The Journal of
the Korean Society on Water Environment

The Journal of
the Korean Society on Water Environment

Bimonthly
  • ISSN : 2289-0971 (Print)
  • ISSN : 2289-098X (Online)
  • KCI Accredited Journal

Editorial Office


  1. 서울대학교 환경대학원 환경계획학과 (Department of Environmental Planning, Graduate School of Environmental Studies, Seoul National University)
  2. 서울대학교 환경계획연구소 (Environmental Planning Institute, Seoul National University)
  3. 경북대학교 자연과학대학 화학과 (Department of Chemistry, Kyungpook National University)
  4. 경북대학교 질량분석융복합연구소 (Mass Spectrometry Based Convergence Research Institute, Kyungpook National University)
  5. 서울대학교 국제농업기술대학원 그린에코시스템전공 (Graduate School of International Agricultural Technology, Major of Green Ecosystem Engineering, Seoul National University)



Biogeochemistry, Carbon, Dissolved organic carbon, Forest stream, Isotopes, KLTER

1. Introduction

산림유역 하천의 성분과 생지화학적 특성에 대한 축적된 자료는 산림생태계 변화를 이해하고, 미래를 예측하며, 과학적인 관리 방법을 찾는데 활용된다. 미국의 경우 허버드브룩(Hubbard Brook) 장기생태연구지 하천수 성분을 1960년대부터 측정하며, 산성비에 의한 산림생태계 쇠퇴 가능성 등 여러 뛰어난 연구성과를 학계에 보고하였을 뿐만 아니라(Likens, 2013), 연구 결과를 바탕으로 법 제정에까지 이어져 산림생태계를 회복시키는데도 활용되었다(Butler et al., 2001). 우리나라에서도 국가장기생태연구지를 선정하고 점봉산 하천수 성분을 2016년부터 측정하기 시작했으나 용존유기탄소와 입자성유기탄소 농도 등 기초적인 성분 조사에 그친 편이다(National Institute of Ecology, 2017; National Institute of Environmental Research, 2013).

우리나라는 국토 면적의 64%가 산림이므로 육상생태계 물질순환을 이해하려면 산림 하천을 통해 빠져나가는 물질과 그 양에 대한 연구가 필수적이다. 산림 시냇물의 성분과 생지화학적 특성은 계절에 따른 강수와 먼지, 육상 식물과 뿌리, 토양에 사는 미생물, 지질학적 특성에 의해 달라진다(Likens, 2013; Schlesinger and Bernhardt, 2020). 강수에 산(acid)이 많이 포함되어 있으면 산림 시냇물의 pH와 알칼리도를 떨어뜨릴 수 있고(Likens, 2013), 여러 식물 종에 의해 생산된 유기화합물이 시냇물로 유입되어 하천수 유기물 성분과 이들이 분해되는 속도에 영향을 미칠 수 있으며(LeRoy et al., 2020; Swan and Sparkman, 2023), 그에 따라 하천생태계 미생물 군집이 변화할 수도 있다(Chen et al., 2024). 또한, 유역의 지질학적 특성에 따라 풍화되는 광물의 양과 성분이 달라지고, 이것이 하천수 pH와 주요 용존 이온 농도에도 반영된다(Shin et al., 2011). 이처럼 유역 내 다양한 생지화학적 반응과 과정이 집약되어 하천수 성분이 결정되므로 하천수 성분과 그 특성을 세밀하게 분석하고 그 결과를 해석하는 것은 우리나라 생태계 물질순환을 제대로 이해하는 첫걸음이다.

산림 시냇물 내 용존유기물(dissolved organic matter, DOM)은 수생태계 내 자생 유기물과 육상생태계로부터 유입된 식물과 토양 유기물이 주요 기원이다. 이 유기물들은 복잡한 생지화학적 순환 과정의 각기 다른 단계에 있기 때문에 단순히 농도 측정만으로는 하천수 성분의 기원과 분해 단계를 이해하기 어렵다(Allan et al., 2021; Likens, 2013; Schlesinger and Bernhardt, 2020; Zark and Dittmar, 2018). 최근 연구들은 전 세계 하천에서 발견되는 유기물 성분을 세분화하여 측정하고, 장기적인 변화를 추적하고 있으며(Flerus et al., 2012; Kellerman et al., 2021; Spencer et al., 2019), 이 과정 중에 다양한 첨단 분석 방법이 활용된다. 예를 들면, (1) 이중탄소동위원소비 분석을 통해 하천 유기물의 탄소 연대와 기원을 추적하고(Lee, Shin, Yoo et al., 2021; Lee, Shin, Jeon et al., 2021), (2) 리그닌 페놀 성분비 분석을 통해 속씨식물과 겉씨식물 기원 하천 유기물을 구분하며(Burns et al. 2024; Hedges and Mann 1979; Hernes, Dyda et al., 2017), (3) 수소 핵자기공명 분광법(1H nuclear magnetic resonance; 1H NMR)과 초고분해능 질량분석법(Fourier transformation ion cyclotron resonance mass spectrometry; FT-ICR MS)을 활용하여 DOM의 작용기와 유기물 성분을 세밀하게 조사한 연구 결과(Riedel et al. 2016; Spencer et al. 2019; Vaughn et al. 2021)가 세계 여러 하천을 대상으로 보고되었다. 그럼에도 불구하고, 우리나라 산림에서 이런 첨단 연구 방법을 써서 도출된 결과는 부족한 편이며(Begum et al., 2022), 특히 하천수에 대해 리그닌 페놀 성분비 분석을 시도한 연구는 없었다. 이 연구의 목적은 위 첨단 연구 방법을 모두 동원하여 점봉산 국가장기생태연구지 산림 계류수 DOM의 생지화학적 특성을 이해하는 것이다.

2. Materials and Methods

2.1 연구 지역

강원도 점봉산 국가장기생태연구 생태플럭스타워(the ecological flux tower)가 설치된 소유역 산림 시냇물을 채수하여 성분을 분석하였다. 생태플럭스타워가 설치된 점봉산 소유역은 강원도 인제군 기린면 진동리와 양양군 서면 오색리 사이에 위치하며(38°2’ N, 128°28’ E), 유역 면적은 2.2 ha이다(Fig. 1). 생태플럭스타워는 해발고도 약 981 m 남서사면 능선부에 냉⋅온대림 낙엽활엽수종이 우점하는 지역에 설치되었다(National Institute of Ecology, 2017). 점봉산 방태천 유역에서는 현재까지 약 457종의 유관속식물이 발견되었으며, 이 중 신갈나무와 당단풍나무가 조사된 전체 식물의 80% 이상을 차지한다(Jeong et al., 2016).

생태플럭스타워 유역을 포함하는, 점봉산 방태천 유역 전체로 보면, 유역 면적의 96%가 쥬라기에 형성된 화강암, 나머지 4%가 선캄브리아기에 형성된 반상편정편마암으로 암석권이 구성되어 있다(National Institute of Ecology, 2023). 방태천 유역의 토양은 A층이 평균 22 cm, B층이 평균 65 cm로, 생태타워유역 또한 이와 비슷한 토심을 가질 것으로 추정된다(산림공간정보 1:25000 산림토양도(2022) 활용). 기상청 오색지점 방재기상관측에 따르면, 관측이 시작된 1997년부터 2023년까지 27년 사이의 점봉산 연평균 기온은 11. 1℃, 평균 연최저기온은 5.5℃, 평균 연최고기온은 17.2℃, 평균 연강수량은 1462.4 mm이다(https://data.kma.go.kr).

Fig. 1. The forest watershed for the V-notch weir at Mt. Jeombong, Gangwon-do, South Korea. The red circle in the lower left panel marks the location of Mt. Jeombong within South Korea. The red line in the upper left panel is the watershed boundary of the Bangtae stream, which includes the study watershed presented in red polygon. The yellow pin in the right panel indicates the stream water sampling point, and the white line outlines the watershed boundary of the V-notch weir.

../../Resources/kswe/KSWE.2025.41.1.54/fig1.png

2.2 시료 채취와 분석

2020년부터 2023년까지 3월부터 11월 사이 한 달에 한 번, 비가 오지 않은 날 점봉산 생태타워 아래 삼각위어에서(Fig. 1.) 시냇물을, 미리 400℃에서 4시간 동안 가열시켜 유기물을 제거한 유리병에 약 1∼4 L 채수했다. 2019년에는 4, 5, 6, 7, 9, 10월에만 채수하였다. 하천수 시료를 연구실로 가져온 후, 마찬가지로 미리 400℃에서 4시간 동안 가열시켜 유기물을 제거한 0.4 µm 유리섬유 필터(GF-5, Macherey-Nagel, Dūren, Germany)로 거른 뒤 4℃ 냉장고에 보관했다가 분석에 사용했다.

산림 시냇물 용존유기탄소(dissolved organic carbon, DOC) 농도([DOC])는 TOC-VCPH 분석기(Shimadzu, Kyoto, Japan)를 이용하여 680도에서 고온촉매산화 방법으로 연소시켜 발생한 CO2량을 측정하여 분석했다(Lee, Shin, Yoo et al., 2021). 유기물의 방향성(aromaticity)을 나타내는 지표인 SUVA254는 Cary 300 UV-Visible 분광광도계(Agilent technologies, Santa Clara, CA, USA)를 사용하여 254 nm 파장에서의 유기물 흡광도 값을 용존유기탄소 농도로 나누어 구했다(Weishaar et al., 2003).

산림 시냇물 DOC의 이중탄소동위원소비(Δ14C-DOC와 δ13C-DOC)를 측정하기 위해, 미리 400도에서 4시간 동안 가열하여 유기물을 제거한 석영 재질의 자외선 반응기에 하천수 100 mL 당 40% 인산(85%, EP grade, Samchun, Gyeonggi-do, South Korea)을 0.125 mL 넣고 pH 2 이하로 낮춘 뒤, 진공라인에 연결시켜 외부 공기의 유입을 차단했다(Lee, Shin, Jeon et al., 2021). 이후 진공라인에 연결된 자외선 반응기에 헬륨을 불어넣어 용존무기탄소를 제거하고, 자외선을 4시간 동안 쪼여주어 유기물을 산화시켰다(Lee, Shin, Yoo et al., 2021; Lee, Shin, Jeon et al., 2021). 이렇게 생성된 이산화탄소를 진공라인에서 액체질소를 이용하여 분리시킨 뒤 유리관(pyrex)에 옮겨 밀봉하고 미국 국립해양과학가속질량분석연구소(national ocean science accelerator mass spectrometry, NOSAMS)로 보내 이중탄소동위원소비(Δ14C와 δ13C)를 각각 가속질량분석기(accelerator mass spectrometry)와 안정동위원소 질량분석기(isotope ratio mass spectrometry)로 측정했다(Lee, Shin, Yoo et al., 2021; Lee, Shin, Jeon et al., 2021).

