지화성
(Hwaseong Ji)
1a†iD
김미희
(Mihee Kim)
1biD
이유정
(Youjung Lee)
1ciD
손희종
(Heejong Son)
2iD
-
부산광역시보건환경연구원
(Busan Metropolitan City Institute of Health & Environment)
-
부산상수도사업본부 수질연구소
(Water Quality Institute, Water Works HQ of Busan Metropolian City)
© Korean Society on Water Quality. All rights reserved.
Key words
FDOMH, FDOMP, LC-OCD, SUVA254nm
1. Introduction
자연수계에서 용존유기물질(Dissolved Organic Matters, DOM) 은 다양한 분자량과 구조를 가진 비균질성(heterogeneous)
혼 합물질로서 탄수화물, 단백질, 아미노산, 유기산 및 각종 생 고분자물질이 포함되며, 그 성상과 생성기원에 따라 서로 다 른 성분과 구조특성을 가지는
것으로 알려져 있다(Hur et al., 2006). 수생태계에서 DOM은 종속영양미생물의 에너지원으 로 사용되고 먹이사슬을 거쳐 상위 영양단계의 생물군집에 도 영향을 미친다. 또한, 강하구를 통해
해양으로 유출되는 유기물질 정보는 기수역이나 연안의 환경변화를 파악하는 것 뿐만아니라 지구적인 탄소 순환을 해석하는 중요한 요소 이다(Park et al., 2017).
유기물질을 정량하기 위하여 국내에서는 총유기탄소(Total Organic Carbon, TOC) 또는 용존유기탄소(Dissolved Organic
Carbon, DOC), 생물화학적산소요구량(Biochemical Oxygen Demand, BOD), 화학적산소요구량(Chemical Oxygen
Demand, COD) 및 KMnO4소비량을 측정하는 방법이 공정시험기준에 규정되어있다. 하지만, 이 분석방법들은 비균질적인 유기물 질 혼합체를 하나의 농도값으로 표시하는 것으로서 유기물
질의 구조나 분자량 크기 등의 특성과 비균질적인 성분을 식 별할 수는 없다. 또한, 유기물질 관리지표중 하나인 COD 분 석방법은 유기물질의 종류에
따라 산화력의 차이가 커서 유 기물질의 총량을 측정하는데 한계가 있으므로 하천수, 공공 하수, 산업폐수 등에 대한 유기물질 기준이 단계적으로 TOC
로 전환되고 있는 만큼 유기물질 관리를 위해 더욱 정확하고 효과적인 방안이 모색되고 있다(NIER, 2001).
최근에는 유기물질의 농도뿐만 아니라 복잡한 DOM의 조 성, 기원 및 변화를 연구하기 위하여 다양한 분석 방법이 이용 되고 있다. 예를 들어, 크기별
배제 크로마토그램(Size Exclusion Chromatography, SEC)을 이용한 분자크기별 용존유기물질 의 분리, XAD 수지를 이용한
친수성(Hydrophilicity) 및 소수 성(Hydrophobicity) 유기물질의 분리, 적외선 분광법(FT-IR) 등을 이용한 탄소구조의 분석,
광학적 특성을 이용한 유기물 질의 구조와 생성 기원 추적 등이 대표적이다(Choi and Lee, 2006; Shin, 2014). 특히, 자외선과 짧은 파장대의 가시광선을 흡수하는 특성을 가진 용존유기물질(Chromatographic Dissolved Organic Matters,
CDOM) 중에서 형광 특성을 갖는 형광용존 유기물질(Fluorescent Dissolved Organic Matters, FDOM)이 존재하는데
유기물질의 구성(휴믹 및 펄빅산, 단백질, 아미노 산, 엽록소, 합성물질 등)에 따라 다른 형광특성을 가진다. 최근 들어 CDOM의 형광스펙트럼 분석방법은
유기물질의 기원을 추정하고 오염원 유입 경로를 추적하는 등 수질관리 를 위한 연구에 이용되고 있다(Park et al., 2017).
본 연구는 최근 서부산권 개발과 낙동강 하굿둑 개방 추진 으로 향후 수생태계의 변화가 예상되는 낙동강 하류 수역에 서 현재 용존유기물질 특성에 기여하는
인자들을 파악하기 위하여 수행되었으며, 유기물질의 분자량 크기(Molecular weight fractions)와 형광특성(Fluorescence
properties)을 중심으로 다 양한 유기물질 지표를 분석하고 수문학적 및 생지화학적 인 자들과의 상관관계를 통해 용존유기물질의 거동과 특성을
규 명하고자 하였다.
2. Materials and Methods
2.1. 연구대상
낙동강은 유로연장 525 km, 유역면적 23,860 km2 인 하천 으로 강 하구에는 1987년 건설된 낙동강 하굿둑이 있고, 2012 년까지 진행된 4대강 사업으로 낙동강 전체에 총 8개의 보가 설치되면서
수계의 인위적인 조건은 계속 변화해왔다. 또한 낙동강 하류 유역은 공간과 유량이 다양하게 활용되고 있는 데, 생태공원과 수상레저타운이 조성되어 시민들의
친수공간 으로 사용되고 있을 뿐만 아니라 서낙동강 및 삼락천, 감전 천 등 지류 하천의 유지용수로도 이용되고 있다. 앞으로도 하굿둑 개방을 통한 하구
생태계 복원, 에코델타시티 등 도 시개발 및 친수활동 활성화 계획으로 인해 낙동강 하류 수역 에 대한 물환경 변화가 예상되고 있다.
따라서, 본 연구는 낙동강하류에 대한 미래의 물환경 변화 에 대응하고자 낙동강하굿둑으로부터 상류 28 km 지점인 물 금취수장(MG)부터 대동화명대교(DH),
강서낙동강교(GN), 서 부산낙동강교(SN), 하굿둑(HD) 까지 낙동강 하류 5개 지점 을 대상으로 하였다(Fig. 1). 시료는 동절기와 하절기, 갈수 기와 풍수기에 용존유기물질의 특성을 비교하기 위하여 2019년 1월부터 8월까지 월1회 선박(부산광역시 낙동강관리
본부 지원)을 이용하여 수질오염공정시험기준의 시료채취방 법에 따라 표층수를 채취하였다(n=40).
Fig. 1. Sampling points in the downstream Nakdong River.
