최정현
(Jeonghyeon Choi)
1aiD
김령은
(Ryoungeun Kim)
1biD
김상단
(Sangdan Kim)
2†iD
-
부경대학교 지구환경시스템과학부 (환경공학전공)
(Division of Earth Environmental System Science (Major of Environmental Engineering),
Pukyong National University)
-
부경대학교 환경공학과
(Department of Environmental Engineering, Pukyong National University)
© Korean Society on Water Quality. All rights reserved.
Key words
Antecedent soil moisture condition, Hydrologic partitioning, Parsimonious semi-distributed model, Soil moisture
1. Introduction
모델링을 통한 유역의 수문모의는 수량 및 수질 관리에 대 한 합리적이고 경제적이며 유용한 접근법 중 하나이며, 유역 관리를 위한 계획 수립 및 설계에
널리 사용되어왔다(Jeon et al., 2014; Sivapalan, 2003; Zhang et al., 2008). 오늘날 유역 의 수문현상에 미치는 기후와 토양의 영향을 살펴보기 위해 다양한 수문모형이 전 세계적으로 개발되어오고 있다. 특히, 컴퓨터 하드웨어
및 소프트웨어의 발전과 함께 모형 프레임 워크가 점점 더 다차원적이고 복잡해짐에 따라(Chapra, 1997), 자연현상에 대한 더 정확한 모의가 가능해졌다(Devi et al., 2015; Eckhardt and Arnold, 2001). 그 예로, Soil and Water Assessment Tool (SWAT), Storm Water Management Model (SWMM),
Hydrological Simulation Program - Fortran (HSPF) 등 복잡한 모형구조를 통해 보다 수문현상을 우수하 게 모의할
수 있는 수문모형이 개발되어 왔다. 그러나 모형 이 복잡할수록 더 많은 양의 관측정보와 매개변수, 사용자의 전문적 지식, 숙련도가 요구되기에, 이러한
사항은 모형의 강력한 성능에도 불구하고 실무적인 사용을 어렵게 하여 모 형의 효율성이 제한될 수 있다(Tramblay et al., 2010).
모형 구동에 필요한 매개변수는 관측을 통해 직접적으로 획득 가능한 경우도 있지만, 일반적으로 유역의 물리적인 특 성을 직접 관측할 수 없을 경우 보정
과정을 통해 추정해야 한다(Beven, 2006a; Zhang et al., 2008). 그러나 모형 보정을 수행하기 위한 충분히 길고 고품질의 자료를 확보할 수 없는 경우가 많다(Bárdossy, 2007; Zhang et al., 2008). 제한된 관 측자료를 이용하여 모형을 보정하기 위해 다양하고 강력한 보정 알고리즘이 개발되어져 왔다(Wagener and Gupta, 2005; Winsemius et al., 2009). 그러나 전문성이 요구되는 보 정 알고리즘을 실무자가 SWAT 또는 HSPF 등에서 요구되 는 많은 매개변수들에 대해 실제로 적용하기엔 어려움이
있 다. 이에 현업에서는 모형에서 제시하고 있는 기본 값을 그 대로 사용하고 있는 경우가 많다. 또한 우리나라의 대부분의 유역은 미계측 유역으로 간주할
수 있으므로, 실무에서 매개 변수 기본 값 사용은 더욱 불가피한 측면이 있다.
그러나 부적절한 기본 값 사용은 모형의 정확도에 큰 영 향을 미친다(Shoemaker et al., 1997). 특히, 많은 수의 매개 변수가 요구될수록 모형에 미치는 영향은 커질 것이다. 따 라서 기본 값의 사용이 불가피하다면, 모형의 복잡성 및 매 개변수의
수를 감소시키는 것은 이러한 문제점을 개선하기 위한 하나의 방법일 것이다. 특정 유역이 가지는 구조와 특 성에 대해 완전한 정보를 파악하는 것은 어려우며,
이러한 정보의 부족이 모형 성능에 미치는 영향을 현실적으로 설명 할 수 없음을 인정한다면(Sivapalan, 2003), 가장 이상적인 모형은 최소한의 매개변수와 복잡성을 사용하여 현실에 근 접한 결과를 제공하는 것일 것이다(Devi et al., 2015). 따라 서 복잡한 수문모형들과는 반대로 Long-Term Hydrologic Impact Assessment (L-THIA)와 같이 실무적인 활용성에
중 점을 둔 수문모형도 함께 개발되고 있다. 이러한 모형들은 간단한 모형구조와 많지 않은 수의 매개변수로 이루어짐에 따라 높은 활용성을 가지는 반면,
어느 정도의 성능저하를 인정하고 합리적인 선에서 타당한 결과를 표출하는데 중점 을 두고 있다. 이와 같이, 자연현상의 재현에 있어서 모형이 가지는
본질적인 한계를 인정하고 매개변수의 수를 최소화한 단순한 구조의 수문모형을 이용하여 어느 정도 합리적이고 안정적인 결과를 제시할 수 있다면, 실무적으로
많은 이점이 있을 것이다.
반면, 토양수분은 증발산, 직접유출, 침투와 같이 유역의 수문분할 프로세스에 큰 영향을 미친다(Brocca et al., 2009; Norbiato et al., 2008; Tramblay et al., 2010). 특히, 직접유출 계산에서의 토양수분은 매우 중요한 요소이다(Michel et al., 2005; Shi et al., 2017; Singh et al., 2015). 이에 토양수분을 기반으로 하는 많은 수문모형들이 개발되어 왔으나, 우리나 라 실무에서는 유역의 유출특성을 확인하기 위해 토양수분 기반의 수문모형을
이용하기보다는 토양 및 토지피복 정보 만으로 직접유출 계산이 가능한 미자연자원보존국(Natural Resources Conservation Service,
NRCS)의 유출곡선지수 (Curve Number, CN) 방법(Chow et al., 1988; USDA-SCS, 1985)이 주로 사용되고 있다(Moon et al., 2014). NRCS-CN 방법에서는 일반적으로 5일 선행강우량을 이용하여 간접적 으로 토양수분 상태를 반영하고 있으나, 선행 토양수분조건 (Antecedent
soil moisture condition, AMC) 구분에 적용되는 5일 선행강우량은 물리적인 현상에 기초하여 제시된 값이 아닌 주관적인 판단에
따라 제시된 값이다(Ponce and Hawkins, 1996). 따라서 이러한 방법들은 강우의 침투-직접 유출 분할 및 토양 침투수의 증발산-지하수유출 분할의 수문 분할 프로세스에 미치는 토양수분의 영향을
명시적으로 반 영하지 못할 가능성이 있기에, 모형을 통해 토양수분의 시간 적인 거동을 모의할 수 있다면 더 객관적이고 합리적인 수문 분할 프로세스를
모의할 수 있을 것이다.
따라서 본 연구에서는 모형의 구성과 입력 매개변수의 수 가 최소화된 간략한 준분포형 수문분할모형을 제안하고자 한다. 이 때, 비교적 쉽게 획득이 가능한
유역의 GIS 자료로 부터 추출된 정보를 모형의 입력자료로 이용하여 핵심적인 유역 특성을 반영함으로써, 적은 매개변수의 수로 인해 유역 특성이 반영되지
못하는 단점을 보완하고자 하였다. 또한, 격자 내의 구성을 지표층, 토양층, 대수층으로 구분하여 토 양수분의 시간적 거동을 직접적으로 모의함으로써