수소 핵자기공명분광기(1H NMR) 분석, 리그닌 페놀 가스크로마토그래피 질량분석(gas chromatography mass spectrometry, GC MS), 초고분해능질량분석(Fourier transform ion cyclotron resonance mass spectrometry, FT-ICR MS)은, 4 L 하천수를 고체상 추출(solid phase extraction, SPE) 카트리지를 통과시켜 얻은 유기물을 대상으로 수행했다. 염산(37.0% ACS specification, Sigma-Aldrich, Massachusetts, United States)을 이용해 하천수 pH를 2로 조정했고, 하천수 시료를 10 mL min-1 이하의 속도로 500 mg Bond Elut PPL 카트리지(Agilent technologies, Santa Clara, CA, USA)에 통과시켜 PPL 카트리지 안에 유기물을 흡착시켰다. PPL 카트리지 안에 흡착된 유기물을 얻기 전, pH 2로 조정한 초순수를 흘려 염류를 제거한 후, PPL 카트리지 안에 흡착된 유기물을 메탄올(99.9% HPLC grade, Merk KGaA, Darmstadt, Germany) 6 mL로 녹여 최종 2∼10 mg의 유기물을 얻었고, 이를 분석에 사용했다.

SPE로 추출한 농축 DOM 시료를 서울대학교 농생명과학공동기기원에 분석 의뢰하여 Bruker Avance Ⅲ 600 MHz spectrometer (Bruker Biospin, Rheinstetten, Germany)로 1H NMR 스펙트럼을 얻었다. 1H NMR 스펙트럼은 0 ppm에서 나타나는 테트라메틸실란(tetramethylsilane, TMS)을 기준으로 6.0∼9.0 ppm 영역을 방향족 스펙트럼으로, 3.5∼4.4 ppm 영역을 알콕시 스펙트럼으로, 0.4∼3.0 ppm 영역을 알킬기 스펙트럼으로 분류하여 면적을 구한 뒤 상대적인 양을 비교했다(Asakawa et al., 2007).

리그닌 페놀 분석을 위해 공기를 차단한 상태에서 말린 DOM 시료를 산화구리, 8% 수산화나트륨, 포도당, 황산암모늄철과 함께 소형 반응기에 넣고 155도에서 3시간 동안 산화시켰다(Hernes, Spencer et al., 2017). 산화된 시료를 에틸 아세테이트로 추출하고 질소 기체를 흘려 건조시킨 뒤 기체 크로마토그래피 질량분석(6890 GC, Agilent, Santa Clara, CA, USA) 전까지 냉동 보관했다. 기체 크로마토그래피 질량분석 직전, 시료에 비스-트리메틸실릴 트리플루오로메틸 아세트아마이드(bis-trimethylsilyl trifluoromethyl acetamide)를 넣어, 리그닌 페놀에 트리메틸실릴기를 붙인 뒤 분석에 사용하였다. DB5-MS 모세관 컬럼을 사용하였고 Agilent 5973 질량 선택 검출기로 분석했다. 리그닌 페놀 물질을 정량하기 위해 시나믹산(cinnamic acid)를 사용하여 5점 검량선 보정을 수행했다(Hernes and Benner, 2002). 본문에서 C/V로 표기한 것은 리그닌 페놀 성분 중 파라-(p)-쿠마르산과 페룰산(p-coumaric acid, ferulic acid) 질량의 합(C)을 바닐린, 아세토바닐론, 바닐릭 산(vanillin, acetovanillone, vanillic acid) 질량의 합(V)으로 나눈 것이며, S/V로 표기한 것은 시린잘데하이드, 아세토시링곤, 시링산(syringaldehyde, acetosyringone, syringic acid) 질량의 합(S)을 V로 나눈 것이다(Table 1). C/V와 S/V는 식물의 목질부 대비 비목질부, 속씨 식물과 겉씨 식물을 나누는 지표로 사용된다(Table 1; Hernes, Dyda et al., 2017; Hernes et al., 2007; Hernes, Spencer et al., 2017). Ad/Al(v)는 카복실산인 바닐릭 산을 알데하이드인 바닐린으로 나눈 값이며, Ad/Al(s)은 시링산을 시링알데하이드로 나눈 값으로 이들 비율이 높을 수록 하천 DOM 리그닌 페놀 성분이 더 분해되었다는 지표로 사용된다(Table 1; Hernes, Dyda et al., 2017; Hernes et al., 2007; Hernes, Spencer et al., 2017). Λ8으로 표기한 것은 리그닌 페놀 8종인 바닐린(vanillin), 아세토바닐론(acetovanillone), 바닐릭산(vanillic acid), 시링알데하이드(syringaldehyde), 아세토시링곤(acetosyringone), 시링산(syringic acid), 파라-(p)-쿠마르산(p-coumaric acid), 페룰산(ferulic acid) 농도(mg/(mg of organic carbon))의 합이다(Table 1; Hernes, Spencer et al., 2017).

Table 1 Abbreviations of lignin phenol parameters (Burns et al., 2024)

Abbreviations

Definitions

Comparison

C/V

Cinnamyl-to-vanillyl phenol mass ratio

Non-woody vs. woody plant tissues

S/V

Syringyl-to-vanillyl phenol mass ratio

Gymnosperm vs. angiosperm plant types

Ad/Al(v)

Acid-to-aldehyde mass ratio of vanillyl phenols

Index of degradation of vanillyl phenols

Ad/Al(s)

Acid-to-aldehyde mass ratio of syringyl phenols

Index of degradation of syringyl phenols

Λ8

Carbon-normalized sum of eight syringyl, vanillyl, and cinnamyl phenols concentration

Index of terrestrial organic carbon sources in freshwater DOM

FT-ICR MS 분석을 위해 SPE로 추출한 시료를 메탄올(HPLC grade, Baker, J.T., Philipsburg, New Jersey, USA)로 희석해 0.25 mg mL-1로 만들었다. 희석한 시료를 경북대학교 질량분석 기반 융합연구센터에서 음이온 모드 전자분무 이온화(negative electrospray ionization: (-) ESI) 소스를 장착한 7T Fourier transform ion cyclotron resonance mass spectrometry (SolariX 2xR, Bruker Daltonik, Bremen, Germany)를 이용하여 분석했다. 3 µL min-1의 속도로 시료를 주입하고 400번 스캔하여 넓은 m/z 범위(150 < m/z <1200)의 (-) ESI FT-ICR MS 스펙트럼을 얻었다. 개별 피크에 화학식을 할당하기 위해 CcHhNnOoSs (1 < c < 200, 1 < h < 200, 0 < n < 4, 1 < o < 100, 0 < s < 2) 분자 범위를 주었고, 질량 정확도는 0.5 ppm 미만으로 설정했다. 신호 대 잡음 비(signal noise-1)는 4를 사용했고, 최소 풍부도 임계값으로 1%를 적용했다. 도출된 세기(intensity)와 피크(peak) 값은 독일 올덴버그 대학의 해양환경화학 및 생물학 연구소(Institute for Chemistry and Biology of the Marine Environment in Oldenburg, Germany: ICBM)에서 개발한 클라우드 도구를 사용해 분석했다(Merder et al., 2020; Zark and Dittmar, 2018). 얻은 분자식을 분류하는 방법은 두 가지로 나눌 수 있다. 첫번째는 유기탄소화합물의 불포화 정도에 따라 지방족, 방향족 등으로 나누는 방법이고(Table 2; Koch and Dittmar, 2006; Merder et al., 2020; Zherebker et al., 2022), 두번째는 자연계에 존재하는 주요 화합물의 일반적인 원소 비율에 의거해 나누는 방법이다(Table 3; Xu et al., 2023). 이 연구에서는 위 두 가지 방법을 모두 사용하여 유기화합물을 분류하였다.

Table 2 Classification of the forest stream DOM compounds by the unsaturation state of molecules (Koch and Dittmar, 2006; Merder et al., 2020; Zherebker et al., 2022)

Compounds

Modified aromaticity index

H/C

O/C

N/C

S/C

P/C

(S+P)/C

Low O unsaturated

< 0.5

≧ 0.333,

< 1.5

< 0.5

< 0.5

< 0.2

< 0.1

< 0.2

High O unsaturated

< 0.5

≧ 0.333,

< 1.5

≧ 0.5,

≦ 0.9

< 0.5

< 0.2

< 0.1

< 0.2

Aliphatics

< 0.5

≧ 0.5,

≦ 2.0

< 0.9

N = 0

< 0.2

< 0.1

< 0.2

Peptides

< 0.5

≧ 1.5,

≦ 2.0

< 0.9

N < 0,

< 0.5

< 0.2

< 0.1

< 0.2

Fatty acids & Carbohydrates

< 0.5

> 2.0

>0.9

< 0.5

< 0.2

< 0.1

< 0.2

Aromatics

≧ 0.5,

≦ 0.67

≧ 0.333,

≦ 2.25

≦ 1.0

< 0.5

< 0.2

< 0.1

< 0.2

Condensed aromatics

≧ 0.67

≧ 0.333,

≦ 2.25

≦ 1.0

< 0.5

< 0.2

< 0.1

< 0.2

Table 3 Classification of DOM compounds by key natural compounds (Xu et al., 2023)