2.2. 분석방법
수온, 염분, 용존산소 등 현장측정 항목은 시료채취와 동시 에 현장에서 다항목 수질측정기(YSI 556MPS, USA)를 사용 하여 측정하였고, 채취한
시료는 암소에서 4°C 이하로 냉장 보관하여 실험실로 운반하였다. TOC, POC(Particulate Organic Carbon), BOD, TN(Total
Nitrogen), TP(Total Phosphorus), Chl-a(Chlorophyll a) 및 식물플랑크톤은 수질오염공정시험기 준(국립환경과학원고시
제2018-65호, 2018.12.21.)에 의해 분 석하였고, CDOC 농도와 분자크기별 분리는 독일 DOCLabor의 LC-OCD(Liquid
Chromatography-Organic Carbon Detection, Model-8)를, FDOM은 일본 HORIBA의 형광분석 기(Fluorescence
spectrometer, Aqualog)를 사용하여 분석하 였다. CDOC와 FDOM을 분석하기 위한 시료는 사전에 마이 크로 필터(공극 0.45
μm)로 여과하여 입자성 유기물질을 제 거한 후 분석하였다.
2.2.1. 용존유기물질 분자크기별 분리
분석을 위한 시료는 자동으로 LC-OCD로 주입되어 이동상 인 인산염완충액(Phosphate buffer, 1.1 mL/min)과 함께 SEC 컬럼(Toyopearl
TSK, HW-50S, 250×20 mm)을 통과하면서 체류시간에 따라 분자량이 큰 물질부터 분리되었다. 단백질 과 다당류 등을 포함하는 생체고분자물질인
Biopolymers(≥ 20,000 g/mol)부터 치환된 페놀성분과 폴리카복실산의 혼합 물인 Humic substances(~1,000 g/mol),
휴믹물질의 가수분해 산물인 Building blocks(300~500 g/mol), 마지막으로 Low molecular weight acids(LMWA,
≤ 350 g/mol)및 알콜, 알데하 이드, 케톤 및 아미노산 등의 Low molecular weight neutrals (LMWN, ≤ 350
g/mol)까지 5개의 물질로 순차적으로 분리 되었다. 컬럼을 통해 분리된 물질은 먼저 UV254nm 검출기에 의해 흡광도가 측정되고, 연속적으로 반응기(Thin Film Reactor, TFR)에서 산화제(Phosphoric acid)와 UV185nm램프에 의해 이산 화탄소로 산화된 후 고감도 유기탄소 검출기(Organic Carbon Detector, OCD)를 통해 검출되었다.
또한, 휴믹물질의 방향족(Aromaticity) 특성을 나타내고 난 분해성 용존유기물질의 지표로 이용되는 SUVA254nm(Specific Ultraviolet Absorbance at 254nm)는 컬럼을 통해 분리된 용 존유기물질에 대한 UV254nm흡광도를 용존유기물질 농도로 나누어 계산되었다. SUVA254nm가 4보다 크면 방향족성, 난분 해성 및 소수성이면서 분자량이 큰 토양기원(Pedogenic)의 외부생성(Allochthonous) 유기물질로 구분하고,
SUVA254nm가 2보다 작으면 낮은 방향족성, 생분해성 및 친수성을 갖고 분 자량이 작은 수중기원(Aquagenic)의 자생적(Autochthonous) 유기물질로
추정할 수 있다(Lee and Kim, 2018).
2.2.2. 형광용존유기물질 분석
형광을 나타내는 DOM은 생물에서 기원하여 생화학적 작 용을 거치면서 만들어지는 방향족성 휴믹물질(Humic acids, Fulvic acids 등)과
단백질을 구성하는 아미노산 중에서 형광 을 띠는 물질들(Tryptophan, Tyrosine, Phenylalanine)이 있다 (Shin et al., 2014). 일반적으로 복잡한 분자구조와 큰 분자 량, 공액이중결합이 증가할수록 강하고 긴 형광파장을 형성 하고, 분자구조가 간단하고 저분자량일수록 단파장
형광을 나 타낸다(Liu et al., 2018). 다양한 여기파장(Excitation wavelength) 과 방출파장(Emission wavelength)에서 형광세기(Fluorescence
intensity)를 측정하여 3차원 형태의 등고선으로 나타낸 것을 형광여기방출스펙트럼(Fluorescence Excitation Emission
Matrix Spectra, FEEM spectra)이라 하고, 이는 전 파장에 대 한 형광 스펙트럼을 포함하고 있기 때문에 시료 중 형광용존 유기물질의
특성과 생성기원을 파악하는데 효율적으로 사용 된다(Hur et al., 2006).
유기물질은 생성기원에 따라 외부유입 유기물질(Allochthonous organic matter)과 자생적 유기물질(Autochthonous organic
matter) 로 구분되기도 한다. 외부유입 유기물질은 육상기원(Terrestrialderived) 물질로 미생물에 의해 분해된 낙엽이나 토양유기물
질 등이 그 기원이 되고, 자생적 유기물질은 조류(Algae)나 박테리아의 생리작용 및 자기분해에 의한 유기탄소 생성과 그 생물학적 분해에 의한 유기물질을
말한다(Hur et al., 2006). FDOM은 유기물질의 생성기원을 식별하는 지표로 사 용되고 있으며 주로 육상기원의 외부유입 유기물질에서 유래 하는 휴믹계 형광용존유기물질(Humic-like
FDOM, FDOMH) 과 생물학적 생산(Biological production)에 의한 자생적 유기 물질에서 유래하는 단백질계 형광용존유기물질(Protein-like
FDOM, FDOMP)로 구분 할 수 있다(Lee and Kim, 2018).
FEEM spectra를 얻기 위하여 형광분석기의 방출파장(Emission wavelength)을 240 nm~600 nm 범위에서 2.3 nm 간격으로
하여 형광스펙트럼을 자동으로 측정하였고, 이때 여기파장 (Excitation wavelength)은 240 nm~450 nm 범위에서 3 nm 간격으로
하고 적분시간(integration time)은 0.5 s 로 설정하였 다. 바탕 스펙트럼 보정을 위하여 분석할 때마다 3차 정제수에 대한 형광을
측정하여 시료의 형광세기에서 차감하였고, 릴 리산란효과 제거(Rayleigh scattering masking) 등 스펙트럼 적인 보정은 분석기기
매뉴얼에서 제시하는 방법을 따랐다.
2.3. 자료수집 및 분석자료 처리
기상인자로 사용된 평균기온과 강우량은 기상청 자료를 활 용하여 조사대상 인근에 위치한 부산과 양산 관측소의 시료 채취일 이전 30일 평균자료를 사용하였고,
낙동강 하류 유량은 국가 수자원관리 종합정보시스템(Water Resources Management Information System, WAMIS)에서
제공하는 부산시(구포대 교) 관측소의 유량을 이용하였다.