더 명시 적인 수문분할 프로세스가 모의되도록 하였다. 2절에서는 본 연구에서 제안하는 모형에 대해 소개하였으며, 3절에서는 제 안된 모형을 이용하여
(1) 관측 유량자료가 존재하는 낙동강 유역의 4개 유역에 적용 후 (2) 모형 기본 값을 산정하고, (3) 기본 값을 이용한 모형의 유출모의 성능을
살펴보았으며, (4) 공간 관측자료와 모의 결과의 관계분석을 통해 공간스케일 에서의 모형의 유출모의 결과의 합리성과 (5) 널리 사용되고 있는 준분포형
직접유출 모의모형인 L-THIA와의 비교를 통 해 제안된 수문모형으로부터 구분되어 모의된 수문성분에 대한 타당성을 검토해보았다. 나아가, 제안된 수문모형의
결 과를 이용하여 (6) 유역 수문현상 모의에 있어서 토양수분의 중요성과 현재 유출량 산정에 많이 적용되고 있는 AMC 기 준의 적절성에 대해 토의해
보았으며, 추가적으로 (7) 제안 된 모형의 활용성에 대해 토의해 보았다.
2. Materials and Methods
2.1. 모형의 개요
본 연구에서 제안하는 격자기반의 준분포형 수문모형은 Matlab 언어를 기반으로 개발되었다. 먼저 비교적 손쉽게 획 득 가능한 GIS 자료를 이용하여
유역을 일정한 간격의 격자 로 구성하고, 격자별로 시간에 따른 수문분할요소(침투량, 직 접유출량, 증발산량, 침루량 등)를 계산함으로써 유역의 시공
간적 수문상태의 변화가 모의되도록 하였다. 유역의 물순환 건강성을 정확하게 평가하기 위해서는 각각의 수문분할요소 들이 적절한 수준으로 모의되어야 한다.
이 때, 토양수분은 가장 핵심적인 역할을 하는 수문상태이므로(De Michele and Salvadori, 2002), 본 연구에서 제안하는 모형은 토양수분을 중심으로 수문분할 프로세스를 모의하고자 하였다. Fig. 1은 제안된 모형의 구성을 간략하게 나타낸 것이다. 유역의 수치 표고모형(Digital Elevation Model, DEM), 토양도, 토지피복 도로부터
유역의 특성이 반영된 격자자료를 생성한다. 그 후 입력된 강우자료와 잠재증발산자료로부터 격자별 계산을 수 행하여 최종적으로 유역의 유출 및 기타 수문분할요소들에
대한 일 단위 모의자료를 생성한다.
Fig. 1. Flow chart of components in proposed model.
2.2. 모형의 구성
널리 사용되고 있는 SWMM과 SWAT 등을 참고하여 모형 을 구성하였다. 본 연구에서 제안된 모형은 입력된 유역의 격자정보를 이용하여 지표층, 토양층,
대수층으로 구분된 수 조(Tank)모형 개념으로 구성된다. 제안된 모형의 기본적인 구조를 모형 내에서의 수문분할 흐름과 함께 Fig. 2에 나타 내었다.
Fig. 2. Schematic diagram of proposed model.
2.2.1. 지표층
지표층의 경우 SWMM의 지표층 구성에서 착안하여 격자 내에서 투수면과 불투수면을 구분하고, 강우유출수가 발생하 기 전에 반드시 채워져야만 하는 용적을
의미하는 지면저류 고를 적용하였다. 특정 시간(t)에 특정 격자(i)의 불투수면에 내린 강수(P, mm)는 지면저류고(ds, i)에 의해 저류된 후 잠재 증발산량(Emax)을 고려하여 가능한 만큼 증발(Vi, mm)하게 되며, 현재의 지표수면(di, mm)이 ds, i 을 초과할 경우 초과하 는 양 만큼 직접유출(Qi, mm)로 계산된다. 불투수면에서의 실 제증발산량 및 직접유출량은 아래와 같이 산정된다.
투수면의 경우 저류된 강우가 잠재증발산량을 고려하여 증 발(Vp, mm)되고, 지면저류고(ds, p)를 초과하는 양(Pg, mm)이 토양층으로 침투되거나, 직접유출로 계산된다.
투수면에서의 직접유출(Qp, mm) 계산하기 위하여 직접유출 계산에 널리 사용되는 NRCS-CN 방법을 참고하였다(Eq. (5)).
여기서 S는 잠재보유수량이며, Ia는 초기손실량으로 지면저 류고와 동일한 개념으로 볼 수 있다. 제안된 모형은 지표층 에서 지면저류고를 우선적으로 고려하여 계산하고 있으므로, 위의
식을 Eq. (6)과 같이 수정하여 적용하였다. 이는 SWMM 의 수정 NRCS-CN 방법과 유사하다. 제안된 모형은 시간에 따른 토양수분을 연속적으로 모의하기 때문에
Eq. (5)의 잠 재보유수량(S) 대신 시간 변화에 따른 토양수분의 조건을 고 려하였다.
여기서 s는 해당 시간(t)의 0에서 1까지의 값을 가지는 정규 화된 토양수분량을 나타낸 값이며, Smax 는 최대유효토양깊 이(mm)이다. 즉, Eq. (6)에서 (1-st)×Smax 는 토양 내에서 수 분이 채워지지 않은 용적(mm)을 의미하며, Eq. (5)의 S와 동 일한 의미를 가진다. 이러한 과정을 통해 투수면에서의 직접 유출량이 계산되며, 토양층으로 침투되는 양(W, mm)은 아래 와 같이 계산된다.
제안된 모형에서는 매개변수의 수를 최소화를 위해 해당 격자에 발생한 강우유출수(직접유출)는 당일 유역 출구지점 으로 유출되는 것으로 가정하였으며 격자간의
수평방향 흐 름은 고려하지 않고 격자별 수직방향 흐름만 고려하였다.
2.2.2. 토양층
토양층 내부로 침투된 물은 다시 증발산(Vs, mm)되며, 토양 층의 증발산량은 현재시간의 토양수분(s)을 고려하여 아래와 같이 계산된다.
여기서 Vmax, t 는 Emat, t - Vp, t이며, s*는 토양수분의 최적점 (Optimum point)로 현재 토양수분이 이보다 작을 경우, 토양 수분에 비례하여 증발산량이 감소되며, 이보다 클 경우에는
잠재증발산량 만큼 증발산이 이루어진다. 단, 이와 같이 계 산되는 Vs, t 는 토양 내에 남아 있는 물의 양인 st·Smax 을 초 과할 수 없다.
또한, 토양수분은 토양층에서 대수층으로의 침루되며, 침 루(K, mm)는 토양수분과 대수층의 지하수면을 고려하여 계산 된다.
여기서 β는 침루형상계수, Ks 는 포화투수계수(mm/d)를 의미 하며, H는 한계지하수면(mm), h는 현재시간(t)에서의 지하수 면의 높이(mm)를 의미한다. 토양층의 증발 및 침루 기작을 도 시하면 Fig. 3과 같다.
Fig. 3. Evapotranspiration and percolation in soil layer.
2.2.3. 대수층
앞서 언급된 바와 같이, 제안된 모형은 모형의 구성을 최 소화하기 위하여 격자 사이의 수평적 상호작용이 고려되지 않았다. 그러나 지하수 유출모의를
위해서는 격자 사이 상호 작용을 반영할 필요가 있다. 이와 같은 상호작용을 정확하게 고려하고자 할 경우에는 매개변수들의 수가 크게 증가할 뿐 만 아니라
현업에서는 직접 관측하기 어려운 매개변수들로 남겨지기 때문에, 모형 구성의 단순화를 위하여 대수층은 유 역 전체를 하나의 TANK로 구성하여 유역
전체에 대한 평균 적인 거동을 표현하도록 구성하였다.
다만 격자별로 지형을 고려하여 한계지하수면(H)을 아래 와 같은 식으로 산출하여 격자의 위치에 따른 공간적인 특성 을 부여하였다.
여기서, fg 는 지하수면 조정계수이며, E는 해당 격자의 고도 (mm), Eo는 유역출구에서의 고도(mm), Gb는 최저지하수면(mm) 이다. 이때, fg 와 Gb는 본 연구에서 적용한 유역들과 기상환 경을 토대로 여러 차례의 다양한 수치실험을 통하여 모의 결 과에 대해 민감한 영향을 주지 않는 것으로 확인되어,