Compounds

Aromaticity index

H/C

O/C

N/C

Lipid-like

-

≧ 1.5,

≦ 2.0

≧ 0,

≦ 0.3

-

Protein/amino sugar-like

-

≧ 1.5,

≦ 2.2

≧ 0.3,

≦ 0.67

≧ 0.05

Carbohydrate-like

-

≧ 1.5,

≦ 2.0

≧ 0.67,

≦ 1.2

-

Lignin-like

< 0.67

≧ 0.7,

≦ 1.5

≧ 0.1,

≦ 0.67

-

Tannin-like

< 0.67

≧ 0.5,

≦ 1.5

≧ 0.67,

≦ 1.2

-

Condensed aromatic-like

> 0.67

≧ 0.2,

≦ 0.7

≧ 0,

≦ 0.67

-

Unsaturated hydrocarbon-like

-

≧ 0.7,

≦ 1.0

≧ 0,

≦ 0.1

-

2.3 통계분석

점봉산 시냇물의 계절별 특성을 확인하기 위해, 계절을 봄, 여름, 가을, 겨울로 나눴다. 우리나라 기상청은 봄의 시작일을 일평균 기온이 5℃ 이상으로 올라가 9일 동안 계속 유지되는 첫째 날로, 여름 시작일은 일평균 기온이 20℃ 이상으로 올라가 9일 동안 계속 유지되는 첫째 날로, 가을 시작일은 일평균 기온이 20℃ 이하로 내려가 9일 동안 계속 유지되는 첫째 날로, 겨울 시작일은 일평균 기온이 5℃ 이하로 내려가 9일 동안 계속 유지되는 첫째 날로 정의한다(Choi et al., 2006; Kwon et al., 2008; Lee, 1979). 이 기준을 따르면, 2019년부터 2023년까지 봄, 여름, 가을, 겨울의 시작일은 각각 3월, 6월, 9월, 12월에 속했기 때문에, 이 연구에서는 계절을 봄(3, 4, 5월), 여름(6, 7, 8월), 가을(9, 10, 11월), 겨울(12, 1월, 2월)로 나눴다. 계절마다 시료수가 다르고, 분산을 살펴볼 만큼 충분히 시료수가 많지는 않아서 웰치의 분산분석(Welch’s ANOVA)을 사용하여 측정 항목마다 계절에 따른 차이를 분석했다(Brailsford et al., 2019). 게임즈-하웰(Games-Howell) 사후 검정 방법을 사용해서 웰치의 분산분석의 검정능력을 사후 분석했다(Brailsford et al., 2019; Yates et al., 2019). 모든 통계분석은 구글 코랩(google colab)에서 파이썬(python)으로 수행했다.

3. Results and Discussion

3.1 점봉산 시냇물의 용존유기탄소 농도와 광학적 특성(SUVA254)

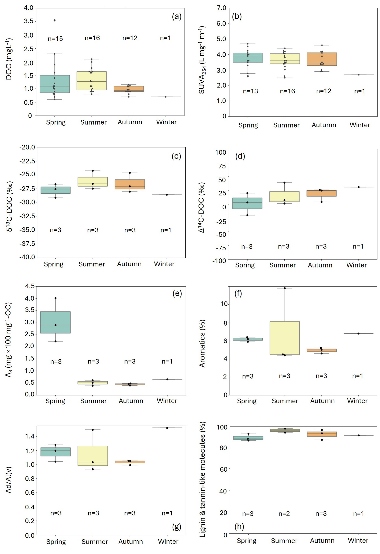
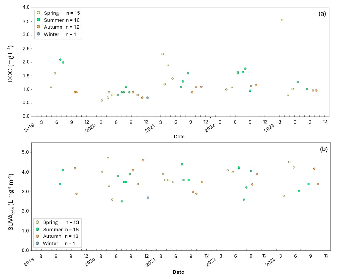
점봉산 삼각위어에서 2019년부터 2023년까지 채수한 시냇물의 계절별 DOC 농도([DOC]) 평균과 표준편차는, 봄(1.3 ± 0.7 mg L-1, n=15), 여름(1.3 ± 0.4 mg L-1, n=16), 가을(1.0 ± 0.1 mg L-1, n=12), 겨울(0.7 mg L-1, n=1)이었다. 통계적으로 여름과 가을 [DOC] 사이에 유의한 차이가 나타났으나, 매우 근소한 차이였다(Fig. 3(a)). 일반적으로 하천 [DOC]는 강우 사상에 의해 좌우된다(Jeong et al., 2012; Raymond et al., 2016; Ryan et al., 2021). 산림하천에서도 여름 강우 때는 유역 내 토양표층을 통해 흘러나오는 유기물량이 많아지기 때문에 [DOC]가 높아진다(Jung et al. 2012; Lee, Shin, Jeon et al., 2021; Lee et al. 2015). 점봉산에서도 여름 강우 시 시냇물 [DOC]가 높아질 것으로 예상되고, 따라서 강우 사상이 있을 때와 없을 때를 골고루 채수한다면 여름철 [DOC]의 범위도 넓어지리라 예상된다. 하지만, 이번 연구에서는 채수 간격을 한 달에 한 번으로 정해, 44회 채수 중 대부분 비가 오지 않는 시기(채수일 강수량 5 mm 이하가 37회)에 시냇물을 채수했다(Fig. 2). 즉, 이 연구에서 보고하는 여름철 시냇물 DOC는 강우 시 DOC 특성 보다는, 기저유량시 유출되는 DOC 특성을 주로 반영한다. 가을에도 태풍이 올 때 강수량이 늘어날 수 있으나, 이 연구의 채수 일시와 강우 사상이 거의 겹치지 않아서(Fig. 2), 여름과 마찬가지로 기저유량 특성이 주로 반영된 낮은 [DOC]가 측정되었다.

봄에도 시냇물 [DOC]는 평균만 보면 다른 계절과 비슷하다. 하지만, 전체 측정 기간 중에 가장 높았던 [DOC]가 3.6 mg L-1로 2023년 3월에 측정되었고, 전체 측정 기간 중에 가장 낮았던 [DOC]는 0.6 mg L-1로 2020년 3월에 측정되었다. 이처럼 봄철 시냇물 [DOC]의 변동성이 다른 계절에 비해 상대적으로 컸던 것은, 유역 내 물 흐름의 영향을 받았기 때문인 것으로 추정된다. 즉, 봄 채수일 전에 강수 사상이 거의 없다 하더라도, 겨울에 유역에 쌓여 얼었던 눈이 봄에 녹아서 하천으로 유입될 때 식생과 토양의 DOC가 함께 유출되어 시냇물 [DOC]를 높일 수 있으므로(Jeong et al., 2012; Meingast et al., 2023), 눈과 얼음이 많이 녹을 때는 [DOC]가 높아지고, 적게 녹을 때는 [DOC]가 낮아진 것으로 사료된다.

점봉산 시냇물 SUVA254의 평균과 표준편차는 봄, 여름, 가을, 겨울 각각 3.8 ± 0.6 L mg-1 m-1 (n=13), 3.6 ± 0.5 L mg-1 m-1 (n=16), 3.6 ± 0.5 L mg-1 m-1 (n=12), 2.7 L mg-1 m-1 (n=1)로 통계적으로 유의한 차이가 없었다(Fig. 3(b)). SUVA254는 UVA254를 [DOC]로 나눈 값이기 때문에, 기저 유량 시 낮은 [DOC]에 의해 SUVA254는 과대추정될 수 있다. 예를 들면, 측정한 [DOC] 범위가 0.9∼1.1 mg L-1일 때, SUVA254 범위는 2.5∼4.4 L mg-1 m-1 (n=20)였고, 반면 [DOC] 범위가 1.8∼2.2 mg L-1일 때, SUVA254는 3.2∼4.1 L mg-1 m-1 (n=5) 사이였다. SUVA254는 DOM 내 방향족 비율과 강한 양의 상관 관계를 보이므로(Weishaar et al., 2003), 점봉산 시냇물에서 측정된 상대적으로 높은 SUVA254로부터 방향족 성분이 포함된 유기물, 즉 리그닌이나 탄닌과 유사한 육상기원 유기물이 포함되어 있음을 유추할 수 있다. 정리하면, 계절에 따라 강수량과 유역 수문 특성이 달라지고, 그에 따라 하천수 내 용존유기탄소 농도와 광학적 특성도 차이날 수 있는데(Lee, Shin, Jeon et al., 2021). 점봉산 시냇물 [DOC]와 SUVA254 결과는, 산림 시냇물이 기저유량에 가까울 때 시냇물 [DOC]와 UV 흡광 특성이 계절에 따라 크게 달라지지 않고 비슷하다는 것을 보여준다.

Fig. 2. Sampling dates and accumulated precipitation (Acc. ppt) in mm over 1 or 2 days preceding sampling between 2019 and 2023. The blue and yellow bars are sampling dates with Acc. ppt over 0–24 hours and 24–48 hours preceding sampling, presented as the length of the bars, respectively. The red triangles are sampling dates with no rain. The gray bars on the upper side are daily precipitation.

../../Resources/kswe/KSWE.2025.41.1.54/fig2.png

Fig. 3. (a) Forest stream DOC concentration and (b) SUVA254 at the V-notch weir of Mt. Jeombong, from 2019 to 2023.

../../Resources/kswe/KSWE.2025.41.1.54/fig3.png

3.2 산림 시냇물 DOC의 이중탄소동위원소비

점봉산 시냇물의 δ13C-DOC 값은 평균 -27.0‰로 C3 식물이 우점하는 하천수 DOC 특징을 보였다(Farquhar et al., 1982; Kirkels et al., 2022; Marwick et al., 2015). 초본으로 대표되는 C4 식물 기원 DOC의 δ13C은 약 -12‰이므로(Sage and Monson, 1999), 만약 점봉산 시냇물 DOC의 주요 기원이 C4 식물이라면 시냇물 δ13C-DOC는 측정된 -27.0‰보다 무거워야 한다. 그러나, 점봉산 삼각위어 유역은 활엽수가 우점하는 산림생태계이며, 이는 시냇물 δ13C-DOC에도 반영되었다. 비슷하게, 북한강 상류(경기도 가평부터 강원도 인제와 양구군 등) 산림유역에서 강우 시 측정된 시냇물 평균 δ13C-DOC도 -25.3∼-28.7‰로 C3식물이 우점하는 산림유역 특성을 나타냈다(Kim et al., 2007; Lee, Shin, Jeon et al., 2021). 산림 시냇물처럼 유속이 빠른 상류에서 조류가 번성한 사례를 찾기는 어렵고(Allan et al., 2021), 이는 점봉산에서도 마찬가지여서 점봉산 시냇물에 조류가 미친 영향은 거의 없을 것으로 예상된다.