분석자료의 도표는 Sigmaplot(ver. 12.5)을 이용하였고, 통 계분석은 SPSS(ver. 18.0 for Windows) 패키지를 사용하여
상관분석(Correlation analysis)과 요인분석(Factor analysis)을 수행하였다. 상관분석은 수질 인자들 간의 선형상관관계를
확인하기 위하여 피어슨 상관관계(Pearson’s correlation)를 분석하였고 그 결과를 상관계수(r)로 표시하였다. 요인분석은 서로 상관관계를
가지는 수질 인자들의 정보 손실을 최소화 하면서 최초 수질 인자 수보다 적은 수의 요인으로 자료를 변동하여 설명하고자 하는 다변량 분석이다. 요인을
추출하 기 위하여 주성분분석(Principle component analysis)을 사용 하였고, 각 요인을 명확하게 구분하고 요인부하량(Factor
loading) 의 분산(Variance)을 최대화하기 위하여 요인을 베리멕스 직 각회전방식(Varimax orthogonal rotation)으로
회전하여 분석 하였다. 요인분석 모형의 적합성을 검증하기 위하여 KMO (Kaiser-Meyer-Olkin) 측정과 바틀렛의 구형성 검증(Bartlett’s
test of sphericity)을 수행하였고, 요인의 설명력을 의미하는 고유값(Eigenvalue)은 1.0 이상 되는 요인만을 선택하였다.
3. Results and Discussion
3.1. 생지화학적(Biogeochemistry) 수질인자
하천에서의 유기물질은 유역환경과 기상 및 수리학적 인자 에 크게 의존하고 물리화학적인 변화 또는 미생물 분해, 광 분해 등을 통해 복합적인 생지화학적(Biogeochemical)
반응 을 한다(Lee and Kim, 2018). 1월부터 8월 까지 일평균 기온 범위는 0.7°C~30.6°C, 시료채취현장에서 측정한 수온 범위 는 4.4°C~30.1°C 이었다. 동일 기간
누적 강우량(Rainfall)은 1068.1 mm이었고 6월부터 8월 사이에 전체 강우량의 73.5% 인 785.2 mm가 집중되었으며, 낙동강 하류
구포대교 관측소 의 월평균 유량(Flow)은 39.2 m3/s~758.3 m3/s 범위로 7월 에 최대유량이 관측되었다.
생지화학적 수질인자에 대한 결과는 Table 1.과 Fig. 2.에 나타내었다. 유기물질 지표 중 TOC는 2.5 mg/L~3.5 mg/L, CDOC는 1.2 mg/L~3.0 mg/L, POC는 불검출~2.1
mg/L으 로 하절기로 갈수록 증가추세를 보인 반면에 BOD는 0.4 mg/L~ 4.3 mg/L으로 2월에 최대농도를 보였고 월별 변동 폭이 크 게
나타났다(Fig. 2(a)). 이는 생물분해성 용존유기물질의 비 율 또는 총 유기물질의 특성이 계절별로 달랐음을 나타낸다.
Table 1. Concentration of biogeochemical parameter
|
|
Organic Matters (mg/L)
|
TN(mg/L)
|
TP(mg/L)
|
Chl-a(mg/m3)
|
TSIko* |
Phytoplankton (cells/mL)
|
|
|
|
TOC
|
CDOC
|
POC
|
BOD
|
Cyanophyceae
|
Bacillariophyceae
|
Chlorophyceae
|
Flagellates
|
|
|
Avg.
|
3.1
|
2.4
|
0.5
|
2.2
|
2.801
|
0.052
|
17.6
|
54.1
|
6308
|
3054
|
511
|
20
|
|
Min.
|
2.5
|
1.2
|
0.0
|
0.4
|
1.441
|
0.008
|
1.4
|
41.1
|
0
|
0
|
84
|
0
|
|
Max.
|
3.5
|
3.0
|
2.1
|
4.3
|
3.932
|
0.163
|
35.5
|
64.8
|
43306
|
10520
|
1810
|
100
|
Fig. 2. Seasonal variation of (a) TOC, DOC and BOD, (b) Phytoplankton and Chl-a, (c) TN, TP and TSIko, (d) CDOC and SUVA254nm.
수중 질소순환의 주된 영향요인은 수온으로 TN은 질산화 와 탈질화에 관여하는 미생물 활성이 저하되는 동절기에 높 은 농도를 보이다가 수온이 상승하면서
농도가 감소하고, TP 는 강우가 집중되는 하절기에 토양에 흡착된 인이 수계로 유 출되면서 증가한다. 이번 연구에서도 TN은 1.441 mg/L~
3.932 mg/L 범위로 동절기에 최고 농도를 보이다가 하절기 로 갈수록 감소하였고, TP는 0.008 mg/L~0.163 mg/L 범위 로 하절기로
갈수록 증가하는 전형적인 양상을 보였다. 부영 양화지수(TSIko)는 41.1~64.8 범위로 조사기간 대부분 부영 양 상태였다(Fig. 2(b)).
조류(Algae) 현존량의 간접지표인 Chl-a는 1.4 mg/m3~ 35.5 mg/m3 범위로 1월에서 3월, 6월에서 8월에 높게 나타 났다. 식물플랑크톤(Phytoplankton)을 현미경 계수한 결과 1 월에서 3월에는 규조류(Bacillariophyceae)
개체수가 증가하 였고, 6월 이후 하절기에는 남조류(Cyanophyceae)가 우점 번 성하였으므로 조류 군집의 계절별 우점과 천이가 Chl-a 발생
패턴을 결정한 것으로 판단되었다(Fig. 2(c)).
3.2. 용존유기물질의 특성
3.2.1. CDOC 분리
LC-OCD에 의해 검출된 CDOC 농도는 1.183 mg/L~3.017 mg/L 범위로 7월에 최고 농도를 나타내었다. CDOC를 분리 한 결과
Humic substances가 41.3%~60.5%로 가장 많은 비 율을 차지하여 CDOC의 특성을 결정하는 것으로 나타났고, 그 다음으로 Building
blocks 13.9%~23.5%, LMWN 13.7% ~24.5%, Biopolymers 5.4%~22.7%, LMWA 0.0%~1.2% 순으 로
존재하였다(Table 2). 계절적으로 7월에 Humic substances 농도가 뚜렷하게 증가하였고, Biopolymers는 가장 낮은 농도 를 나타내었다(Fig. 2(d)).
Table 2. Characteristics of chromatographic dissolved organic carbon
|
|
CDOC (mg/L)
|
The concentration CDOC fractions (mg/L) [The ratio of CDOC fractions (%)]
|
SUVA254nm(L/mg•m)
|
|
|
Biopolymers
|
Humic substances
|
Building blocks
|
LMWN
|
LMWA
|
|
|
Avg.
|
2.4
|
0.307 [13.2]
|
1.192 [49.3]
|
0.479 [19.8]
|
0.423 [17.4]
|
0.007 [0.3]
|
3.08
|
|
Min.
|
1.2
|
0.163 [5.4]
|
0.587 [41.3]
|
0.165 [13.9]
|
0.162 [13.7]
|
0.000 [0.0]
|
2.55
|
|
Max.
|
3.0
|
0.441 [22.7]
|
1.798 [60.5]
|
0.580 [23.5]
|
0.703 [24.5]
|
0.027 [1.2]
|
4.04
|
SUVA254nm는 2.55 L/mg·m~4.04 L/mg·m 범위로 소수 성과 친수성, 토양기원과 수중기원, 방향족성이 높은 물질과 낮은 물질 등의 특성이 공존하는
것으로 판단되었다. 계절적 으로 1월부터 4월까지는 3 L/mg·m 이하(2.55 L/mg·m~2.92 L/mg·m)로 생분해성, 친수성 및 낮은
방향족성을 보 였고, 5월 이후 증가하여 7월에 최대 4.04 L/mg·m를 나타 내어 난분해성, 소수성 및 방향족 특성이 증가하였다.