경험 적으로 각각 0.0002와 10 mm로 설정하였다. 또한, SWAT의 지하수유출 기작을 참고하여 침루량을 이용한 지하수면(h, mm) 및 기저유출(G, mm)를 산정하였다.
여기서 αg 는 SWAT에서 사용되는 지하수관련 매개변수로 감쇠상수를 의미한다.
3. Results and Discussion
3.1. 모형구축
3.1.1. 대상유역 및 모형구축
본 연구에서는 낙동강 유역 중 관측 댐 유입량 자료가 존 재하는 남강댐, 밀양댐, 안동댐, 합천댐 유역을 대상으로 모 형을 적용하였다. 다양한 기상,
지형 및 유출 특성을 나타내 는 각 유역에 대해 적용해보고자 하였으며, 선정된 유역에 대한 기본적인 정보를 Table 1에 나타내었다.
Table 1. Information of selected study areas
|
Watershed
|
Area (km2)
|
Yearly average precipitation (mm)
|
Yearly average inflow (mm)
|
|
Namgang Dam
|
2,285.0
|
1,490.9
|
944.9
|
|
Andong Dam
|
1,584.0
|
1,089.1
|
515.3
|
|
Hapcheon Dam
|
925.0
|
1,244.8
|
615.7
|
|
Milyang Dam
|
95.4
|
1,213.1
|
794.2
|
제안된 모형은 총 11개의 매개변수(지표층관련 매개변수 3 개, 토양층관련 매개변수 4개, 대수층관련 매개변수로 2개) 로 유역의 특성이 반영된다.
본 연구에서는 사용자가 직접 값을 입력해야하는 매개변수를 줄이고, 유역의 DEM, 토양 도, 토지피복도를 이용하여 유역의 특성을 반영되도록 하였 다.
이에 우선적으로 4개의 유역에 대한 모형 구축을 위해 각 유역별 중분류 토지피복도, 토양도, DEM 자료를 획득하 였으며, GIS 자료를 모형 입력자료로
변환하기 위해 ArcGIS 프로그램을 이용하여 토양도와 토지피복도로부터 90 m 간격 의 격자별 평균 CN 값을 추출하였다. 토지피복도로부터 격 자별 평균 불투수율을 NIER (2014)와 U. S. EPA (2015)에서 제시하고 있는 토지이용별 불투수율을 참고하여 생성하였으 며(Table 2), 토양도로부터 NRCS 수문학적 토양그룹에 따른 격자별 평균 포화투수계수를 추출하였다(Table 3). 30 m 해 상도의 DEM 또한 동일한 공간해상도로 변환하기 위해 ArcGIS 프로그램을 이용하였다. Fig. 4는 안동댐 유역을 대 상으로 생성된 격자 입력자료를 예시로 나타낸 것이다.
Table 2. Percent of impervious area for land use
|
Land use
|
Percent impervious area (%)
|
Reference1) |
|
Residential
|
0.44
|
1
|
|
Industrial
|
0.79
|
1
|
|
Commercial
|
0.62
|
1
|
|
Education
|
0.47
|
1
|
|
Transportation
|
0.95
|
1
|
|
Institutional
|
0.34
|
2
|
|
Agricultural
|
0.02
|
2
|
|
Forest
|
0.019
|
2
|
|
Open urban land
|
0.11
|
2
|
Table 3. Hydraulic conductivity (KS) for hydrologic soil group by NRCS
|
Soil group
|
Range of KS (mm/d)
|
Average of KS (mm/d)
|
|
Type A
|
182.88 - 274.32
|
228.60
|
|
Type B
|
91.44 - 182.88
|
137.16
|
|
Type C
|
30.48 - 91.44
|
60.96
|
|
Type D
|
0 - 30.48
|
15.24
|
Fig. 4. Gridded input data from GIS data at Andong Dam watershed.
사전 처리과정을 통해 생성된 각 유역별 격자 평균 CN, 불 투수율, 포화투수계수, DEM 자료가 모형에 입력되며, 이로 부터 각 매개변수가 산정된다. 장기유출모의에서 CN 방법을 적용할 경우에는, 건기 동안에 건조한 토양상태를 반영하기
위해 선행토양함수조건(Antecedent soil Moisture Condition, AMC)이 가장 건조한 상태를 의미하는 AMC I의 CN 값을 이용하여 Smax 를 산정할 필요가 있다(U. S. EPA, 2016). 따 라서 Eq. (13)과 Eq. (14)를 이용하여 AMC-I 조건에 해당하 는 CN으로부터 Smax 가 산정된다.
격자 불투수율자료로부터 격자별 불투수율 Ri 가 산정되며, 포화투수계수자료는 Ks 로 이용된다. 또한 앞서 언급한바와 같이 경험적 상수를 이용하여 격자별 H가 산정된다. 그 밖 에 지표층 관련 매개변수들 중 지면저류고는 U. S. EPA (2016)에서 제시된 값을 참고하여 투수지역(ds, p)의 경우 5 mm, 불투수지역(ds, i)의 경우 1.59 mm를 적용하였다. 따라서 사용자가 직접 유역에 특성에 따라 입력해야하는 매개변수 는 s*, β, αg이다.
3.1.2. 모형 매개변수 최적화 및 기본 값 산정
본 연구에서 제안된 모형과 같이 아무리 적은 수의 매개변 수 입력이 요구되더라도 보정 과정을 통해 해당 매개변수의 합리적인 값을 선택할 필요가 있다.
그러나 미계측 유역에 모형을 적용하거나, 일반 사용자가 실무에 모형을 사용하고 자 할 때에는 여러 가지 이유로 인하여 보정 과정을 수행하 기가 어려운
경우가 많다. 일반적으로 매개변수의 기본 값으 로 많은 계측 유역에서 보정된 매개변수의 평균값을 이용하 고 있다.
따라서 본 연구에서는 앞서 4개 유역을 대상으로 구축된 모형에 대해 각 유역별 입력 매개변수(s*, β, αg)를 보정하였 으며, 이를 통해 모형의 매개변수 기본 값을 산정하였다. 우 선, 유역별 매개변수의 보정을 위해 2009년부터 2018년까지 의 관측
유량과 모의된 총 유출량의 비교를 통해 최적화가 수행되었다. 관측 유량 자료로 각 유역의 말단에 위치한 댐 에서 관측된 일 유입량이 사용되었다. 이를
위해 국가수자원 관리종합정보시스템(wamis.go.kr)에서 제공하는 일 단위 댐 유입량을 기상자료와 동일한 기간에 대해 획득하였으며, Matlab 상에서 제공되는 최적화 모듈 중 하나인 Pattern
Search 기법이 적용되었다. 최적화 기법을 이용하여 반복 모 의를 통해 Eq. (15)와 같이 월별 모의유출량과 관측 댐 유입 량을 비교하여 목적함수가 가장 작은 값을 갖는 매개변수 조 합이 탐색되었다.
여기서 N은 모의기간 동안의 총 개월 수이며, Fs 는 i번째 월 에 해당하는 모의된 월 유출고, Fo 는 i번째 월에 해당하는 관측된 월 유출고를 의미한다. 이때, 모형의 초기조건에 의 한 영향을 최소화하기 위하여 초기 1년(2009년)의 모의 결과 는
분석에서 제외하였다. Table 4는 위의 과정을 통해 구축 된 각 유역의 최적화된 매개변수를 보여주고 있다.
Table 4. Optimal parameters
|
Watershed
|
s*
|
β |
αg |
|