점봉산 시냇물 Δ14C-DOC 값은 평균 13.7‰로 이는 시냇물 DOC의 주요 기원이 최근 광합성된 유기탄소임을 보여준다. 한강의 상류, 중류, 하류에 걸쳐 하천 Δ14C-DOC가 공간적으로 어떻게 달라지는지 조사한 연구에서, 상류에서 하류보다 높은 Δ14C-DOC가 측정되었다(Fig. 4, Jin et al., 2018), 이는 유역 내 산림 비율이 거의 100%인 상류에서 식생에 의해 최근 광합성된 유기물이 하천으로 유출되며, 하류로 내려올수록 다른 유출원에 의해 하천 Δ14C-DOC가 가벼워질 수 있음을 시사한다.

예를 들면, 우리나라 5대강(한강, 금강, 섬진강, 낙동강, 영산강) 평균 Δ14C-DOC는 -60.3‰로(탄소연대로는 439 years before present에 해당) 점봉산 시냇물 평균 Δ14C-DOC 보다 가벼웠다(Fig. 4, Lee, Shin, Yoo et al., 2021; Oh and Cha, 2023).

전 세계적으로 하천수 Δ14C-DOC를 -100‰ 이하로 낮추는, 즉 탄소연대를 약 1,000년 이상으로 높이는 유기물은 극지방의 영구동토층(Marwick et al., 2015), 융기된 산맥에 포함된 해양유기물 퇴적층(Rhyner et al., 2023), 인도네시아의 이탄지대(Moore et al., 2013), 습지가 포함된 농경지(Sickman et al., 2010), 하수/폐수처리장 방류수 등에서 유래한 것으로 보고되었다(Lee, Shin, Yoo et al., 2021; Lee, Lee et al., 2023). 이들처럼 극적으로 Δ14C-DOC를 가볍게 하는 것은 아니지만, 산림 토양으로부터 유출된 DOC도 하천수 Δ14C-DOC를 가볍게 할 수 있다. 예를 들면, 전남 백운산 유역과 강원 대암산 유역에서 기저유량일 때 채취한 시냇물의 Δ14C-DOC는 각각 -68.1∼-18.3‰과 -29.6‰ 로 모두 상대적으로 오래된(음의) 값이었다(Jin et al., 2018; Lee, Shin et al., 2023). 점봉산 시냇물에서 측정한 총 10번의 Δ14C-DOC 중, 5월에 한번 –19.8‰로 상대적으로 오래된(음의) Δ14C-DOC가 측정되긴 했으나, 나머지 모든 기간에 대해서는 1.1‰∼38.9‰인 상대적으로 근래에 만들어진(양의) Δ14C-DOC 값이 측정되었다(Fig. 4). 이로부터 점봉산 산림 유역에서는, 기저유량 특성이 두드러질 때도 상대적으로 최근 광합성된 유기물이 시냇물을 통해 유역으로부터 빠져나가고 있음을 유추할 수 있다. 점봉산 생태타워유역은 유역면적이 0.022 km2에 불과한 하천 최상류에 위치한 곳으로, 유역에 떨어진 강수가 대부분 토양에 오래 머물지 않고 하천으로 빠져나가는 것으로 추정된다.

Fig. 4. Dual carbon isotope ratios of the forest stream at the V-notch weir of Mt. Jeombong and other rivers. The black circles are for the forest stream at the V-notch weir of Mt. Jeombong, the triangles are for the upper, middle, and lower reaches of the Han River, the squares are for the Geum River, Nakdong River, Youngsan River, and Sumjin River, and the gray stars are for the world rivers. †: Jin et al. (2018) ††: Lee, Shin, Yoo et al. (2021) †††: Marwick et al. (2015)

../../Resources/kswe/KSWE.2025.41.1.54/fig4.png

3.3 산림 시냇물 DOM의 리그닌 페놀 분석

하천 리그닌 페놀 C/V와 S/V를 측정하면, 그 유기물이 겉씨 식물이나 속씨 식물의 목질부 혹은 비목질부(예: 잎)로부터 유래했는지를 알 수 있다(Fig. 5, Hedges and Mann, 1979). 2020년 6월부터 2021년 7월까지 총 10번(봄 3회, 여름 3회, 가을 3회, 겨울 1회) 측정한, 점봉산 시냇물의 평균 C/V는 0.29(범위: 0.17∼0.51, n=10), S/V는 1.18(범위: 0.97∼1.39, n=10)이었다(Fig. 5). 우리나라 하천을 대상으로 한 리그닌 페놀 성분비 측정 자료는 지금까지 없었기 때문에, 우리나라와 비슷한 기후대에 속한 일본 하천(Lu et al., 2016)과 점봉산 시냇물의 리그닌 페놀 성분비를 비교했다. 이 일본 하천 유역은 침엽림이 약 30%, 활엽림이 약 52% 분포하는 곳으로(ESRI사가 배포한 식생 지도를 활용해 추정한 수치임), 이 유역 하천의 평균 S/V는 0.73(범위: 0.61∼0.87, n=15)으로 점봉산(활엽림 98%) 시냇물 평균 S/V, 1.18보다 낮았다(Fig. 5, Lu et al., 2016). 이 결과는, 활엽림이 대부분인 점봉산과 달리 유역 내 침엽수 비율이 높아지면, 겉씨 식물에 속하는 침엽수에 의해 하천수 S/V 값이 작아질 수 있다는 것을 보여준다(Fig. 5, Hedges and Mann, 1979; Lu et al., 2016).

지중해성 기후이긴 하지만 온대에 속하는 미국 캘리포니아 하천 리그닌 페놀 성분도 점봉산 시냇물과 비교했다. 속씨식물이 우점하는 산림유역 9개(활엽림:∼45%, 다년생 초본:∼45%)와 농지유역 10개(초본 농작물:∼70%) 하천에서 구한 리그닌 페놀 값은 S/V 평균이 0.99(범위: 0.49∼2.20, n=48)로 속씨식물 기원 리그닌 페놀이 대부분이었다(Fig. 5, Eckard et al., 2020; Hernes, Spencer et al., 2017). 목질부에는 파라-(p)-쿠마르산과 페룰산이 결핍되어 있으므로, C/V 비율로는 나뭇잎과 초본 기원 리그닌 페놀을 나뭇가지나 뿌리 같은 목질부 기원 리그닌 페놀과 구분할 수 있다(Hedges and Mann, 1979). 점봉산 시냇물의 C/V (0.17∼0.51, n= 9)나 일본 하천의 C/V (0.17∼0.50, n=15) 비율은 상대적으로 좁은 범위에 분포한 반면, 캘리포니아 하천 C/V는 0.00∼1.00 (n=48)으로 넓은 범위에 분포했다(Fig. 5, Eckard et al., 2020; Hernes, Spencer et al., 2017). 점봉산이나 일본 연구지와는 달리, 캘리포니아 연구지들은 상대적으로 건조하고 따뜻한 지역부터 겨울에 눈이 많이 쌓이는 산지를 포함하는 넓은 지역에 흩어진 유역들로, 산림, 농지, 초지 등 다양한 토지피복으로 구성되어 있다. 점봉산이나 일본하천에 비해, 캘리포니아 하천 S/V, C/V 값은 넓게 분포했고, 이는 유역 내 토지 피복의 다양성이 반영된 결과로 사료된다(Fig. 5).

리그닌 페놀의 Ad/Al(v)와 Ad/Al(s) 비율은 카르복실산을 알데하이드로 나눈 값으로, 이 값이 높을수록 미생물이나 빛에 의해 분해가 더 많이 진행된 리그닌으로 유추할 수 있다(Hedges et al., 1988; Hernes and Benner, 2003; Hernes, Dyda et al., 2017; Opsahl and Benner, 1995, 1998). 대기 중 산소와의 접촉을 제한한 염기성 조건에서, 산화구리를 사용하여 유기물을 산화시키면 리그닌 Ad/Al 값이 과도하게 올라가는 것을 막는다(Hedges et al., 1988; Yang et al., 2022). Ad/Al 중, 바닐릭산과 바닐린의 비율인 Ad/Al(v)는 이끼나 조류 등을 제외한, 리그닌을 만드는 거의 모든 식물에서 측정 가능하지만, 시링산과 시링알데하이드 비율인 Ad/Al(s)는 겉씨식물에는 거의 존재하지 않는다(Hedges and Mann, 1979). 속씨식물이 우점하는 점봉산 유역의 시냇물 Ad/Al(v)는 SUVA254와는 음의 상관관계를, 1H NMR 스펙트럼의 방향족 작용기와는 양의 상관관계를 보였다(Fig. 6). 토양과 하천에서 리그닌이 분해될수록 Ad/Al(v)가 증가하며(Hernes, Dyda et al., 2017; Hernes, Spencer et al., 2017; Lu et al., 2016), 특히 미생물에 의한 토양수 DOM 분해 실험 결과 리그닌 성분이 분해될수록 DOM 내 방향족 화합물의 비율도 증가할 수 있음이 1H NMR 분석을 통해 보고되었다(Kalbitz et al., 2003). 이는 리그닌 같은 고분자 유기화합물이 분해될 때, 즉, 벤젠고리 사이의 탄소-탄소 결합이 끊어지며 탄소-수소 결합으로 바뀔 때 1H NMR 스펙트럼 내 방향족 수소의 비율이 늘어날 수 있기 때문인 것으로 사료된다.

Fig. 5. Lignin phenols in the forest stream DOM at the V-notch weir of Mt. Jeombong, and world rivers. The C/V is the ratio of the sum of two cinnamic phenols to the sum of three vanillin phenols, and S/V is the ratio of the sum of three syringyl phenols to the sum of three vanillin phenols. The area with the letter ‘A’ in the yellow solid line matches with angiosperm woods; the area with the letter ‘a’ in the dashed yellow line corresponds with angiosperm non-woody tissues; the area with letter ‘G’ in the solid green line shows gymnosperm woods; the area with letter ‘g’ in the dashed green line matches gymnosperm non-woody tissues (Hedges and Mann, 1979).

../../Resources/kswe/KSWE.2025.41.1.54/fig5.png

Fig. 6. Relationships between Ad/Al(v) and (a) SUVA254, (b) the aromatic proportion of 1H NMR (6.0 – 9.0 ppm), and (c) the alkyl proportion of 1H NMR (0.0 – 3.5 ppm) in stream samples collected at the V-notch weir of Mt. Jeombong.