Chae et al. (2004)의 연구에서도 낙동강 원수는 겨울철과 봄철에는 친수성이 높게 나타나고, 여름철에는 소수성이 높 게 나타나는 경향을 보고하였고, Kim et al. (2018)은 낙동강 본류에서 SUVA254nm는 5월에서 7월에는 3 L/mg·m 이하, 강우량이 증가하는 8월에는 3 L/mg·m 이상으로 증가하였 다고 보고한 바 있다. 그 외의 연구결과에서도
유역환경, 강 수량, 수온, 채수시기 등에 따라 유기물 조성은 서로 상이하 였으나 계절적으로 강우량이 많은 하절기에 UV흡광도를 유 발하는 휴믹과
펄빅산, 다른 방향족 유기물질 등의 유입으로 휴믹물질 농도와 SUVA254nm가 상승하였다고 하였다(Choi and Lee, 2006; Park et al., 2018; Shin, 2014).
3.2.2. FDOM 형광세기
용존유기물질의 형광세기를 측정하여 3차원 형광여기방출 스펙트럼을 얻을 수 있었으며 연구지점을 대표하여 대동화 명대교(DH) 지점에서의 월별 3차원
형광여기방출스펙트럼을 Fig. 3에 나타내었다. 각 시료마다 공통적인 여기파장(Ex.)과 방출파장(Em.)의 위치에서 식별 가능한 형광세기(Fluorescence Intensity)를
피크 피킹(Peak picking) 방법으로 인식하여 특 성화하였고(Song et al., 2019), 공통적으로 4개의 파장영역 에서 뚜렷한 형광세기를 식별할 수 있었다.
Fig. 3. Seasonal variation of FEEM spectra at Daedong Hwamyeong bridge in the downstream Nakdong River.
식별된 형광피크 위치를 선행 연구에서 해석한 여기파장과 방출파장의 위치 특성과 비교하여 유사한 형광특성을 가진 파 장범위를 확인한 결과 2개의 휴믹계
형광성분[H1: Ex.(297~ 312)nm/Em.(387~424)nm, H2: Ex.240nm/Em.(406~438)nm] 과 2개의 단백질계 형광성분[H1:
Ex.(297~312)nm/Em.(387~424)nm, H2: Ex.240nm/Em.(406~438)nm]으로 구분되었다. 휴믹계 형광성분인 H1과
H2는 육상기원 휴믹물질 또는 미 생물 분해에 의한 자생적 휴믹물질에 해당하였고, 단백질계 형광성분인 P1과 P2는 조류(Algae)나 미생물 활동에
의한 자생적 단백질로서 특히 간단한 방향족성 아미노산인 티로 신과 트립토판 성분에 해당하였다(Table 3). 각각의 형광성 분 P1과 P2(r=0.952, p<0.01), H1과 H2(r=0.949, p<0.01)의 상관관계가 컸으므로 이후 결과는 P1과 P2를 더한 총 형광 세기를 단백질계 형광용존유기물질(FDOMP)로 하고, H1과 H2 를 더한 총 형광세기를 휴믹계 형광용존유기물질(FDOMH)로 하여 고찰하였다.
Table 3. The selected components of FEEM spectra and fluorescence properties based on literature review
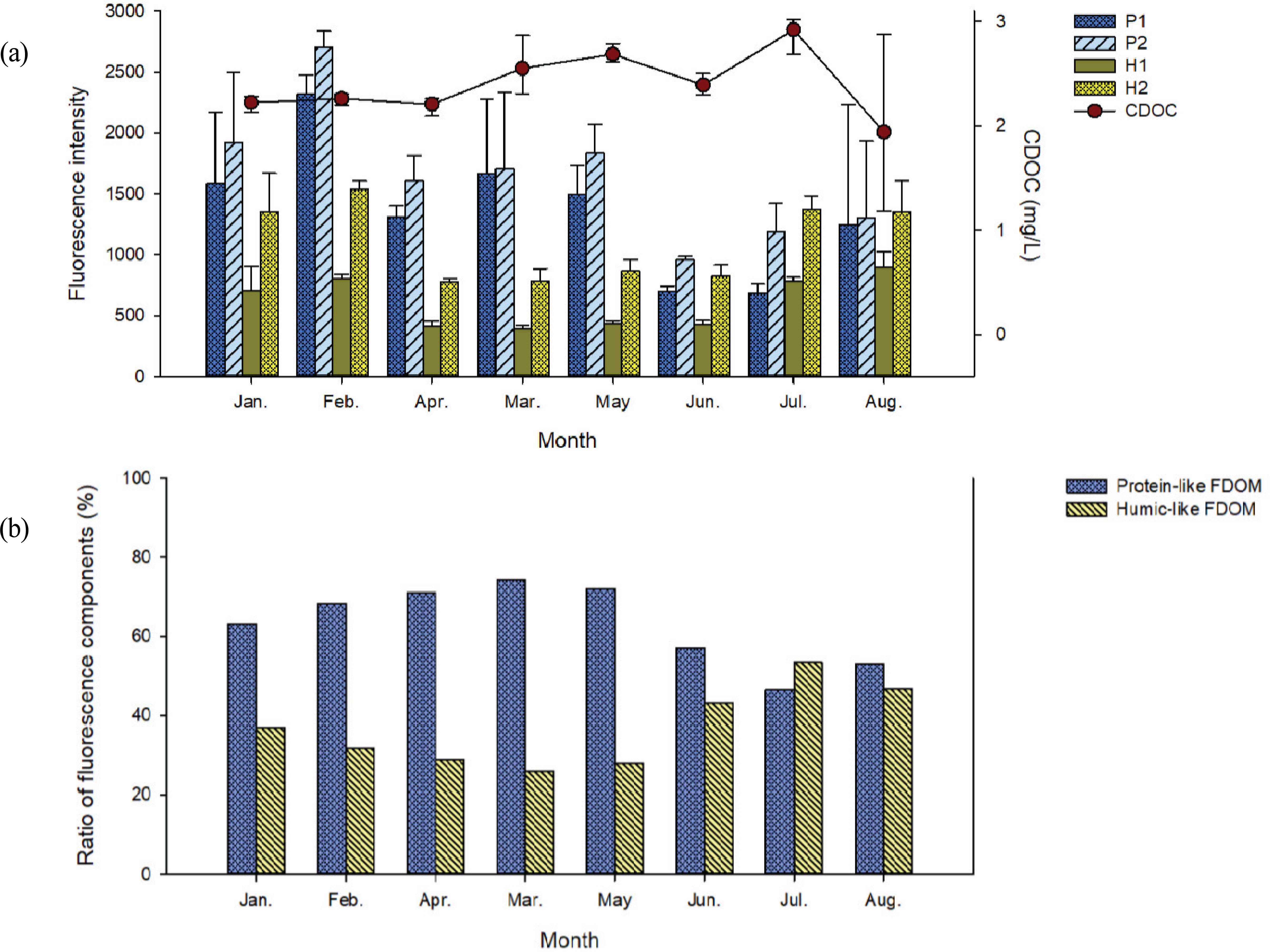
형광세기는 각 성분의 파장영역에서 최대 형광세기(Maximum fluorescence intensity)로 표시하여 Fig. 4에 나타내었고 전반 적으로 FDOMP의 형광세기가 FDOMH보다 우세하였다. 이는 CDOM 중에서 형광을 방출하는 방향족 탄소구조를 가진 휴 믹물질이 상대적으로 적었음을 나타내고, 앞서 낙동강 하류 의 SUVA254nm가 2.55 L/mg·m~4.04 L/mg·m 범위로 약 한 방향족 특성을 나타내었던 사실로도 뒷받침할 수 있었다. Shin (2014)의 연구에서도 FDOMH는 강 상류와 같이 산림토 양으로부터 방향족성 휴믹물질이 유입될 가능성이 큰 수계 에 많이 포함되어 있는 반면에 농업화 및 산업화, 도시화되 어 인간의
활동이 많은 강 하류와 같이 하수처리장 또는 고 도로 생물처리된 방류수 등이 유입되거나 높은 생물학적 생 산성을 가지는 수계에서는 FDOMP이 더 높게 나타나는 것으 로 보고하였다.