Namgang Dam
|
0.9000
|
3.5422
|
1.0000
|
|
Andong Dam
|
0.1943
|
1.9995
|
1.0000
|
|
Hapcheon Dam
|
0.5439
|
3.7793
|
0.9992
|
|
Milyang Dam
|
0.5302
|
1.8730
|
0.9453
|
|
Average
|
0.54
|
2.80
|
0.99
|
Fig. 5는 각 유역별로 최적화된 매개변수를 이용하여 모의 된 월 유출량(SIM)과 관측 댐 유입량(OBS)을 비교한 것이 다. 최적화된 매개변수에 따른 유역별
수분성분의 재현성을 수치적으로 확인하기 위해 월 유량에 대한 결정계수(R2), Nash-Sutcliffe Efficiency (NSE; Nash and Sutcliffe, 1970), Kling-Gupta efficiency(KGE; Gupta et al., 2009)를 살펴보았 다. 4개 유역 모두 R2, NSE 및 KGE가 0.8 이상을 만족하는 것으로 나타났다. 일반적으로 R2가 0.5, NSE가 0.4, KGE가 0.6 이상이면 모형의 결과가 관측자료를 우수하게 반영하고 있는 것으로 판단한다(Chung et al., 1999; Green et al., 2006; Patil and Stieglitz, 2015). 따라서 매개변수 최적화를 통해 보정된 모형은 각 유역의 월 단위 유량을 매우 우수하 게 모의하는 것으로 판단된다. 각 유역별로 산정된 최적화
매개변수를 평균하여 매개변수 기본 값으로 사용하였다.
Fig. 5. Monthly simulation results using optimal parameters for each watershed.
3.2. 기본 매개변수 값을 이용한 모형 성능 평가
3.2.1. 월 단위 유출모의 성능
앞서 유역별 최적화 매개변수 사용에 따른 유출모의 성능을 확인하였으며, 산정된 최적화 매개변수로부터 기본 값을 도출 하였다. 본 절에서는 도출된 기본
값으로 모형을 모의하였을 때의 월 단위 유출 모의성능을 재확인 해보았다(Fig. 6). 기본 값을 사용하여 4개의 유역에 대해 월 유량의 모의 성능을 살 펴 본 결과, 최적화 매개변수 사용 시보다 다소 성능이 저하 되었지만, 월
단위 관측 유입량(OBS)과 모의 유출량(SIM) 간 의 R2와 NSE, KGE 모두 0.7 이상의 높은 값을 나타내었다.
Fig. 6. Monthly simulation results using default parameters for each watershed.
3.2.2. 일 단위 유출모의 성능
월 단위 이상의 모의결과 만으로도 충분히 유역의 물순환 건강성을 판단을 위한 유역의 수문순환에 대한 정보를 획득 할 수 있다. 그러나 유출 모의결과의
활용성 측면에서 본다 면 보다 짧은 시간의 모의결과의 정확도 또한 요구된다. 이 에 관측 일 유입량과 비교를 통해 제시된 모형의 일 단위 유 출량
모의 성능을 확인해보고자 하였다. Fig. 7은 남강댐 유 역에 대해 2016년 1월부터 12월까지 모의된 일 유출량과 관 측 댐 유입량을 나타낸 것이다. 강우가 상대적으로 적게 발 생하는 기간(A
기간)의 경우 대체적으로 모의 유량이 관측 유량보다 작게 산정되는 반면, 강우가 집중되는 기간(B 기 간)은 반대로 모의 유량이 관측 유량보다 크게
산정되고 있 음을 확인 할 수 있다. 특히, 이러한 과소 및 과정 추정결과 는 주로 수문곡선의 감수부에서 나타나는 것으로 볼 때, 지 하수 유출 기작의
단순화가 이러한 불일치의 원인이 되었을 것으로 분석되었다.
Fig. 7. Comparison between observed and simulated daily total flow in Namgang Dam watershed in 2016.
실제 유역의 특성은 계절적으로 변화하나, 본 연구에서는 모형의 구조를 최소화하기 위해 유역 특성의 계절적인 변화 를 직접적으로 반영하는 기작 또는
매개변수가 포함되지 않 았다. 단지, 모의에 있어서 강우발생에 따른 토양수분의 시 간적인 변화를 모의하고 있으며, 그에 따라 유출, 증발산, 침 루
등의 산정에 계절적인 영향을 간접적으로 반영하고 있다. 이러한 관점에서 본다면 구조의 단순함에도 불구하고 합리 적인 선에서 타당한 일 단위 유출모의
성능을 나타내며, 계 절적인 변화를 준수하게 반영하고 있다고 판단된다.
일 단위 유출모의 성능을 전체적으로 파악하기 위해, 4개 의 유역을 대상으로 전체 모의기간에 대해서 모의된 일 유출 결과와 관측된 일 댐 유입량을
비교해 보았다(Fig. 8). 각 유 역별 관측 및 모의 일 유량에 대한 R2와 NSE를 산출한 결 과, 밀양댐 유역을 제외하고는 R2가 0.5 이상, NSE가 0.4 이 상을 만족하여 최소한의 성능은 확보하고 있음을 나타냈다. 밀양댐 유역의 경우에는 관측 유입량자료가 최소 0.1
cms 단 위로 제공되고 있기에 특히 저유량 시기에 관측자료와 모의 자료 사이의 오차를 발생시킨다. 즉, 관측자료가 실제 유역 의 유입량보다 과소
또는 과대한 값을 나타내기에 이를 감안 하고 모형의 성능을 평가해야 할 필요가 있다. 특히 면적이 작은 밀양댐의 경우 관측 값의 단위에 따른 영향을
크게 받 고 있으며, 이는 모형의 성능 평가에 크게 영향을 미치고 있 는 것으로 판단된다. 이러한 관측자료의 한계를 고려한다면, 제안된 모형은 유역특성의
계절적 변화와 격자 사이의 수평 적 흐름 및 도달시간 등 일 강우의 지연유출에 대한 고려가 되지 않았음에도 일 단위 유량을 비교적 합리적으로 모의하
고 있는 것으로 판단된다.
Fig. 8. Comparison between observed and simulated daily total outflow.
3.2.3. 공간적 스케일에서의 유출모의 성능
제안된 모형은 준분포형 모형으로 격자별 수문성분이 각각 모의되지만, 대부분의 매개변수가 집체형 모형과 같이 유역 평균 값이 적용되고 있다. 따라서
이는 모형에 공간적인 특 성을 반영되지 못하고 모든 격자에서 비슷한 결과를 모의할 가능성이 있음을 의미한다. 본 모형의 매개변수 중 유역의 공간적인
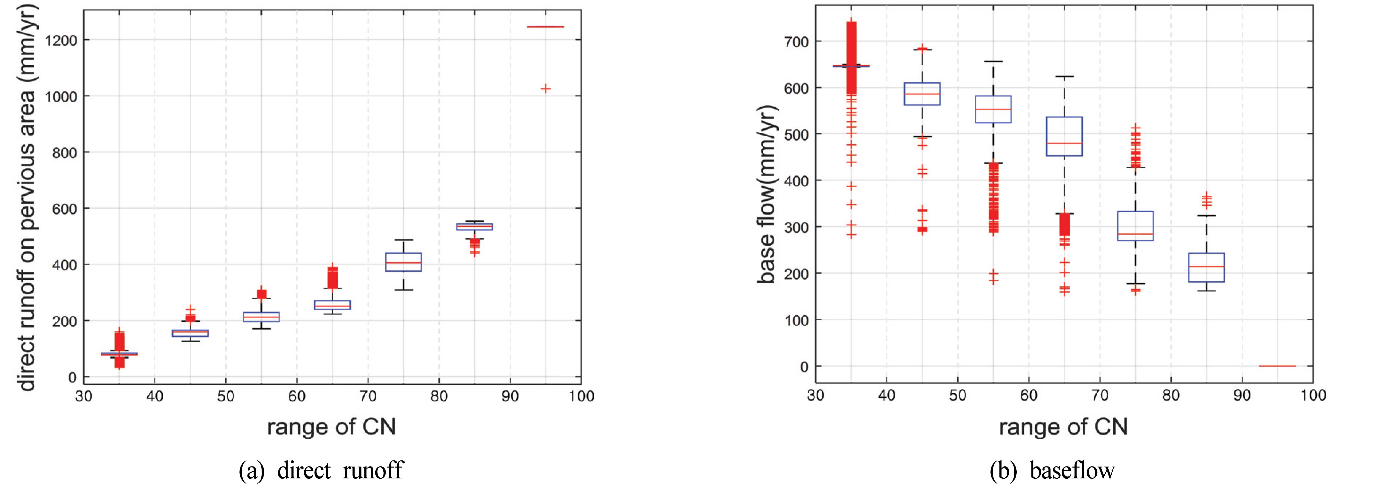
특성을 반영하는 주요한 매개변수는 격자별 CN 정 보이다. 모형이 CN으로부터 유역의 공간적인 특성을 합리적 으로 반영한다면, CN이 높은 격자에서는 직접유출이 많고 기저유출이 적을 것이며, CN이 낮은 격자는 반대의 결과가 나타나야 할 것이다. 반대로 CN 값의 영향이 미미하여, 공간 적인 특성을 나타내지 못한다면 모든 격자에서 비슷한 결과 를 나타낼 것이다. 따라서 격자별 CN 값에 의한 격자별 수 문요소가 합리적으로 모의되고 있는지 확인하고자, 모형을 구성하고 있는 격자별 CN 범위에 따라 모의된 연평균 직접 유출과 기저유출을 비교해 보았다.
Fig. 9는 합천댐을 대상으로 2010년부터 2018년까지 모의 를 통해 산정된 격자별 투수면에서 발생한 연평균 직접유출 과 기저유출을 해당 격자의 CN에 따라 나타낸 것이다. 그 결과, 격자의 CN 값이 클수록 직접유출량이 많이 나타나고 있으며, 반대로 기저유출량은 CN과 반비례하여 나타났다. 참고로, Fig. 9의 이상치는 CN 이외에 공간적인 특성을 나타 내는 Ri, Ks 등에 의해 동일한 CN에서도 산정되는 결과에 차이가 발생하여 나타나는 것이다. 따라서 격자별 CN을 통 해 모형에 유역의 공간적인 특성을 합리적으로 반영하고 있 음을 확인 할 수 있다.
