LHI Journal, [Korean Literature], Vol. 2, No. 4, pp. 503-507

Li Q, Wang F, Yu Y, Huang Z, Li M, Guan Y, 2019, Comprehensive performance evaluation
of LID practices for the sponge city construction: A case study in Guangxi, China,
Journal of Environmental Management, Vol. 231, pp. 10-20

Lim Y K, Jung J C, Shin H S, Ha G J, 2014, Analyzing the efficiency of LID technique
for urban non-point source management-Focused on City of Ulsan in Korea, Journal of
the Korea Society of Environmental Restoration Technology, Vol. 17, No. 2, pp. 1-14

Lindsey G, Roberts L, Page W, 1992, Inspection and maintenance of infiltration facilities,
Journal of Soil and Water Conservation, Vol. 47, No. 6, pp. 481-486

Ministry of Environment (ME), 2016, Manual on installation and operation of nonpoint
source pollution management facilities, Ministry of Environment
Martin-Mikle C J, Beurs K M, Julian J P, Mayer P M, 2015, Identifying priority sites
for low impact development (LID) in a mixed-use watershed, Landscape and Urban Planning,
Vol. 140, pp. 29-41

Siriwardene N R, Deletic A, Fletcher T D, 2007, Clogging of stormwater gravel infiltration
systems and filters: Insights from a laboratory study, Water Research, Vol. 41, pp.
1433-1440

Song J, Yang R, Chang Z, Li W, Wu J, 2019, Adaptation as an indicator of measuring
low impact development effectiveness in urban flooding risk mitigation, Science of
The Total Environment, Vol. 696, pp. 133764

Sun Y, Li Q, Xu C, Liu Z, 2014, Hydrological simulation approaches for BMPs and LID
practices in highly urbanized area and development of hydrological performance indicator
system, Water Science and Engineering, Vol. 7, No. 2, pp. 143-154

Xu C, Jia M, Xu M, Long Y, Jia H, 2019, Progress on environmental and economic evaluation
of low-impact development type of best management practices through a life cycle perspective,
Journal of Cleaner Production, Vol. 213, pp. 1103-1114

Xu C, Hong J, Jia H, Liang S, Xu T, 2017, Life cycle environmental and economic assessment
of a LID-BMP treatment train system: a case study in China, Journal of Cleaner Production,
Vol. 149, No. 15, pp. 227-237