Fig. 4. Seasonal variation of (a)Fluorescence intensity & (b)Ratio of fluorescence components.
또한, Fig. 4에 의하면 FDOM 형광세기와 CDOC 농도가 계절적으로 서로 다른 거동특성을 나타내는 사실을 확인할 수 있었다. CDOC 농도는 6월 이후 증가하였으나
FDOM 형 광세기는 휴믹계와 단백질계 성분 모두 1월에서 2월에 가장 강하였고, 이후 FDOMP는 6월 이후 감소하였으나 FDOMH는 7월에서 8월에 다시 증가하였다. 또한 FDOM중 FDOMH 분 율은 1월에 37%에서 4월에 26%으로 감소하였다가 7월에 최 대 54%까지 증가하였고, FDOMP 분율은 4월까지 74%까지 증가하였다가 이후 53%까지 감소하였다. Lee and Kim (2018)이 수행한 낙동강 하굿둑 외해에서 FDOM의 거동을 연구한 결과에서도 외부에서 유입되는 유기물질이 증가하는 7월과 8월에 FDOMH 농도가 가장 높고 FDOMP는 생물학적 생산성이 증가하는 3월에 높은 것으로 보고한 바 있다.
3.3. 용존유기물질의 거동
형광용존유기물질의 형광세기와 유기물질 지표, 생지화학적 수질지표 및 수리학적 인자와의 상관분석(Correlation analysis) 을 통해 용존유기물질의
거동과 특성을 파악하고자 하였고, 유의한 상관관계가 있는 인자들을 Table 4에 나타내었다.
Table 4. Pearson’s correlation coefficient among the water quality parameters
|
|
TOC
|
POC
|
CDOC
|
BOD
|
FDOMH |
FDOMP |
Humic substances
|
Building blocks
|
Biopolymers
|
LMWN
|
SUVA
|
Phytoplankton
|
Cyanophyceae
|
Bacillariophyceae
|
Chl-a
|
TN
|
TP
|
Rainfall
|
Flow
|
Water temp
|
|
|
TOC
|
1
|
.332 |
.253
|
-.166
|
-.293
|
.119
|
.430** |
-.008
|
-.272
|
.047
|
.582** |
.145
|
.228
|
-.382* |
-.217
|
-.509** |
.401* |
.574** |
.590** |
.558* |
|
POC
|
|
1
|
-.818** |
.279
|
.252
|
.059
|
-.607** |
-.820** |
-.178
|
-.798** |
.217
|
.726** |
.683** |
.109
|
.476** |
-.309
|
-.050
|
-.095
|
-.094
|
.158
|
|
CDOC
|
|
|
1
|
-.363* |
-.189
|
-.149
|
.883** |
.853** |
.005
|
.871** |
.133
|
-.691** |
-.607** |
-.299
|
-.617** |
.038
|
.297
|
.466** |
.473** |
.140
|
|
BOD
|
|
|
|
1
|
.334* |
.366* |
-.278
|
-.127
|
-.247
|
-.393* |
-.244
|
.061
|
-.140
|
.880** |
.819** |
.416** |
-.172
|
-.210
|
-.255
|
-.657** |
|
FDOMH |
|
|
|
|
1
|
.307
|
.078
|
-.349* |
-.399* |
-.210
|
.523** |
.498* |
.395* |
.414* |
.376* |
-.169
|
.319
|
.258
|
.256
|
-.007
|
|
FDOMP |
|
|
|
|
|
1
|
-.438** |
.067
|
.432** |
.061
|
-.461** |
-.078
|
-.218
|
.606** |
.249
|
.619** |
.544** |
-.479** |
-.522** |
-.623** |
|
Humic substances
|
|
|
|
|
|
|
1
|
.574** |
-.390* |
.613** |
.493** |
-.462** |
-.378* |
-.306
|
-.447** |
-.265
|
.640** |
.736** |
.746** |
.353* |
|
Building blocks
|
|
|
|
|
|
|
|
1
|
.242
|
.815** |
-.291
|
-.881** |
-.847** |
-.060
|
.486** |
.426** |
-.080
|
.144
|
.144
|
-.270
|
|
-.270Biopolymers
|
|
|
|
|
|
|
|
|
1
|
.155
|
-.681** |
-.163
|
.128
|
-.157
|
-.265
|
.294
|
-.675** |
-.730** |
-.680** |
-.151
|
|
LMWN
|
|
|
|
|
|
|
|
|
|
1
|
-.069
|
-.674** |
-.607** |
-.237
|
-.622** |
.277
|
.012
|
.256
|
.227
|
-.053
|
|
SUVA
|
|
|
|
|
|
|
|
|
|
|
1
|
.440* |
.509** |
-.335
|
-.096
|
-.717** |
.787** |
.777** |
.787** |
.686** |
|
Phytoplankton
|
|
|
|
|
|
|
|
|
|
|
|
1
|
.973** |
.011
|
.437* |
-.554* |
.150
|
-.127
|
-.123
|
.421* |
|
Cyanophyceae
|
|
|
|
|
|
|
|
|
|
|
|
|
1
|
-.217
|
.258
|
-.678** |
.222
|
-.053
|
-.034
|
.591** |
|
Bacillariophyceae
|
|
|
|
|
|
|
|
|
|
|
|
|
|
1
|
.753** |