../../Resources/kswe/KSWE.2025.41.1.54/fig6.png

3.4 산림 시냇물 DOM의 초고분해능 질량분석

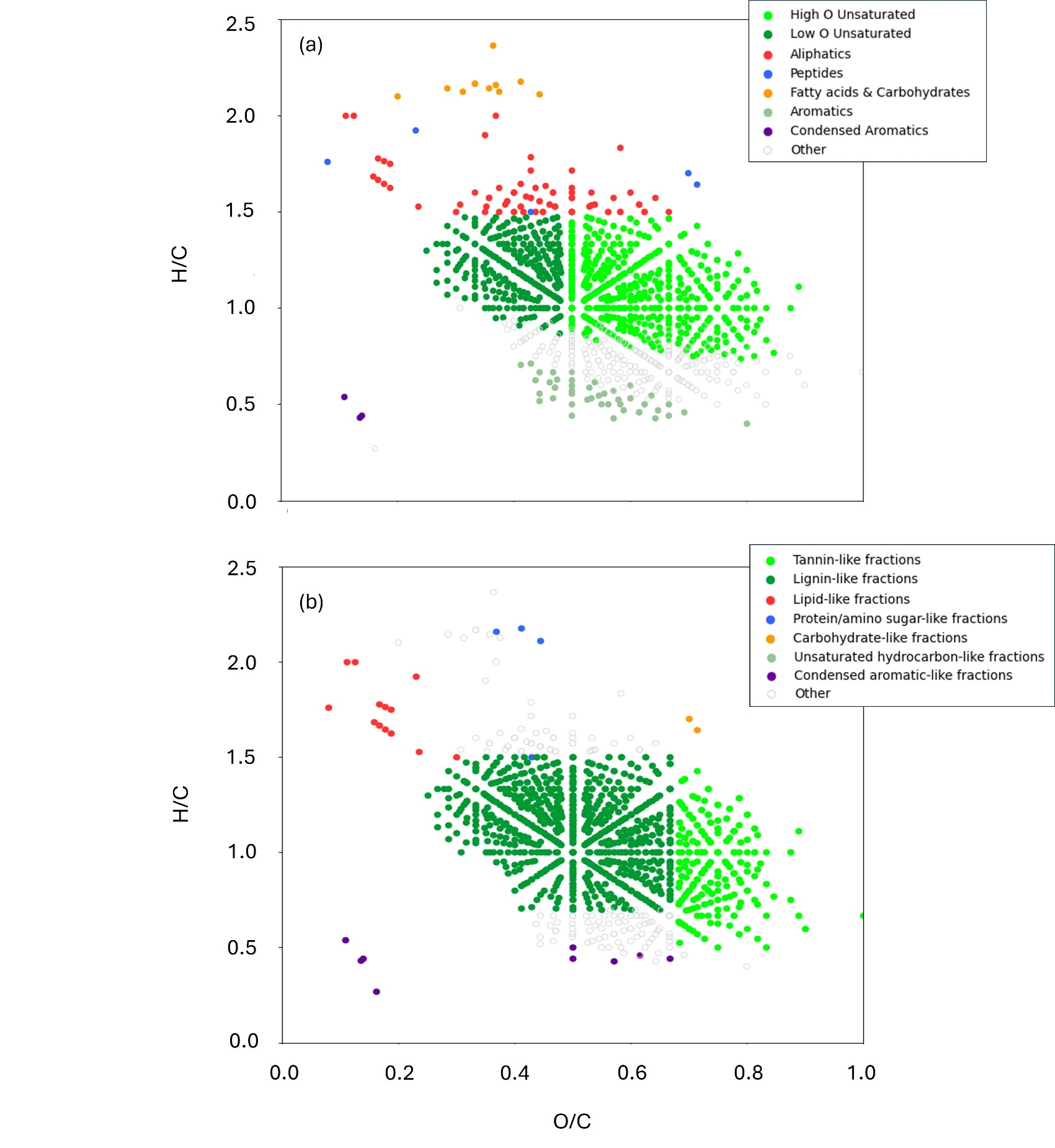
초고분해능 질량분석법을 사용하면 시냇물의 DOM을 분자 단위로 분석할 수 있다(Kim et al., 2003). 산림 시냇물 DOM은 주로 나무에서 유래한 리그닌과 탄닌 유사 물질로 구성되며, 이외에도 고방향성 탄소화합물(condensed aromatic carbon)과 단백질 등을 포함한다(Begum et al., 2022; Estévez et al., 2021; Mosher et al., 2015). 2020년 6월부터 2021년 7월까지 채수한 점봉산 시냇물 DOM을 대상으로 초고분해능 질량분석법을 적용시킨 결과, 총 1,308개 화학식을 갖는 유기물이 분석되었다. 이 유기물을 탄소-탄소 결합의 불포화 정도에 따라 분류한 결과(Table 2, 4), 불포화 화합물이 961개(73.5%), 지방족 화합물이 79개(6%), 방향족 화합물은 44개(3.4%), 그리고 탄수화물(0.9%), 단백질(0.4%), 고방향성 화합물(0.2%)로 구분되었다. 자연계에 존재하는 주요 화합물의 일반적인 원소 비율에 의거해 나눈 결과(Table 3, 5), 리그닌 유사물질(70%)과 탄닌 유사물질(17.4%)이 대다수를 차지한 반면, 단백질과 탄수화물은 각각 1% 미만으로 매우 낮았고, 계절에 따른 차이도 거의 없었다. 첫번째 방법에 따라 분류된 불포화 유기화합물과 두번째 방법에 따라 분류된 리그닌, 탄닌 유사물질은 반크레벨렌(Van Krevelen) 도표에서 비슷한 O/C와 H/C 비율 범위에 도시되었고(Fig. 7), 질량 대 전하비(m/z)가 200∼700 범위에 주로 분포했다.

초고분해능 질량분석법을 우리나라 하천을 대상으로 적용한 예로 금호강과 한강연구가 있다(Chen et al., 2016; Lee et al., 2019). 숲이 유역 면적의 64%인 금호강에서 강수기 동안 DOM의 42∼71%가 리그닌 유사물질로 구분되었고(Lee et al., 2019), 의암호로 유입되는 한강 DOM에서도 리그닌 유사물질이 대부분인(77∼100%; O/C: 0.3∼0.8; H/C: 0.5∼1.5) 결과가 보고되었다(Chen et al., 2016). 미국 북동부 산림하천과 코스타리카 하천 DOM에 대한 초고분해능 질량분석 결과에서도 DOM의 69.5%가 리그닌과 탄닌 유사물질로 분류되었다(Mosher et al., 2015).

하천 DOM 기원 물질은 다양하다. 육상생태계 기원 리그닌이나 탄닌 외에도 토양이나 하천에 자생하는 미생물의 단백질, 식물의 왁스나 미생물의 지질 성분도 하천 DOM 성분이 될 수 있다(Chen et al., 2016; Hertkorn et al., 2016; Lee et al., 2019). 하지만, 점봉산 시냇물 DOM을 대상으로 초고분해능 질량분석을 적용시킨 결과 단백질은 1% 미만이었고, 지질은 11월, 12월, 3월, 4월에 1.0∼2.8%였으며 나머지 달에는 약 0.5%였다(Table 5). 분류된 물질 중 N은 적어도 1개 이상, S는 0 또는 1개 있는 물질은 모두 77개였으며, 이 중 64개(83%)가 리그닌 유사 물질이었고 단백질이나 탄수화물은 1% 미만이었다. 이 연구에서처럼 기저유량에 가까울 경우, 지표수보다는 토양수나 지하수 DOM이 하천 DOM의 주요 기원일 수 있고, 지하수에는 상대적으로 지질, 단백질 등 다른 성분의 비율이 높아질 수 있으나(Sheng et al.. 2023), 그런 경우라 하더라도 점봉산 시냇물에서는 리그닌과 탄닌 유사물질 같은 식생 기원 유기물이 하천 DOM의 대부분을 차지하는 것을 확인하였다(Fig. 7).

Fig. 7. Van Krevelen diagrams of stream DOM collected at the V-notch weir of Mt. Jeombong, categorized by (a) unsaturated status of organic compounds (Table 2) and (b) major natural compounds (Table 3). This diagram is a combined result of the analyzed samples (n=9) collected over June 2020 - July 2021.

../../Resources/kswe/KSWE.2025.41.1.54/fig7.png

Table 4 The number of classified forest stream DOM compounds by the unsaturation state of molecules (see Table 2)

Total

Spring

Summer

Autumn

Winter

Compounds

1308 (100%)

619 (100%)

609 (100%)

678 (100%)

214 (100%)

Low O unsaturated

335 (26%)

141 (21%)

174 (31%)

201 (28%)

38 (18%)

High O unsaturated

626 (48%)

311 (53%)

346 (58%)

352 (49%)

121 (57%)

Aliphatics

79 (6%)

28 (3%)

6 (1%)

17 (3%)

3 (1%)

Peptides

5 (0%)

2 (0%)

0 (0%)

1 (0%)

1 (0%)

Fatty acids & Carbohydrates

12 (1%)

4 (0%)

2 (1%)

1 (1%)

3 (1%)

Aromatics

44 (3%)

22 (3%)

7 (1%)

15 (3%)

9 (4%)

Condensed aromatics

3 (0%)

0 (0%)

2 (0%)

0 (0%)

0 (0%)

Other

204 (16%)

111 (18%)

73 (9%)

90 (15%)

39 (18%)

Table 5 The number of classified forest stream DOM compounds by key natural compounds (see Table 3)

Total

Spring

Summer

Autumn

Winter

Compounds

1308 (100%)

619 (100%)

609 (100%)

678 (100%)

214 (100%)

Lipid-like

13 (1%)

6 (1%)

3 (0%)

5 (1%)

3 (1%)

Protein/amino sugar-like

4 (0%)

1 (0%)

0 (0%)

1 (1%)

2 (1%)

Carbohydrate-like

3 (0%)

1 (0%)

0 (0%)

0 (0%)

1 (0%)

Lignin-like

916 (70%)

446 (75%)

481 (83%)

542 (78%)

164 (77%)

Tannin-like

228 (17%)

97 (14%)

94 (12%)

94 (13%)

30 (14%)

Condensed aromatic-like

9 (1%)

2 (0%)