Fig. 9. Simulated direct runoff and baseflow for range of Curve Number (CN) in Hapcheon Dam watershed.
3.2.4. 직접유출 모의성능 평가
제안된 모형은 지표층, 토양층, 대수층으로 구분되어 각 층 별 수문성분을 개별적으로 모의할 수 있는 장점이 있다. 따 라서 주요 수문성분인 총 유출량은
지표층에서 발생하는 직 접유출과 대수층에서 발생하는 기저유출의 합으로 계산되어 진다. 앞서 총 유출량 모의에 대한 모형의 성능은 관측 유량 자료를
이용하여 보정을 통해 평가되었지만, 이를 구성하는 직접유출과 기저유출이 합리적인지 또한 판단할 필요가 있 다. 그러나 관측된 직접 또는 기저 유출량
자료의 경우 현재 로써는 사실상 확보가 불가능하기에, 본 연구에서는 직접유 출량 예측에 널리 사용되며 모형결과의 타당성이 어느 정도 확보된 기존의
모형을 이용하고자 하였다.
L-THIA 모형은 직접유출량예측에 널리 사용되고 있는 준 분포형 모형으로, GIS 기반의 토양도 및 토지이용도를 입력 자료로 사용하며, 매개변수의
수가 적고 장기모의를 수행할 수 있는 본 연구에서 제안된 모형과 유사한 모형이다. L-THIA는 (1) GIS 기반의 토양도 및 토지이용도로부터 격자
별 CN 값을 산출하고, (2) Eq. (5)의 CN 공식을 그대로 적용 하여 일 단위 강우자료로부터 격자별 일 단위 직접유출량을 산출한 후, (3) 이를 합산하여 유역의 직접유출량을 산출한
다. 모형의 활용성이 높아, 도시화에 따른 수문변화 분석 (Grove et al., 2001; Kim et al., 2002; Lim et al., 2003)과 같 이 직접유출량을 이용한 분석뿐만 아니라, 다양한 유역관리 시나리오 분석(Tang, Engel, Lim et al., 2005, Tang, Engel, Pijanowski et al., 2005), 비점오염 및 그린인프라 시설의 모 의(Ahiablame et al., 2012; Bhaduri et al., 2000; Jeon et al., 2014; Lim et al., 2006; Ryu et al., 2014) 등에 적용된 바 있 으며, 우리나라의 다양한 유역에 대해 적용성이 검토된 바 있다(Kim, Lim et al., 2007; Kim, Park et al., 2007; Lim et al., 2003). L-THIA 모형에 대한 보다 자세한 사항은 위의 문 헌들을 참고할 수 있다.
L-THIA를 통한 직접유출 모의를 위해 사용자가 입력해야 하는 매개변수는 일반적인 CN 방법을 이용한 직접유출량 계 산과 동일하게 Ia/S 계수와 성수기와 비성수기의 시작 일이 다. 매개변수의 기본 값으로 Ia/S는 0.2가 제시되고 있으며 성수기와 비성수기의 시작 일은 설정하지 않는다. 성수기와 비성수기의 시작 일을 설정하지 않을 경우 모든 기간에 대해 AMC
II 조건이 적용된다. 본 연구에서는 보다 유사한 조건 에서의 비교를 위해 L-THIA 모형을 격자별 모의가 가능하 도록 Matlab 언어 기반으로
모형을 재구성 하였다. 제안된 모형과 동일하게 토양도와 토지피복도를 이용하여 격자별 CN 값을 추출하고, 동일한 공간평균 강우자료를 이용하여 모의를
수행하였다.
두 모형의 월별 직접유출 모의 결과를 비교하였을 때 유사 한 거동을 나타내는 것으로 보이나 강우가 많이 발생한 월에 서 제안된 모형의 직접유출량(proposed
model)이 L-THIA보 다 크게 모의되고 있음을 알 수 있다(Fig. 10). 연별 직접유 출 모의 결과 또한 전체적으로 직접유출량이 L-THIA 보다 크게 산정되고 있음을 확인할 수 있다. 두 모형 사이의 가장 큰 차이는
토양수분의 모의 여부에 있다. 제시된 모형은 수 문순환에 의해 시간에 따라 변하는 토양수분을 모의함으로 써 토양수분의 변화가 직접유출 산정에 영향을
미친다(Eq. (6)). L-THIA 또한 모의 시 성수기와 비성수기 기간을 설정 한다면, 5일 선행강우량에 따른 AMC 조건의 변화를 반영할 수 있다. 그러나 L-THIA를
이용한 많은 연구들(Grove et al., 2001; Kim et al., 2002; Leroy, 2004; Lim et al., 2005)에서 는 AMC가 대부분 건조한 조건에 해당하여 직접유출량이 과 소모의 되기 때문에 이를 방지하기 위하여 본 연구에서와 적 용한 바와 같이 AMC에
따른 조건의 변화를 반영하고 있지 않다. 따라서 L-THIA는 AMC II에 해당하는 S 값을 일정하 게 적용하고 있으며, 이에 따라 토양수분의 변화와 토양수분 이 직접유출에 미치는 영향을 반영하지 않는다고 할 수 있다 (Eq. (5)).
Fig. 10. Comparison of direct runoff between present model and L-THIA in Namgang Dam watershed.
그러나 유출모의에서 토양수분 상태의 변화를 고려하지 않 고 일관되게 적용할 경우, 성수기의 토양수분이 실제보다 건 조한 상태로 고려되어 직접유출량이
과소모의 될 가능성이 있으며, 반대로 비성수기의 경우 토양수분이 습윤한 상태로 고려되어 직접유출량이 과다하게 모의 될 가능성이 있다. 그 러나 일반적인
강우량이 초기차단량(Ia)보다 작을 경우 유출 이 발생하지 않는 것으로 계산되기 때문에 비성수기의 과대 모의 가능성은 감소하나, 성수기의 과소모의 가능성은 여전 히 존재한다.
또한 AMC 조건이 고려되지 않을 경우에 토양 수분의 변화가 고려되지 않기에 큰 강우의 직접유출량이 실 제 값보다 작게 모의된다(Kim, Park et al., 2007). 이러한 이 유로 토양수분의 변화를 적절히 반영하는 제안된 모형은 성 수기의 습윤한 토양수분 상태를 반영함으로써 L-THIA보다 높은 유량이 모의되는
것으로 분석된다.
이를 정량적으로 확인하기 위해 남강댐 유역을 대상으로 2012년 6월 26일부터 7월 25일에 발생한 강우에 대한 두 모 형의 유역 평균 일 단위
직접유출과 토양수분의 변화를 살펴 보았다(Fig. 11). 참고로 Fig. 11에서 P는 강우, Q는 직접유 출이다. 또한, S는 토양 내 수분이 채워지지 않은 유효 깊이 로, 본 연구에서 제시된 모형의 유효토양깊이(1-s)×Smax), L-THIA의 잠재보유수량(S)를 의미한다. 지면저류고(ds) 또 는 초기차단량(Ia)의 적용 등 두 모형의 기작이 다르기에 두 모형이 동일한 S 값을 가지더라도 동일한 토양수분상태를 가진다고 볼 수 없다. 즉, Fig. 11에서와 같이 제안된 모형 (proposed model)의 S 값이 L-THIA의 S 값보다 작은 값을 나타내어도, 이것이 제시된 모형의 토양수분상태가 L-THIA 보다 건조하다고 해석할 수는 없다. 특히, L-THIA는 Ia의 값 이 직접유출량 산정에 주요한 영향을 미치기 때문에 S 값 자체가 직접유출 모의에 미치는 영향에 대한 두 모형 사이의 차이를 명확하게 정량화 할 수는 없다.