.595** |
-.320
|
-.300
|
-.363* |
-.796** |
|
Chl-a
|
|
|
|
|
|
|
|
|
|
|
|
|
|
|
1
|
.094
|
-.158
|
-.322* |
-.335* |
-.402* |
|
TN
|
|
|
|
|
|
|
|
|
|
|
|
|
|
|
|
1
|
-.536** |
-.397* |
-.503** |
-.892** |
|
TP
|
|
|
|
|
|
|
|
|
|
|
|
|
|
|
|
|
1
|
.786** |
.797** |
.539** |
|
Rainfall
|
|
|
|
|
|
|
|
|
|
|
|
|
|
|
|
|
|
1
|
.978** |
.464** |
|
Flow
|
|
|
|
|
|
|
|
|
|
|
|
|
|
|
|
|
|
|
1
|
.536** |
|
Water temp
|
|
|
|
|
|
|
|
|
|
|
|
|
|
|
|
|
|
|
|
1
|
3.3.1. 유기물질 지표
TOC는 강우량(r=0.574, p<0.01), 수온(r=0.558, p<0.01), Humic substances(r=0.430, p<0.01), SUVA254nm(r=0.582, p<0.01)와 양의 상관관계를 나타내었고, CDOC는 강우량(r=0.466, p<0.01), Humic substances(r=0.883, p<0.01), Building blocks(r=0.853, p<0.01), LMWN(r=0.871, p<0.01)과는 양의 상관관계를 나타내었으나 식물플랑크톤(r=-0.691, p<0.01), Chl-a(r=-0.617, p<0.01)와는 음 의 상관관계를 나타내었다. 또한, POC는 식물플랑크톤(r=0.726, p<0.01), 남조류(r=0.683, p<0.01), Chl-a (r=0.476, p<0.01)와 양 의 상관관계를 나타내어 입자성 유기물질 농도는 식물플랑크 톤에 밀접한 영향을 받는 것을 알 수 있었다.
TOC 및 CDOC와 공통적으로 양의 상관관계를 보인 강우 량은 유량과 직접적인 상관관계(r=0.978, p<0.01)를 가졌으 며, 수온(r=0.464, p<0.01), TP(r=0.786, p<0.01), TOC(r=0.574, p<0.01), CDOC(r=0.466, p<0.01), Humic substances(r=0.736, p<0.01), SUVA254nm(r=0.777, p<0.01)와는 양의 상관관계를 나타내었으나 Biopolymers(r=-0.730, p<0.01), FDOMP(r=-0.479, p<0.01)와는 음의 상관관계를 나타내었다. 즉, 강우는 수계에 서 수생식물이나 식물플랑크톤의 생물활동과 관련된 지표인 Biopolymers와 FDOMP는 감소시키지만 휴믹물질을 포함한 유기물질농도와 방향족 특성은 증가시킴으로서 수문학적 경 로에 의해 외부에서 하천으로 유입(Allochthonous)되는
유기 물질의 특성과 거동에 기여하는 사실을 확인 할 수 있었다.
생물분해 가능한 유기물질 지표인 BOD는 수온(r=-0.657, p<0.01), Chl-a(r=0.819, p<0.01), 식물플랑크톤 중 동절기에 우 점 번성하는 규조류(r=0.880, p<0.01), 편모조류(r=0.777, p<0.01) 와 높은 상관관계를 나타내어 수온이 낮은 동절기에 식물플 랑크톤의 증식과 분해에 의한 자생적(Autochthonous) 유기물 질의 거동을
설명할 수 있는 지표임을 확인 할 수 있었다. 생물 학적 기원을 가진 생분해성 유기물질이 많을수록 낮은 SUVA254nm를 가지고 친수성이 높아지므로 본 연구에서도 강우 량과 외부유입물질이 적은 동절기에 식물플랑크톤 등 에서 유 래하는 자생적 유기물질이 낙동강 하류
수계의 친수성 및 낮은 방향족성에 기여한 것으로 판단되었다(Henderson et al., 2008).
3.3.2. 휴믹계 형광용존유기물질
FDOMH의 형광세기는 SUVA254nm(r=0.523, p<0.01), 식물 플랑크톤(r=0.498, p<0.01), 규조류(r=0.414, p<0.01)와 상관 관계를 나타내었으나 유기물질 지표와는 뚜렷한 상관관계가 나타나지 않았다. 일반적으로 용존유기물질중에서 FDOM이 차 지하는 비율(20%~70%)이
낮거나 균일하지 않아서 FDOM 과 용존유기물질의 상관성은 낮거나 없는 것으로 보고되고 있다(Coble, 2007). 따라서 FDOMH는 용존유기물질의 양이 나 농도보다 유기물질의 방향족 특성에 좌우되었고, 하절기 에는 외부에서 유입되는 휴믹물질에 의해 SUVA254nm가 증가 하면서 FDOMH의 형광세기도 증가한 것으로 판단되었다.
또한 최근 연구결과에 따르면 휴믹계 형광은 육상기원의 외부유입 유기물질뿐만 아니라 수생식물이나 식물플랑크톤의 배양과정에서 배출되는 자생적 유기물질에
의해서도 유발되 는 사실이 다수 보고되고 있다. Lapierre and Frenette (2009)는 하천에 서식하는 대형수생식물로부터 침출되는 용존유기물 질을 분석한 결과 단백질계 형광뿐만 아니라 육상기원 휴믹 물질과는 다른 휴믹계 형광(Em.
406nm)의 방출을 확인하였 다. 또한, Henderson et al. (2008)의 연구에서도 조류(Algae) 에서 유래한 유기물질의 형광을 분석한 결과 단백질계 형광 과 휴믹계 형광(Em. 410nm)이 모두 확인되었다고 보고하였다.
이번 연구에서는 FDOMH와 식물플랑크톤 및 규조류와의 유의미한 상관관계를 통해서 생물활동에 의해 자생적으로 유래하는 유기물질도 FDOMH의 공급원이 될 수 있음을 확 인 할 수 있었다. 특히, 강우량이 적어 유기물질의 외부유입 이 적은 1월에서 3월에 더 강한 휴믹계 형광을 보인 것은
동 절기에 주로 우점하였던 규조류를 비롯한 식물플랑크톤에 의해 발생한 자생적 유기물질이 동절기의 FDOMH에 기여한 것으로 판단하였다.