3 (0%)

2 (0%)

2 (1%)

Unsaturated hydrocarbon-like

0 (0%)

0 (0%)

0 (0%)

0 (0%)

0 (0%)

Other

135 (10%)

66 (10%)

29 (4%)

35 (6%)

12 (6%)

3.5 점봉산 시냇물 용존유기물의 계절적 변화와 함의

이 연구에서처럼 기저유량에 가까울 때, 점봉산 시냇물의 [DOC]는 약 1 mg L-1로 상대적으로 낮았고, 계절에 따른 유의한 차이도 없었으며(Fig. 8(a)), SUVA254, Δ14C-DOC와 δ13C-DOC도 마찬가지로 계절별로 유의한 차이가 없었다(Fig. 8(b), (c), (d)). 다만, [DOC] 범위는 봄에 가장 넓었다. 반면, 단위 유기탄소 당 리그닌 페놀 질량의 합인 Λ8은 봄에 유의하게 높았다(봄: 3.04±0.91 (n=3); 여름∼겨울: 0.50±0.10 mg* 100 mg-1-OC (n=7)). 그 외 다른 분석, 즉, Ad/Al(v), 1H NMR 스펙트럼이나 초고분해능 질량분석에서도 봄과 가을 시료에서 차이를 보인 경우가 있었으나, 모든 계절에 걸친 뚜렷한 차이를 확인하기는 어려웠다(Fig. 8). 이는 분석된 시료수가 적기도 하지만, 강수 시 채취된 시료가 거의 없는 기저 유량에 가까운 시료를 대상으로 한 분석이기 때문이기도 하다. 추후 여름철 장마와 태풍, 겨울철 강설을 포함하는, 다양한 강수 사상에 대해서도 시냇물을 채수하여 같은 분석 방법을 적용시키면, 보다 폭넓은 분석 결과를 얻을 수 있으리라 예상한다. 그럼에도 불구하고, 이 연구는 두 가지 함의를 제공한다.

첫째, 온도보다는 강수 사상이 하천 DOM 성분을 결정하는 중요한 요소이다. 물론, 온도는 식생의 광합성에 직접 영향을 미치는 요소이고, 육상생태계의 광합성 산물이 하천으로 유입되어 하천 DOM을 구성하므로 온도가 하천 DOM 성분에 미치는 영향을 단순하게 말하기는 어렵다. 그러나, 점봉산 장기생태연구지에서, 계절별로 온도는 크게 차이나는 반면, 기저 유량에 가까울 때 계절에 따른 시냇물 DOM 성분 차이가 뚜렷하지는 않았다. 다만, 봄철 시냇물 DOM에서 측정 기간 중 최대 농도와 최소 농도가 나타났고, 다른 성분 분석 결과도 대체로 봄철 시료의 측정 결과가 상대적으로 튀는 편이다. 그 이유로 겨울에 쌓였던 눈과 얼음이 녹는 시기에 따라 유역 내 물 흐름이 달라질 수 있기 때문인 점을 고려하면, 온도보다는 강수사상의 형태와 양. 유역 수문(hydrology)이 시냇물 DOM 농도와 성분을 결정하는 가장 중요한 요소인 것으로 사료된다.

둘째, 이중탄소동위원소분석, 1H NMR 분석, 리그닌 페놀 분석, 초고분해능 질량분석 결과를 종합하면, 기저유량에 가까울 때에도 점봉산 장기생태연구지 하천수 DOM의 대부분은 최근 광합성된 속씨식물의 리그닌이나 탄닌 같은 고분자 화합물로부터 기원한 유기물이 주요 성분임을 알 수 있다. 산림 유역 내 교목, 관목, 초본류 등 여러 식생을 구성하는 성분은 셀룰로오스, 헤미셀룰로오스, 리그닌, 탄닌, 지질, 단백질 등 다양하고(Sjostrom, 2013), 이들로부터 유래된 분해 산물과 미생물 바이오매스 등 이차생산물은 토양 표면부터 깊은 곳에 이르기까지 다양하게 분포하며, 깊은 토양에 상대적으로 오래된 유기물이 존재한다(Lee, Shin et al., 2023). 강우 시에는 상대적으로 토양층 상부에서 기원한 유기물이,

기저 유량에 가까울수록 토양 깊은 곳이나 지하수에서 기원한 유기물이 하천수 DOM의 주요 성분임이 알려져 있으나(Allan et al., 2021; Raymond et al., 2016), 점봉산 하천 DOM의 대부분은 기저 유량에 가까울 때라도 최근 광합성된 유기물이 주요 성분임을 보여준다 (Fig. 8(d)). 이 연구에 사용된 SPE 추출 방법의 수율이 최대 약 50% 정도여서, SPE 추출 시료를 이용한 1H NMR 분석, 리그닌 페놀 분석, 초고분해능 질량분석 결과는, 전체 하천 DOM을 대표하지 않기는 하지만, 분자량 200∼700 g/mol 정도의 분해된 리그닌과 탄닌 유사 물질이 시냇물 DOM의 주요 성분임을 유추할 수 있다.

Fig. 8. Concentrations and compositions of the forest stream DOM at the V-notch weir of Mt. Jeombong, depending on seasons. (a) [DOC], (b) SUVA254, (c) δ13C-DOC, (d) Δ14C-DOC, (e) normalized lignin phenols (Λ8), (f) proportion of aromatic functional groups in DOM as identified by 1H NMR analysis, (g) acid-to-aldehyde ratio of vanillyl phenols and (h) proportions of lignin- and tannin-like compounds estimated by FT-ICR MS.

../../Resources/kswe/KSWE.2025.41.1.54/fig8.png

4. Conclusion

이 연구에서는 2019년부터 2023년까지 겨울철을 제외한 거의 매달 점봉산 국가장기생태연구지 시냇물을 기저 유량에 가까울 때 채수하고, 다양한 첨단 분석 방법을 적용시켜 분석하였다. 점봉산 시냇물의 계절별 평균 [DOC]는 1.0∼1.3 mg L-1로 대체로 낮은 편이었고 큰 차이를 보이지 않았으나, 봄철에 최저값(0.6 mg L-1)과 최대값(3.6 mg L-1)을 보이며 [DOC] 범위가 가장 넓었다. 이는 겨울과 이른 봄에 내렸던 눈이 쌓여 얼어 있던 상태가 봄에 녹으며 유역 내 물 흐름을 바꿨기 때문인 것으로 유추할 수 있다. 하천수 DOM 내 리그닌 페놀 성분도 봄에 가장 높았고, 이를 안정탄소동위원소비, 방사성탄소동위원소비, 1H NMR 분석, 초고분해능 질량분석 결과와 연계하면, 점봉산 장기생태연구지 속씨식물에 의해 최근 광합성된 유기 물질 중 리그닌, 탄닌 같은 불포화 유기화합물이 분해되어 시냇물로 흘러 들어 DOM의 주요 성분이 되고, 이 성분들은 기저 유량에 가까울 때는 계절이 달라지더라도 크게 변화하지 않는 것으로 사료된다. 이로부터 강수량과 강수 형태(즉, 강설, 강우)에 따라 달라지는 유역 내 물의 흐름이 하천수 DOM 성분을 결정하는 가장 중요한 요인인 것을 유추할 수 있다. 그러나, 이 연구에서 다양한 첨단 분석이 적용된, 계절별 시료 수는 상대적으로 적은 편이다. 앞으로, 유량과 연계하여 겨울철 강설을 포함한, 다양한 강수 사상에 따른 하천수 DOM 성분에 대한 후속 첨단 연구 결과가 축적되면, 우리나라 산림생태계 탄소순환을 보다 종합적으로 이해할 수 있으리라 기대한다.

Acknowledgement

이 논문은 2020년도 서울대학교 융복합 연구과제 지원사업(No. 940-20200004)과 2021년도와 2024년도 정부(과학기술정보통신부)의 재원으로 한국연구재단의 지원을 받아 수행된 연구(2021R1A2C1006783; RS-2024-00350727)이며, 환경부의 재원으로 국립생태원의 지원을 받아 수행하였습니다(NIE-B-2024-02). 또한, 2020년, 2021년도 서울대학교 통일평화연구원의 재원으로 통일기반구축사업의 지원을 받아 수행된 결과물입니다. 리그닌 페놀 분석을 도와주신 미국 캘리포니아 대학교(University of California at Davis) Peter J. Hernes 교수, 시료채취와 유량측정, 장비운반 등 현장 작업을 도와주신 서울대학교 최용주 교수, 배영, 고현신, 이기환 연구원과 하천수 기초성분 분석을 도운 서울대학교 한예나 연구원께 감사드립니다.