Fig. 11. Comparison of Q and S between present model and L-THIA in Namgang Dam watershed from 2012.6.26. to 2012.7.25.
그러나 토양수분의 시간적인 변화가 직접유출에 미치는 영 향은 상대적으로 비교가 가능하다. 제안된 모형은 토양수분 의 시간에 따른 변화를 모의하고 있으나,
L-THIA는 강우와 관계없이 일정한 값이 적용되고 있다. Fig. 11의 A 기간에 대해 살펴보았을 때, L-THIA의 경우 강우의 감소(54.0 mm, 53.3 mm, 27.2 mm)에 따라 직접유출량도 감소(7.8
mm, 7.5 mm, 1.3 mm)하고 있다. 토양수분상태가 일정하게 반영되기에 직 접유출이 강우에만 매우 민감하게 반응하고 있다. 즉, 강우 의
패턴이 직접유출에도 그대로 반영되고 있는 것이다. 반면, 본 연구에서 제안된 모형의 경우 지속적인 강우의 발생에 따 라 토양수분이 증가하여, 강우의
감소에도 불구하고 직접유 출은 강우와는 다른 거동(10.0 mm, 12.6 mm, 3.8 mm)을 나타내 고 있다.
동일한 강우가 발생하였을 때, 선행 강우량이 많으면 유역 의 토양 습윤도가 높아 유출률은 커지나 선행 강우량이 적을 경우에는 침투량이 증가하여 유출률은
감소한다(USDA-SCS, 1985). 직접유출량을 비교하였을 때, 제안된 모형이 L-THIA 에 비해 직접유출량을 상대적으로 과대모의하는 것으로 나 타내고 있지만, 제안된 모형은
직접유출량 산정에 있어서 토 양수분의 변화를 합리적으로 반영하고 있음을 확인 할 수 있 다. 또한 여러 문헌에서 제시된 기본 값을 적용한 L-THIA는
모형 구조적으로 과소모의의 가능성이 있음을 확인하였으며, 앞 절에서 확인한 바와 같이 제안된 모형은 관측 유입량과 비교하여 총 유출량을 우수하게 모의하고
있음을 고려한다 면, 모형으로부터 산정된 직접유출량 또한 타당한 결과임을 간접적으로 확인 할 수 있다.
3.3. 선행토양수분조건과 5일 선행강우량
앞서 본 연구에서 제안된 모형은 토양수분의 모의를 통해 유역의 수문성분을 산정하며, 모형의 구조나 매개변수에 직 접적인 계절성을 반영하지 않음에도
불구하고 유출을 합리 적으로 모의하고 있음을 확인하였다. 2018년 사이에 발생한 모든 강우에 대해, 강우 발생 직전의 정규화된 토양수분 값 (s, Eq.(6) 참고)의 유역 평균값과 직접 유출률(즉, 직접 유출 고/강수량)의 관계를 살펴보았다(Fig. 12). 직접 유출률은 강 우량의 크기에 매우 민감하기 때문에, 해당 시점에 발생한 강우량의 크기별로 구분하여 비교해 보았다. 3 mm/d 이하의 강우량에
대한 토양수분과 직접 유출율의 관계는 뚜렷한 패 턴을 나타내지는 않지만, 그 이외의 강우 구간에서는 토양수 분의 증가에 따라 직접 유출률이 증가하는
추세를 확인할 수 있다. 다양한 요소가 유출에 영향을 미치기에 토양수분 상태 만으로 유출의 특성을 온전히 설명하기는 힘들지만, 그럼에 도 Fig.
12에서 나타난 결과는 토양수분이 유출에 중요한 요 인 중 하나라고 언급한 다수의 연구들(Brocca et al., 2008; De Michele and Salvadori 2002; Shi et al., 2017)의 주장을 뒷받침 할 수 있는 결과이다.
Fig. 12. Relation of direct runoff ratio with soil moisture.
Fig. 12와 동일한 기간에 대해 5일 선행강우량과 직접 유 출율의 관계 또한 강우의 크기에 따라 5일 선행강우량이 크 면 유출율 또한 증가하는 것을 나타내었지만,
여기서 주목해 야할 점은 대부분의 5일 선행강우량이 0 mm에 가까운 값이 란 사실이다(Fig. 13). 이는 5일 선행강우량만으로 토양수분 상태를 파악할 경우, 실제로 토양은 습윤한 상태일지라도 앞 서 5일 동안 강우가 발생하지 않았다면 실제 토양수분상태
를 반영하지 못하고 유출 모의에 대부분이 건조한 상태로 반 영될 가능성이 있음을 의미한다.
Fig. 13. Relation of direct runoff rate with 5-day antecedent rainfall.
따라서 단순히 5일 동안 내린 비가 토양수분의 상태를 설 명하기에 적절한지 판단하기 위해, Fig. 14에 밀양댐 유역에 대해 성수기(6, 7, 8, 9월)와 비성수기로 구분하여 해당 기간 의 강우 발생 시점을 기준으로 5일 선행강우량과 제안된 모 형에서
모의된 토양수분을 비교하여 도시하였다. 이때, Table 5에 제시된 AMC 조건에 따라 구분해보았다. 성수기의 경우, 산정된 5일 선행강우량의 대부분(약 64%)이 AMC I 조건을 나타냈으며, AMC I
조건의 5일 선행강우량에 대한 토양수 분은 약 0.02에서 0.33의 범위를 나타내고 있다(Fig. 14a). 이 는 전체 토양수분의 범위가 약 0.02에서 0.52임을 감안한다 면, 토양상태가 건조하지 않을 경우에도 AMC I 조건으로 반 영되고 있음을
의미한다. 비성수기도 동일하게 토양수분의 전체 범위를 고려할 때 토양상태가 건조하다고 할 수 없는 경우에도 5일 선행강우량은 AMC I 조건을 나타낸다(Fig.
14b). 이러한 결과는 밀양댐 유역 이외에 남강댐, 안동댐, 합 천댐에서도 확인되었으며, 따라서 5일 선행강우량은 대부분 의 경우 토양수분상태를 과소평가할
가능성이 있는 것으로 판단된다. 이는 5일 선행강우량을 적용한 유출계산의 과소모 의 가능성을 의미하며, 앞서 5일 선행강우량을 적용하는 L-THIA와
같은 모형의 경우에도 과소모의의 문제점을 확인 한 바가 있다(Grove et al., 2001; Kim et al., 2002; Leroy, 2004; Lim et al., 2005). 따라서 5일 선행강우량의 문제를 인 식하고, 유출 계산에서 토양수분을 고려하기 위한 추가적인 노력이 필요할 것이다(Michel et al., 2005; Shi et al., 2017; Singh et al., 2015).
Fig. 14. Relation of soil moisture with 5-day antecedent rainfall in Milyang Dam watershed.
Table 5. Total 5-day antecedent rainfall for antecedent soil moisture condition (AMC) adjustment
|
AMC
|
Total 5-day antecedent rainfall (mm)
|
|
Growing season
|
Dormant season
|
|
I
|
Less than 35.56
|
Less than 12.70
|
|
II
|
35.56-53.34
|
12.70-27.94
|
|
III
|
Over 53.34
|
Over 27.94
|
3.4. 모형의 활용
본 연구에서 제안된 모형은 적은 수의 매개변수를 사용함 에도 불구하고 앞서 수행된 분석을 통해 어느 정도 합리적인 선에서 타당한 결과를 제시하고 있음을
확인하였다. 또한, 본 모형은 유출 및 토양수분 뿐 아니라 습윤량(W), 증발량 (V), 기저유출량(G), 직접유출량(Q), 총 유출량(F) 등 다양 한 수문성분들을 모의할 수 있다. 이는 모형이 유역의 유출 계산에만 국한하여 적용하는 것이 아닌, 다양한 측면에서의 활용이 가능하게 한다.