3.3.3. 단백질계 형광용존유기물질
FDOMP는 수생식물이나 조류(Algae)의 성장과 분해과정에 서 유래하는 자생적 용존유기물질에서 기인하는 것으로 알 려져 있고, 산림토양에서도 확인되지만
불안정성이 높아서 수계로 유출되기 전에 미생물에 의해 쉽게 분해되므로 수계 의 FDOMP는 대부분 식물이나 플랑크톤으로부터 갓 생성된 유기물질로 여겨진다(Lee and Kim, 2018).
FDOMP의 형광세기는 규조류(r=0.606, p<0.01), 편모조류 (r=0.600, p<0.01), Biopolymers(r=0.432, p<0.01), TN(r=0.619, p<0.01)과 양의 상관관계를 나타내어 생물분해성 용존유기 물질을 나타내는 지표와의 상관관계가 확인되었다. 반면에 강 우량(r=-0.479, p<0.01), 수온(r=-0.623, p<0.01), TP(r=-0.544, p<0.01), Humic substances(r=-0.438, p<0.01), SUVA254nm (r=-0.461, p<0.01)와는 음의 상관관계를 나타내었으므로 FDOMP는 수 온이 낮고 강우량과 외부유입물질이 적은 동절기에 자생적 용존유기물질 거동과 관련이 있음을 확인 할 수 있었다.
낙동강 하류에서는 하절기에 대량으로 번성하는 남조류로 인해 녹조발생이 빈번하므로 자생적 유기물질과 함께 단백 질계 형광성분이 증가할 것으로 예상하였으나
FDOMP의 형 광세기는 오히려 감소하였다.(Fig. 4) 이러한 거동의 원인은 동절기에는 외부유입 유기물질의 감소, 식물플랑크톤 유래 유기물질의 자생적 증가와 미생물 분해활동 감소 등으로 인 해 갓 생성된
생물분해성 용존유기물질이 수계에 축적되어 FDOMP이 증가하지만, 이후 수온이 상승하고 생물분해성 용 존유기물질에 대한 미생물의 분해활동이 커지면서 FDOMP 은 빠르게 감소하기 때문인 것으로 판단하였다(Park et al., 2018; Shin, 2014; Thottahil et al., 2013).
3.4. 용존유기물질 특성에 기여하는 요인 평가
낙동강 하류의 용존유기물질 거동과 특성에 기여하는 요인 을 파악하기 위하여 유기물질지표를 포함하여 서로 상관관계 를 가지는 20개의 수질 인자들을
사용하여 요인분석(Factor analysis)을 수행한 결과 4개의 요인으로 추출되었고 용존유 기물질 특성을 87.8%를 설명할 수 있었다(Table
5, Fig. 5). 요인분석 자료의 적합성을 평가하기 위한 KMO (Kaiser- Meyer- Olkin) 측정값은 0.653이고, 바틀렛의 구형성 검증(Bartlett’s
test of sphericity)결과는 유의확률 p<0.001으로 수질 인자들 의 상관행렬이 확인되었으므로 요인분석모형은 적합하였다.
Table 5. Rotated factor matrix for the water quality parameters by factor analysis
|
|
Components
|
|
|
|
1
|
2
|
3
|
4
|
|
|
Building blocks
|
.972
|
-.046
|
-.026
|
-.013
|
|
Phytoplankton
|
-.903
|
.101
|
-.113
|
.236
|
|
CDOC
|
.900
|
.252
|
-.266
|
.060
|
|
LMWN
|
.886
|
.013
|
-.253
|
.170
|
|
POC
|
-.883
|
.044
|
.050
|
.140
|
|
Cyanophyceae
|
-.871
|
.143
|
-.317
|
.167
|
|
Humic substances
|
.676
|
.643
|
-.201
|
.000
|
|
|
Flow
|
.212
|
.923
|
-.212
|
.055
|
|
Rainfall
|
.235
|
.918
|
-.152
|
.088
|
|
TP
|
-.044
|
.865
|
-.163
|
-.098
|
|
SUVA254nm |
-.293
|
.858
|
-.275
|
.237
|
|
Biopolymers
|
.148
|
-.851
|
-.369
|
.091
|
|
TOC
|
-.080
|
.496
|
-.413
|
.269
|
|
|
Bacillariophyceae
|
-.048
|
-.175
|
.924
|
.269
|
|
BOD
|
-.163
|
-.037
|
.914
|
.066
|
|
Water temp.
|
-.327
|
.475
|
-.782
|
-.068
|
|
Chl-a
|
-.545
|
-.060
|
.762
|
.032
|
|
TN
|
.521
|
-.536
|
.547
|
.093
|
|
|
FDOMH |
-.324
|
.361
|
.299
|
.729
|
|
FDOMP |
.078
|
-.590
|
.379
|
.643
|
|
|
Eigenvalue
|
6.4
|
5.7
|
4.2
|
1.3
|
|
Variance(%)
|
31.9
|
28.4
|
20.9
|
6.6
|
|
Cumulative variance(%)
|
31.9
|
60.3
|
81.2
|
87.8
|
Fig. 5. Components plot in the rotated space.
낙동강 하류에서의 유기물질 거동에 31.9%를 기여하는 첫 번째 주성분은 Building blocks, CDOC, LMWN, Humic substances에
대하여 양의 부하량(Factor loading)을 가졌고, 식물플랑크톤, POC, 남조류에 대하여는 음의 부하량을 나타 내었다. 따라서, 첫 번째
요인은 식물플랑크톤 등 자생적 유 기물질 지표의 감소와 상반되게 외부에서 유입되는 용존유 기물질의 증가를 의미하였다. 두 번째 주성분은 유기물질 거
동에 28.4%를 기여하였으며 유량, 강우량, TP, SUVA254nm에 대하여 높은 양의 부하량을 나타내었다. 이들은 주로 하절기 에 증가하는 성분이었고 강우에 의해 외부에서 유입되는 유 기물질과 방향족 특성의 증가를
두 번째 요인으로 설명 할 수 있었다. 첫 번째 요인과 두 번째 요인을 종합하면 외부유 입 유기물질이 전체 유기물질 특성의 60.3%를 설명할 수
있 는 요인이었다.
세 번째 주성분은 규조류, BOD, Chl-a, TN에 대하여 양의 부하량을 나타내었으나 수온에 대하여는 음의 부하량을 나 타내어 동절기 수질특성을
설명하는 요인으로 판단되었고 유 기물질 거동의 20.9%를 설명할 수 있었다. 즉, 동절기에 규 조류가 우점종인 식물플랑크톤이 뚜렷한 탄소공급원 역할을
하여 자생적 유기물질을 배출하면서 방향족성이 낮은 동절 기 유기물질 특성에 기여하였다. 마지막 주성분은 FDOMH와 FDOMP이고 유기물질 거동에 6.6%를 기여하여 그 역할이 크지 않았으나, 앞서 생지화학적 수질인자들과의 상관관계에 의하면 기상 및 수리학적인 조건에 따라
동절기에는 자생적 유기물질 특성을 설명하고 하절기에는 외부유입 유기물질의 특성을 반영하는 항목이었으므로 네 번째 요인은 용존유기 물질의 공급원 특성인
것으로 평가할 수 있었다.