References

1 
Allan, J. D., Castillo, M. M., and Capps, K. A. (2021). Stream Ecology: Structure and Function of Running Waters (3rd ed.), Springer Nature. https://doi.org/10.1007/978-3-030-61286-3DOI
2 
Asakawa, D., Mochizuki, H., Yanagi, Y., and Fujitake, N. (2007). Characterization of hydrophobic acid fractions in water-soluble organic matter in Dystric Cambisol and in a stream in a small forested watershed: Seasonal and vertical variations in chemical properties, Soil Science and Plant Nutrition, 53(5), 551-561. https://doi.org/10.1111/j.1747-0765.2007.00183.xDOI
3 
Begum, M. S., Lee, M. H., Park, T. J., Lee, S. Y., Shin, K. H., Shin, H. S., Chen, M., and Hur, J. (2022). Source tracking of dissolved organic nitrogen at the molecular level during storm events in an agricultural watershed, Science of The Total Environment, 810, 152183. https://doi.org/10.1016/j.scitotenv.2021.152183DOI
4 
Brailsford, F. L., Glanville, H. C., Golyshin, P. N., Marshall, M. R., Lloyd, C. E., Johnes, P. J., and Jones, D. L. (2019). Nutrient enrichment induces a shift in dissolved organic carbon (DOC) metabolism in oligotrophic freshwater sediments, Science of The Total Environment, 690, 1131-1139. https://doi.org/10.1016/j.scitotenv.2019.07.054DOI
5 
Burns, A. J., Spencer, R. G. M., Kellerman, A. M., Yan, G., Leonard, L., Kaiser, K., Mannino, A., Tzortziou, M., and Hernes, P. J. (2024). The distinct composition and transformation of terrestrial organic carbon in the Yukon river delta and plume during the mighty spring freshet, Journal of Geophysical Research: Biogeosciences, 129(6), e2023JG007812. https://doi.org/10.1029/2023JG007812DOI
6 
Butler, T. J., Likens, G. E., and Stunder, B. J. B. (2001). Regional-scale impacts of Phase I of the clean air act amendments in the USA: The relation between emissions and concentrations, both wet and dry, Atmospheric Environment, 35(6), 1015–1028. https://doi.org/10.1016/S1352-2310(00)00386-1DOI
7 
Chen, H., Cheng, M., Wen, Y., and Xiang, Y. (2024). Leaf carbon chemistry effectively manipulated soil microbial profiles and induced metabolic adjustments under different revegetation types in the loess Plateau, China, Journal of Environmental Management, 359, 120880. https://doi.org/10.1016/j.jenvman.2024.120880DOI
8 
Chen, M., Kim, S., Park, J. E., Kim, H. S., and Hur, J. (2016). Effects of dissolved organic matter (DOM) sources and nature of solid extraction sorbent on recoverable DOM composition: Implication into potential lability of different compound groups, Analytical and Bioanalytical Chemistry, 408(17), 4809-4819. https://doi.org/10.1007/s00216-016-9569-xDOI
9 
Choi, G., Kwon, W. T., and Robinson, D. A. (2006). Seasonal onset and duration in South Korea, Journal of the Korean Geographical Society, 41(4), 435-456. [Korean Literature]URL
10 
Eckard, R. S., Bergamaschi, B. A., Pellerin, B., Spencer, R. G., Dyda, R., and Hernes, P. J. (2020). Organic matter integration, overprinting, and the relative fraction of optically active organic carbon in a human-impacted watershed, Frontiers in Earth Science, 8, 67. https://doi.org/10.3389/feart.2020.00067DOI
11 
Estévez, E., Álvarez-Martínez, J. M., Dittmar, T., Barquín, J., and Singer, G. (2021). When forests take over after land abandonment: Dissolved organic matter response in headwater mountain streams, Frontiers in Water, 3. https://doi.org/10.3389/frwa.2021.682608DOI
12 
Farquhar, G. D., O’Leary, M. H., and Berry, J. A. (1982). On the relationship between carbon isotope discrimination and the intercellular carbon dioxide concentration in leaves, Functional Plant Biology, 9(2), 121-137. https://doi.org/10.1071/PP9820121DOI
13 
Flerus, R., Lechtenfeld, O. J., Koch, B. P., McCallister, S. L., Schmitt-Kopplin, P., Benner, R., Kaiser, K., and Kattner, G. (2012). A molecular perspective on the ageing of marine dissolved organic matter, Biogeosciences, 9(6), 1935-1955. https://doi.org/10.5194/bg-9-1935-2012DOI
14 
Hedges, J. I. and Mann, D. C. (1979). The characterization of plant tissues by their lignin oxidation products, Geochimica et Cosmochimica Acta, 43(11), 1803-1807. https://doi.org/10.1016/0016-7037(79)90028-0DOI
15 
Hedges, J. I., Blanchette, R. A., Weliky, K., and Devol, A. H. (1988). Effects of fungal degradation on the CuO oxidation products of lignin: A controlled laboratory study, Geochimica et Cosmochimica Acta, 52(11), 2717–2726. https://doi.org/10.1016/0016-7037(88)90040-3DOI
16 
Hernes, P. J. and Benner, R. (2002). Transport and diagenesis of dissolved and particulate terrigenous organic matter in the North Pacific Ocean, Deep Sea Research Part I: Oceanographic Research Papers, 49(12), 2119-2132. https://doi.org/10.1016/S0967-0637(02)00128-0DOI
17 
Hernes, P. J. and Benner, R. (2003). Photochemical and microbial degradation of dissolved lignin phenols: Implications for the fate of terrigenous dissolved organic matter in marine environments, Journal of Geophysical Research: Oceans, 108(C9), 3291. https://doi.org/10.1029/2002JC001421DOI
18 
Hernes, P. J., Dyda, R. Y., and McDowell, W. H. (2017). Connecting tropical river DOM and POM to the landscape with lignin, Geochimica et Cosmochimica Acta, 219, 143–159. https://doi.org/10.1016/j.gca.2017.09.028DOI
19 
Hernes, P. J., Robinson, A. C., and Aufdenkampe, A. K. (2007). Fractionation of lignin during leaching and sorption and implications for organic matter “freshness,” Geophysical Research Letters, 34(17). https://doi.org/10.1029/2007GL031017DOI
20 
Hernes, P. J., Spencer, R. G. M., Dyda, R. Y., O’Geen, A. T., and Dahlgren, R. A. (2017). The genesis and exodus of vascular plant DOM from an oak woodland landscape, Frontiers in Earth Science, 5, 9. https://doi.org/10.3389/feart.2017.00009DOI
21 
Hertkorn, N., Harir, M., Cawley, K. M., Schmitt-Kopplin, P., and Jaffé, R. (2016). Molecular characterization of dissolved organic matter from subtropical wetlands: A comparative study through the analysis of optical properties, NMR and FTICR/MS, Biogeosciences, 13(8), 2257-2277. https://doi.org/10.5194/bg-13-2257-2016DOI
22 
Jeong, H. M., Jang, I., and Hong, S. (2016). Relationship between aboveground biomass and measures of structure and species diversity in quercus mongolica-dominated forest, Mt. Jeombong, Korean Journal of Environment and Ecology, 30, 1022-1031. [Korean Literature] https://doi.org/10.13047/KJEE.2016.30.6.1022DOI
23 
Jeong, J. J., Bartsch, S., Fleckenstein, J. H., Matzner, E., Tenhunen, J. D., Lee, S. D., Park, S. K., and Park, J. H. (2012). Differential storm responses of dissolved and particulate organic carbon in a mountainous headwater stream, investigated by high-frequency, in situ optical measurements, Journal of Geophysical Research: Biogeosciences, 117(G3), G03013 https://doi.org/10.1029/2012JG001999DOI
24 
Jin, H., Yoon, T. K., Begum, M. S., Lee, E. J., Oh, N. H., Kang, N., and Park, J. H. (2018). Longitudinal discontinuities in riverine greenhouse gas dynamics generated by dams and urban wastewater, Biogeosciences, 15, 6349-6369. https://doi.org/10.5194/bg-15-6349-2018DOI
25 
Jung, B. J., Lee, H. J., Jeong, J. J., Owen, J., Kim, B., Meusburger, K., Alewell, C., Gebauer, G., Shope, C., and Park, J. H. (2012). Storm pulses and varying sources of hydrologic carbon export from a mountainous watershed, Journal of Hydrology, 440–441, 90-101. https://doi.org/10.1016/j.jhydrol.2012.03.030DOI
26 
Kalbitz, K., Schwesig, D., Schmerwitz, J., Kaiser, K., Haumaier, L., Glaser, B., Ellerbrock, R., and Leinweber, P. (2003). Changes in properties of soil-derived dissolved organic matter induced by biodegradation, Soil Biology and Biochemistry, 35(8), 1129-1142. https://doi.org/10.1016/S0038-0717(03)00165-2DOI
27 
Kellerman, A. M., Vonk, J., McColaugh, S., Podgorski, D. C., van Winden, E., Hawkings, J. R., Johnston, S. E., Humayun, M., and Spencer, R. G. M. (2021). Molecular signatures of glacial dissolved organic matter from Svalbard and Greenland, Global Biogeochemical Cycles, 35(3), e2020GB006709. https://doi.org/10.1029/2020GB006709DOI
28 
Kim, J. K., Kim, B. C., Jung, S. M., Jang, C. W., Shin, M., and Lee, Y. (2007). The distribution of DOM and POM and the composition of stable carbon isotopes in streams of agricultural and forest watershed located in the Han River system, Korea, Korean Society of Limnology, 40(1), 93–102. [Korean Literature]URL
29 
Kim, S., Kramer, R. W., and Hatcher, P. G. (2003). Graphical method for analysis of ultrahigh-resolution broadband mass spectra of natural organic matter, the Van Krevelen Diagram, Analytical Chemistry Journal, 75(20), 5336-5344. https://doi.org/10.1021/ac034415pDOI
30 
Kirkels, F. M. S. A., de Boer, H. J., Concha Hernández, P., Martes, C. R. T., van der Meer, M. T. J., Basu, S., Usman, M. O., and Peterse, F. (2022). Carbon isotopic ratios of modern C3 and C4 vegetation on the Indian peninsula and changes along the plant–soil–river continuum – implications for vegetation reconstructions, Biogeosciences, 19(17), 4107-4127. https://doi.org/10.5194/bg-19-4107-2022DOI
31 
Koch, B. P. and Dittmar, T. (2006). From mass to structure: An aromaticity index for high-resolution mass data of natural organic matter, Communications in Mass Spectrometry, 20(5), 926-932. https://doi.org/10.1002/rcm.2386DOI
32 
Kwon, Y. A., Kwon, W. T., and Boo, K. O. (2008). Future projections on the spatial distribution of onset date and duration of natural seasons using SRES A1B data in South Korea, Journal of the Korean Geographical Society, 43(1), 36-51. [Korean Literature]URL
33 