Table 6은 본 모형을 이용하여 2010 년부터 2018년까지 모의된 결과로부터 산정된 각 유역의 수 문성분 별 연평균 값을 나타낸 것이다. 이와 같이 모형의
수 문성분별 모의 결과를 이용하여 유역의 물순환 건전성을 파 악하는데 도움이 될 수 있다.
Table 6. Simulated yearly average hydrologic components for each watershed
|
Watershed
|
Yearly average hydrologic components* (mm/yr)
|
|
P |
W |
V |
G |
Q |
F |
|
Namgang Dam
|
1213.1
|
1007.7
|
571.2
|
436.4
|
205.4
|
641.7
|
|
Andong Dam
|
1089.1
|
979.3
|
517.7
|
461.9
|
109.8
|
571.7
|
|
Hapcheon Dam
|
1244.8
|
1090.3
|
518.8
|
571.4
|
154.5
|
725.9
|
|
Milyang Dam
|
1490.9
|
1246.5
|
578.9
|
667.5
|
244.4
|
911.9
|
또한, 분포형 수문모형의 가장 큰 장점 중 하나는 집체형 모형(lumped model)에서와 같은 소유역 분할과정을 거치지 않고도 유역 내 임의 지점(격자)에
대한 개별적인 결과를 산 정할 수 있다는 것이며(Ajami et al., 2004), 집체형 모형을 이용하는 경우에 비해서 공간 스케일 문제에서 발생되는 오 차를 감소시킬 수 있다(Young, 2006). 제안된 모형은 다양한 수문성분이 격자별로 계산되기에 유역의 공간적인 해석이 가능하다. Fig. 15는 안동댐을 대상으로 격자별로 모의된 수 문성분 결과를 이용하여 유역의 물순환 건전성을 나타내는 지수인 연 평균 물순환 지수(Hydrologic Cycle
Index) 및 Beven (2006b)에서 제시된 Horton 지수를 격자별로 산정하 여 나타낸 것이다. 참고로 물순환 지수는 습윤량(W)/강우량 (P)로 정의되며, 값이 높을수록 유역에서 증발산 및 침투가 활발히 일어나 건전한 물순환이 일어나고 있음을 의미한다. Horton 지수는 증발산량(V)/습윤량(W)으로 정의되며, 증발 산량과 습윤량의 비가 강수량에 상관없이 일정함에서 기인 하여, Horton 지수가 높을수록 증발산량에 비해 토양 습윤량 이
많다는 것은(즉, 0에 가까울수록) 비교적 습윤한 기후상 태를 가지며, 이와 반대의 경우에는 건조한 기후 상태를 나 타낸다. Fig. 4에 제시된 안동댐 유역의 CN 정보와 함께 비 교해 보면, CN 값이 낮은 지역에서 높은 물순환 지수와 낮 은 Horton 지수를 나타내는 것을 확인
할 수 있다. CN 낮이 낮은 지역의 경우, 상대적으로 강우가 토양으로의 침투가 활 발히 일어나 더 건전한 물순환을 기대할 수 있으며, 비교적 습윤한
기후상태를 유지한다. 이러한 정보를 이용한다면 유 역 관리 측면에서 우선적으로 관리되어야 하는 지역 또는 시 기를 선정하는데 도움이 될 것이다.
Fig. 15. Spatial distribution of yearly average Hydrologic cycle index and Horton index in Andong Dam watershed.
이와 같이 제안된 모형을 통해 모의된 수문성분 결과로 부터 새로운 정보를 생산하고, 공간적인 정보를 시각적으로 제공할 수 있다. 이러한 공간적인 정보는
시각화를 통해 관리가 필요 한 지역을 특정하거나 또는 위험지역을 식별하는 등 현장관리 를 위한 자료로 유용하게 사용할 수 있을 것으로 판단된다.
4. Conclusion
본 연구에서는 매개변수를 최소화한 격자기반 준분포형 수 문분할모형을 소개하였다. 제안된 모형을 이용하여 남강댐, 안동댐, 합천댐, 밀양댐 유역을 대상으로
모형을 구축한 후 모형의 성능을 확인한 결과, 간단한 모형구성과 적은 수의 매개변수들만으로도 유역의 월 단위 유출량을 비교적 우수 하게 모의하고 있음을
확인하였다. 다만, 일 단위의 유출량 의 경우에는 상대적으로 저하된 성능을 나타냈지만, 합리적 인 선에서 최소한의 성능은 확보하고 있음을 확인하였다.
그 러나 공간스케일에서도 유출모의를 합리적으로 구현하고 있 으며, 널리 사용되고 있는 타 모형과의 비교 분석을 통해 유 출 모의에 있어 유출성분을
타당하게 구분하고 있음을 간접 적으로 확인할 수 있었다. 나아가, 제안된 모형의 토양수분 모의결과를 이용하여 토양수분의 직접적인 모의의 중요성과 5일
선행강우량의 개선에 대한 필요성을 논의해 보았으며, 다양한 수문성분을 시공간적으로 모의할 수 있음에 따라 모 형 결과를 통해 수문성분을 시공간적으로
분석하거나 다양 한 정보를 재생산 할 수 있음을 제시하였다.
따라서 적은 수의 매개변수로 구성된 본 모형은 구성의 한 계로 인해 강력한 성능을 나타내지는 못하지만, 앞선 분석을 통해 전체적으로 합리적인 선에서
타당한 결과를 제시하고 있음을 확인하였으며 다양한 수문성분들의 개별적인 모의가 가능함에 따라 추가적인 정보의 생산에도 유용할 것으로 판 단된다. 또한,
고도의 전문성을 필요로 하지 않으며 비교적 획득이 쉬운 GIS 자료만을 이용하기에 실무적인 활용에 있 어서 큰 장점을 가질 것으로 생각된다.
단, 매개변수 최적화 방법을 적용하면 실제 지형특성과 다 른 과도한 매개변수가 추정되는 경우가 있으므로 토양수분 실측값이 있는 유역에 대해 모형의
정확도를 분석할 필요가 있다. 그러나 현재 토양수분 자료를 직접적으로 이용하여 모 형을 보정하거나 검증할 수 있는 시공간적인 관측 자료를 확 보하는데
한계가 있다. 이러한 이유로 비교적 자료가 충분한 유역의 유량정보를 사용하여 모형 보정 및 성능 평가가 수행 되었다. 추후 토양수분 자료의 확보를
통해 제안된 모형에 대한 토양수분의 모의 성능 또한 객관적으로 평가되어야 할 것이다. 최근 인공위성 원격탐사자료로부터 산출된 토양수분 자료를 수문분야에
활용하고자하는 연구가 활발히 진행 중 이기에, 이를 활용하여 모형 보정을 수행하거나 모의 성능을 분석해 보는 추가적인 연구가 필요할 것이다.
본 연구에서는 우선적으로 모형 구성의 타당성의 확인 위 해 4개의 유역을 대상으로 최적화된 매개변수로부터 기본 값을 산정하고, 이를 다시 4개의 유역에
적용하여 모형의 자 체의 성능을 위주로 분석하였다. 따라서 추후에는 매개변수 에 따른 모형결과의 불확실성을 정량화하고, 보다 많은 유역 을 대상으로
매개변수를 최적화하여 보완된 기본 값을 타 유 역에 적용함으로써 미계측 유역에 대한 적용성을 확인할 필 요가 있을 것이다.
Acknowledgement
본 결과물은 환경부의 재원으로 한국환경산업기술원의 환 경정책기반공공기술개발사업의 지원을 받아 연구되었습니다 (2016000200002).
References
Ahiablame L. M., Engel B. A., Chaubey I, 2012, Representation and evaluation of low
impact development practices with L-THIA-LID: An example for site planning, Environment
and Pollution, Vol. 1, No. 2, pp. 1-12