4. Conclusion
하굿둑 개방 추진 등의 인위적인 요인에 의해 수생태계의 변화가 예상되는 낙동강 하류 수역에 대하여 유기물질의 분 자량 크기와 형광특성을 고려한 용존유기물질의
거동과 특 성을 규명하였다.
용존유기물질을 분자크기에 따라 분리한 결과 Humic substances 가 가장 많이 분포하여 용존유기물질의 특성을 결정하는 주요 물질이었으며,
다음으로 Building blocks, LMWN, Biopolymers 순으로 존재하였다. 낙동강 하류의 용존유기물질은 소수성과 친수성, 토양기원과
수중기원, 방향족성이 높은 물질과 낮은 물질 등의 특성이 공존하였고 하절기로 갈수록 용존유기물 질 농도와 방향족 특성이 증가하였다. 용존유기물질의
거동 에 기여하는 가장 큰 요인은 강우에 의한 외부유입 유기물질 이었고, 식물플랑크톤 등에서 유래하는 자생적 유기물질이 그 다음 요인이었다.
형광용존유기물질은 2개의 휴믹계 형광성분과 2개의 단백 질계 형광성분으로 식별되었으며, 유기물질 지표와의 상관관 계가 낮고 거동특성이 달라서 유기물질의
농도보다는 계절 적인 공급원 특성을 반영할 수 있는 요인이었다. 즉, 동절기 에는 공통적으로 강한 형광세기를 나타낸 휴믹계와 단백질 계 형광용존유기물질이
자생적 유기물질의 거동을 반영할 수 있었고, 하절기에 증가한 휴믹계 형광용존유기물질에 의 해서는 유기물질의 외부 유입과 방향족 특성의 변동을 설명
할 수 있었다.
Acknowledgement
본 연구는 환경부 국립환경과학원 환경분야 시험검사의 국 제적 적합성 기반구축사업에 따른 국고보조금 지원으로 수 행되었습니다.
References
Chae S. H., Lee K. H., Lim J. L., Kim S. S., Wang C. K., Ahn H W, 2004, Characteristics
of DOM according to seasonal variation of raw water in lakes and rivers, [Korean Literature],
Journal of Korea Society of Environmental Engineers, Vol. 28, No. 11, pp. 1244-1250

Chen B., Huang W., Ma S., Feng M., Liu C., Gu X., Chen K, 2018, Characterization of
chromophoric dissolved organic matter in the littoral zones of eutrophic lakes Taihu
and Hongze during the algal bloom season, Water Research, Vol. 10, No. 7, pp. 861

Choi I. H., Lee Y S, 2006, [Korean Literature], Application of LC-OCD method for the
characterization of NOM in Geum river, Korean Society on Water Environment and Korean
Society of Water and Wastewater, pp. 505-506
Coble P G, 2007, Marine optical biogeochemistry : the chemistry of ocean color, Chemical
Reviews, Vol. 107, No. 2, pp. 402-418

Henderson R. K., Baker A., Persons S. A., Jefferson B, 2008, Characterization of algogenic
organic matter extracted from cyanobacteria, green algae and diatoms, Water Research,
Vol. 42, No. 13, pp. 3435-3445

Hur J., Shin J. K., Park S W, 2006, Characterizing fluorescence properties of dissolved
organic matter for water quality management of rivers and lakes, [Korean Literature],
Journal of Korea Society of Environmental Engineers, Vol. 28, No. 9, pp. 940-948

Khan S. I., Zamyadi A., Rao N. R. H., Li X., Stuetz R. M., Henderson R K, 2019, Fluorescence
spectroscopic characterization of algal organic matter : towards improved in situ
fluorometer developed, Environmental Science : Water Research & Technology, Vol. 5,
No. 2, pp. 417-432

Kim J. H., Kim J. H., Choi I. H., Lee Y. J., Lee E J, 2018, Correlation between dissolved
organic-carbon distribution characteristics and disinfection byproduct formation potential
in the Nakdong river, [Korean Literature], Journal of Korean Society for Environmental
Analysis, Vol. 21, No. 3, pp. 165-171

Lapierre J. F., Frenette J J, 2009, Effects of macrophytes and terrestrial inputs
on fluorescent dissolved organic matter in a large river system, Aquatic Sciences,
Vol. 71, No. 1, pp. 15-24

Lee S. A., Kim G B, 2018, Sources, fluxes, and behaviors of fluorescent dissolved
organic matter (FDOM) in the Nakdong river estuary, Korea, Biogeosciences, Vol. 15,
pp. 1115-1122

Liu W., Zhang L., Liu P., Qin X., Shan X., Yao X, 2018, FDOM conversion in karst watersheds
expressed by three-dimensional fluorescence spectroscopy, Water Research, Vol. 10,
pp. 1427

National Institute of Environmental Research (NIER), 2001, [Korean Literature], Comparative
study on COD Criteria and examination methods for the water and wastewater, NIER No.2001-44-638,
National Institute of Environmental Research, pp. 1-30
Park H. G., Kang D. W., Shin K. H., Ock G Y, 2017, Tracing source and concentration
of riverine organic carbon transporting from Tamjin river to Gangjin bay, Korea, [Korean
Literature], Korea Journal of Ecology and Environment, Vol. 50, No. 4, pp. 422-431

Park S. H., Noh J. W., Park J. H., Maeng S K, 2018, Biological stability in the ozone
and peroxone pretreatment systems in river water, [Korean Literature], Journal of
Korean Society of Water and Wastewater, Vol. 32, No. 2, pp. 159-168

Shin Y R, 2014, [Korean Literature], Microbial alteration of riverine dissolved organic
carbon concentration and characteristics in a temperate region, Master's Thesis, Seoul
National University
Song K., Shang Y., Wen Z., Jacinthe P. A., Liu G., Lyu L., Fang C, 2019, Characterization
of CDOM in saline and freshwater lakes across China using spectroscopic analysis,
Water Research, Vol. 150, pp. 403-417

Stedmon C. A., Markager S, 2005, Resolving the variability in dissolved organic matter
fluorescence in a temperate estuary and its catchment using PARAFAC analysis, Limnology
and Oceanography, Vol. 50, No. 2, pp. 686-697

Thottathil S. D., Hayakawa K., Hodoki Y., Yoshimizu C., Kobayashi Y., Nakano S I,
2013, Biogeochemical control on fluorescent dissolved organic matter dynamics in a
large freshwater lake (lake Biwa, Japan), Limnology and Oceanography, Vol. 58, No.
6, pp. 2262-2278