Ajami N. K., Gupta H., Wagener T., Sorooshian S, 2004, Calibration of a semi-distributed
hydrologic model for streamflow estimation along a river system, Journal of Hydrology,
Vol. 298, pp. 112-135

Bárdossy A, 2007, Calibration of hydrological model parameters for ungauged catchments,
Hydrology and Earth System Sciences, Vol. 11, pp. 703-710

Beven K, 2006a, A manifesto for the equifinality thesis, Journal of Hydrology, Vol.
320, pp. 18-36

Beven K, 2006b, Benchmark papers in storm runoff generation, IAHS press
Bhaduri B., Harbor J., Engel B. A., Grove M, 2000, Assessing watershed-scale, long-term
hydrologic impacts of land use change using a GIS-NPS model, Environmental Management,
Vol. 26, No. 6, pp. 643-658

Brocca L., Melone F., Moramarco T, 2008, On the estimation of antecedent wetness conditions
in rainfall-runoff modelling, Hydrological Processes, Vol. 22, pp. 629-642

Brocca L., Melone F., Moramarco T., Singh V P, 2009, Assimilation of observed soil
moisture data in storm rainfall-runoff modelling, Journal of Hydrologic Engineering,
Vol. 14, No. 2, pp. 153-165

Chapra S C, 1997, Surface water-quality modeling, McGraw-Hill
Chow V. T., Maidment D. R., Mays L W, 1988, Applied hydrology, McGraw-Gill
Chung S. W., Gassman P. W., Kramer L. A., Williams J. R., Gu R R, 1999, Validation
of EPIC for two watersheds in southwest Iowa, Journal of Environmental Quality, Vol.
28, No. 3, pp. 971-979

De Michele C., Salvadori G, 2002, On the derived flood frequency distribution: analytical
formulation and the influence of antecedent soil moisture condition, Journal of Hydrology,
Vol. 262, pp. 245-258

Devi G. K., Ganasri B. P., Dwarakish G S, 2015, A review on hydrological models, Aquatic
Procedia, Vol. 4, pp. 1001-1007

Eckhardt K., Arnold J G, 2001, Automatic calibration of a distributed catchment model,
Journal of Hydrology, Vol. 251, pp. 103-109

Green C. H., Tomer M. D., Di Luzio M., Arnold J G, 2006, Hydrologic evaluation of
the soil and water assessment tool for a lager tile-drained watershed in Iowa, Transactions
of the American Society of Agricultural and Biological Engineers, Vol. 49, No. 2,
pp. 413-422

Grove M., Harbor J., Engel B. A., Muthukrinan S, 2001, Impacts of urbanization on
surface hydrology. Little Eagle Creek, Indiana, and Analysis of L-THIA model sensitivity
to data resolution, Physical Geography, Vol. 22, pp. 135-153

Gupta H. V., Kling H., Yilmaz K. K., Martinez Z F, 2009, Decomposition of the mean
squared error and NSE performance criteria: implications for improving hydrological
modeling, Journal of Hydrology, Vol. 377, pp. 80-91

Jeon J. H., Lim K. J., Engel B A, 2014, Regional calibration of SCS-CN L-THIA model:
Application for ungauged basins, Water, Vol. 6, No. 5, pp. 1339-1359

Kim J., Lim K. J., Park Y., Heo S., Park J., Ahn J., Kim K., Choi J, 2007, The effect
of slope-based curve number adjustment on direct runoff estimation by L-THIA, [Korean
Literature], Journal of Korean Society on Water Environment, Vol. 23, No. 6, pp. 897-995

Kim J., Park Y., Jeon J. H., Engel B. A., Ahn J., Park Y. K., Kim K., Choi J., Lim
K J, 2007, Evaluation of L-THIA WWW direct runoff estimation with AMC adjustment,
[Korean Literature], Journal of Korean Society on Water Environment, Vol. 23, No.
4, pp. 474-481

Kim Y., Engel B. A., Lim K. J., Larson V., Duncan B, 2002, Runoff impacts of land-use
change in Indian River Lagoon watershed, Journal of Hydrologic Engineering, Vol. 7,
No. 3, pp. 245-251

Leroy J D, 2004, Modeling lake level variations using L-THIA in the Lake Maxinkuckee
watershed, Master's Thesis, Purdue University
Lim K. J., Engel B. A., Kim Y. S., Choi J., Kim K, 2003, L-THIA/NPS to assess the
impacts of urbanization on estimated runoff and NPS pollution, [Korean Literature],
Journal of the Korean Society of Agricultural Engineers, Vol. 45, No. 4, pp. 78-88

Lim K. J., Engel B. A., Muthukrishnan S., Harbor J, 2006, Effects of initial abstraction
and urbanization on estimated runoff using CN technology, Journal of the American
Water Resources Association, Vol. 42, No. 3, pp. 629-643

Lim K. J., Engel B. A., Tang Z., Choi J., Kim K., Muthukrishnan S., Tripathy D, 2005,
Automated web GIS-based hydrograph analysis tool, WHAT, Journal of the American Water
Resource Association, Vol. 41, No. 6, pp. 1407-1416

Michel C., Andréassian V., Perrin C, 2005, Soil conservation service curve number
method: how to mend a wrong soil moisture accounting procedure?, Water Resource Research,
Vol. 41, pp. 1-6

Moon G. W., Yoo J. Y., Kim T W, 2004, Comparing calculation techniques for effective
rainfalls using NRCS-CN method: Focused on introducing weighted average and slope-based
CN, [Korean Literature], Journal of the Korean Society of Civil Engineers, Vol. 34,
No. 4, pp. 1171-1180

Nash J. E., Sutcliffe J V, 1970, River flow forecasting through conceptual models:
Part 1 - A discussion of principles, Journal of Hydrology, Vol. 10, pp. 282-290

National Institute of Environmental Research (NIER), 2014, A research on control targets
and strategies for impervious surface management, [Korean Literature], R&D Final Report

Norbiato D., Borga M., Degli Esposti S., Gaume E., Anquetin S, 2008, Flash flood warning
based on rainfall thresholds and soil moisture conditions: an assessment for gauged
and ungauged basins, Journal of Hydrology, Vol. 362, pp. 274-290

Patil S. D., Stieglitz M, 2015, Comparing spatial and temporal transferability of
hydrological model parameters, Journal of Hydrology, Vol. 525, pp. 409-417

Ponce V. M., Hawkins H, 1996, Runoff curve number: Has it reached maturity?, Journal
of Hydrologic Engineering, Vol. 1, No. 1, pp. 11-19

Ryu J., Kim E., Han M., Kim Y. S., Kum D., Lim K. J., Park B K, 2014, Enhancement
of estimation method on the land T-P pollutant load in TMDL using L-THIA, [Korean
Literature], Journal of Korean Society Environmental Engineering, Vol. 36, No. 3,
pp. 162-171

Shi W., Huang M., Gongadze K., Wu L, 2017, A modified SCS-CN method incorporating
storm duration and antecedent soil moisture estimation for runoff prediction, Water
Resource Management, Vol. 31, pp. 1713-1727

Shoemaker L., Lahlou M., Bryer M., Kumar D., Kratt K, 1997, Compendium of tools for
watershed assessment and TMDL development, U. S. EPA Office of Water
Singh P. K., Mishra S. K., Berndtsson R., Jain M. K., Pandey R P, 2015, Development
of a modified SMA based MSCS-CN model for runoff estimation, Water Resource Management,
Vol. 29, pp. 4111-4127

Sivapalan M, 2003, Prediction in ungauged basins: a grand challenge for theoretical
hydrology, Hydrological Processes, Vol. 17, pp. 3163-3170

Tang Z., Engel B. A., Lim K. J., Pijanowski B C, 2005, Minimizing the impact of urbanization
on long term runoff, Journal of the American Water Resources Association, Vol. 41,
No. 6, pp. 1347-1359

Tang Z., Engel B. A., Pijanowski B. C., Lim K J, 2005, Forecasting land use change
and its environmental impact at a watershed scale, Journal of Environmental Management,
Vol. 76, No. 1, pp. 35-45

Tramblay Y., Bouvier C., Martin C., Didon-Lescot J. F., Todorovik D., Domergue J M,
2010, Assessment of initial soil moisture condition for event-based rainfall-runoff
modelling, Journal of Hydrology, Vol. 387, pp. 176-187

U. S. Department of Agriculture-Soil Conservation Service (USDA-SCS), 1985, National
engineering handbook, Section 4. Hydrology, U. S. Department of Agriculture Soil Conservation
Service
United States Environmental Protection Agency (U. S. EPA), 2015, Storm water management
model user’s manual Version 5.1, U. S. Environmental Protection Agency
United States Environmental Protection Agency (U. S. EPA), 2016, Storm water management
model reference manual, Volume I. Hydrology, U. S. Environmental Protection Agency
Wagener T., Gupta H V, 2005, Model identification for hydrological forecasting under
uncertainty, Stochastic Environmental Research and Risk Assessment, Vol. 19, pp. 378-387

Winsemius H. C., Schaefili B., Montanari A., Savenije H H G, 2009, On the calibration
of hydrological models in ungauged basins: A framework for integrating hard and soft
hydrological information, Water Resources Research, Vol. 45, pp. W12422

Young A, 2006, Stream flow simulation within UK ungauged catchments using a daily
rainfall-runoff model, Journal of Hydrology, Vol. 320, pp. 155-172

Zhang Z., Wagener T., Reed P., Bhushan R, 2008, Reducing uncertainty in predictions
in ungauged basins by combining hydrologic indices regionalization and multiobjective
optimization, Water Resources Research, Vol. 44, No. 12, pp. W00B04