Lee, B. S. (1979). A Study of Natural Seasons in Korea, Korean Geographical Society, 14(2), 1-11. [Korean literature]URL
34 
Lee, E. J., Lee, S. C., Lee, K., Cha, J. Y., Han, Y. N., Kim, S. G., and Oh, N. H. (2023). Properties of river organic carbon affected by wastewater treatment plants, Science of The Total Environment, 858(Pt1), 159761. https://doi.org/10.1016/j.scitotenv.2022.159761DOI
35 
Lee, E. J., Shin, Y., Lee, K., Lee, S. C., Cha, J. Y., and Oh, N. H. (2023). Comparison of organic carbon properties in extracted soil solutions obtained underneath Cryptomeria japonica and Quercus acutissima and its implication on stream dissolved organic carbon, Forest Science and Technology, 19(4), 296-308. https://doi.org/10.1080/21580103.2023.2265966DOI
36 
Lee, E. J., Shin, Y., Yoo, G. Y., Ko, E. B., Butman, D., Raymond, P. A., and Oh, N. H. (2021). Loads and ages of carbon from the five largest rivers in South Korea under Asian monsoon climates, Journal of Hydrology, 599, 126363. https://doi.org/10.1016/j.jhydrol.2021.126363DOI
37 
Lee, H. J., Chun, K. W., Shope, C. L., and Park, J. H. (2015). Multiple time-scale monitoring to address dynamic seasonality and storm pulses of stream water quality in mountainous watersheds, Water, 7(11), 6117-6138. https://doi.org/10.3390/w7116117DOI
38 
Lee, M. H., Lee, Y. K., Derrien, M., Choi, K., Shin, K. H., Jang, K. S., and Hur, J. (2019). Evaluating the contributions of different organic matter sources to urban river water during a storm event via optical indices and molecular composition, Water Research, 165, 115006. https://doi.org/10.1016/j.watres.2019.115006DOI
39 
Lee, S. C., Shin, Y., Jeon, Y. J., Lee, E. J., Eom, J. S., Kim, B., and Oh, N. H. (2021). Optical properties and 14C ages of stream DOM from agricultural and forest watersheds during storms, Environmental Pollution, 272, 116412. https://doi.org/10.1016/j.envpol.2020.116412DOI
40 
LeRoy, C. J., Hipp, A. L., Lueders, K., Follstad Shah, J. J., Kominoski, J. S., Ardón, M., Dodds, W. K., Gessner, M. O., Griffiths, N. A., Lecerf, A., Manning, D. W. P., Sinsabaugh, R. L., and Webster, J. R. (2020). Plant phylogenetic history explains in-stream decomposition at a global scale, Journal of Ecology, 108, 17-35. https://doi.org/10.1111/1365-2745.13262DOI
41 
Likens, G. E. (2013). Biogeochemistry of a forested ecosystem, New York, NY: Springer. https://doi.org/10.1007/978-1-4614-7810-2DOI
42 
Lu, C. J., Benner, R., Fichot, C. G., Fukuda, H., Yamashita, Y., and Ogawa, H. (2016). Sources and transformations of dissolved lignin phenols and chromophoric dissolved organic matter in Otsuchi Bay, Japan, Frontiers in Marine Science, 3, 85. https://doi.org/10.3389/fmars.2016.00085DOI
43 
Marwick, T. R., Tamooh, F., Teodoru, C. R., Borges, A. V., Darchambeau, F., and Bouillon, S. (2015). The age of river-transported carbon: A global perspective, Global Biogeochemical Cycles, 29(2), 122-137. https://doi.org/10.1002/2014GB004911DOI
44 
Meingast, K. M., Kane, E. S., Marcarelli, A. M., Wagenbrenner, J. W., and Beltrone, V. G. (2023). Seasonal trends of DOM character in soils and stream change with snowmelt timing, Water Resources Research, 59(3), e2022WR032014. https://doi.org/10.1029/2022WR032014DOI
45 
Merder, J., Freund, J. A., Feudel, U., Hansen, C. T., Hawkes, J. A., Jacob, B., Klaproth, K., Niggemann, J., Noriega-Ortega, B. E., Osterholz, H., Rossel, P. E., Seidel, M., Singer, G., Stubbins, A., Waska, H., and Dittmar, T. (2020). ICBM-OCEAN: Processing ultrahigh-resolution mass spectrometry data of complex molecular mixtures, Analytical Chemistry Journal, 92(10), 6832-6838. https://doi.org/10.1021/acs.analchem.9b05659DOI
46 
Moore, S., Evans, C. D., Page, S. E., Garnett, M. H., Jones, T. G., Freeman, C., Hooijer, A., Wiltshire, A. J., Limin, S. H., and Gauci, V. (2013). Deep instability of deforested tropical peatlands revealed by fluvial organic carbon fluxes, Nature, 493(7434), 660-663. https://doi.org/10.1038/nature11818DOI
47 
Mosher, J. J., Kaplan, L. A., Podgorski, D. C., Mckenna, A. M., and Marshall, A. G. (2015). Longitudinal shifts in dissolved organic matter chemogeography and chemodiversity within headwater streams: A river continuum reprise, Biogeochemistry, 124(1/3), 371–385. http://www.jstor.org/stable/24712033DOI
48 
National Institute of Ecology. (2017). Project of long term ecological research (II), National Institute of Ecology, 1-1266. [Korean Literature]URL
49 
National Institute of Ecology. (2023). 2023 long term ecological research in Korea, National Institute of Ecology, 1-456. [Korean Literature]URL
50 
National Institute of Environmental Research. (2013). The first 10 years of KNLTER (2004-2013) final report, National Institute of Environmental Research, 1-388. [Korean Literature]URL
51 
Oh, N. H. and Cha, J. Y. (2023). Applications of radiocarbon isotope ratios in environmental sciences in South Korea, Korean Journal of Ecology and Environment, 56, 281-302. [Korean Literature] https://doi.org/10.11614/KSL.2023.56.4.281DOI
52 
Opsahl, S. and Benner, R. (1995). Early diagenesis of vascular plant tissues: Lignin and cutin decomposition and biogeochemical implications, Geochimica et Cosmochimica Acta, 59(23), 4889-4904. https://doi.org/10.1016/0016-7037(95)00348-7DOI
53 
Opsahl, S. and Benner, R. (1998). Photochemical reactivity of dissolved lignin in river and ocean waters, Limnology and Oceanography, 43(6), 1297-1304. https://doi.org/10.4319/lo.1998.43.6.1297DOI
54 
Raymond, P. A., Saiers, J. E., and Sobczak, W. V. (2016). Hydrological and biogeochemical controls on watershed dissolved organic matter transport: Pulse-shunt concept, Ecology, 97(1), 5-16. https://doi.org/10.1890/14-1684.1DOI
55 
Rhyner, T. M. Y., Bröder, L., White, M. E., Mittelbach, B. V. A., Brunmayr, A., Hagedorn, F., Storck, F. R., Passera, L., Haghipour, N., Zobrist, J., and Eglinton, T. I. (2023). Radiocarbon signatures of carbon phases exported by Swiss rivers in the Anthropocene, Philosophical Transactions of the Royal Society A, 381(2261), 20220326. https://doi.org/10.1098/rsta.2022.0326DOI
56 
Riedel, T., Zark, M., Vähätalo, A. V., Niggemann, J., Spencer, R. G. M., Hernes, P. J., and Dittmar, T. (2016). Molecular signatures of biogeochemical transformations in dissolved organic matter from ten world rivers, Frontiers in Earth Science, 4, 85. https://doi.org/10.3389/feart.2016.00085DOI
57 
Ryan, K. A., Adler, T., Chalmers, A., Perdrial, J., Shanley, J. B., and Stubbins, A. (2021). Event scale relationships of DOC and TDN fluxes in throughfall and stemflow diverge from stream exports in a forested catchment, Journal of Geophysical Research: Biogeosciences, 126(7), e2021JG006281. https://doi.org/10.1029/2021JG006281DOI
58 
Sage, R. F. and Monson, R. K. (1999). C4 Plant Biology (1st ed.), Academic Press.URL
59 
Schlesinger, W. H. and Bernhardt, E. S. (2020). Biogeochemistry: An Analysis of Global Change (4th ed.), Academic Press. https://doi.org/10.1016/B978-0-12-814608-8.09992-8DOI
60 
Sheng, M., Chen, S., Liu, C.-Q., Fu, Q., Zhang, D., Hu, W., Deng, J., Wu, L., Li, P., Yan, Z., Zhu, Y. G., and Fu, P. (2023). Spatial and molecular variations in forest topsoil dissolved organic matter as revealed by FT-ICR mass spectrometry, Science of The Total Environment, 895, 165099. https://doi.org/10.1016/j.scitotenv.2023.165099DOI
61 
Shin, W. J., Ryu, J. S., Park, Y., and Lee, G. S. (2011). Chemical weathering and associated CO2 consumption in six major river basins, South Korea, Geomorphology, 129(3-4), 334-341. https://doi.org/10.1016/j.geomorph.2011.02.028DOI
62 
Sickman, J. O., DiGiorgio, C. L., Lee Davisson, M., Lucero, D. M., and Bergamaschi, B. (2010). Identifying sources of dissolved organic carbon in agriculturally dominated rivers using radiocarbon age dating: Sacramento–San Joaquin River Basin, California, Biogeochemistry, 99, 79-96. https://doi.org/10.1007/s10533-009-9391-zDOI
63 
Sjöström, E. (2013). Wood Chemistry: Fundamentals and Applications (2nd ed.). Academic Press.URL
64 
Spencer, R. G. M., Kellerman, A. M., Podgorski, D. C., Macedo, M. N., Jankowski, K., Nunes, D., and Neill, C. (2019). Identifying the molecular signatures of agricultural expansion in Amazonian headwater streams, Journal of Geophysical Research: Biogeosciences, 124(6), 1637–1650. https://doi.org/10.1029/2018JG004910DOI
65 
Swan, C. M. and Sparkman, A. (2023). The role of functional and phylogenetic diversity in riparian tree vegetation on leaf litter breakdown in rivers, Oikos, 2023(4), e09361. https://doi.org/10.1111/oik.09361DOI
66 
Vaughn, D. R., Kellerman, A. M., Wickland, K. P., Striegl, R. G., Podgorski, D. C., Hawkings, J. R., Nienhuis, J. H., Dornblaser, M. M., Stets, E. G., and Spencer, R. G. M. (2021). Anthropogenic landcover impacts fluvial dissolved organic matter composition in the Upper Mississippi River Basin, Biogeochemistry, 164, 117-141. https://doi.org/10.1007/s10533-021-00852-1DOI
67 
Weishaar, J. L.,, Aiken, G. R., Bergamaschi, B. A., Fram, M. S., Fujii, R., and Mopper, K. (2003). Evaluation of specific ultraviolet absorbance as an indicator of the chemical composition and reactivity of dissolved organic carbon, Environmental Science & Technology, 37(20), 4702–4708. https://doi.org/10.1021/es030360xDOI
68 
Xu, Y., Peng, Z., Tu, Y., and Huang, J. (2023). Combining organic and inorganic fertilization increases rice yield and soil nitrogen and carbon: Dissolved organic matter chemodiversity and soil microbial communities, Plant and Soil, 492, 557-571. https://doi.org/10.1007/s11104-023-06203-3DOI
69 
Yang, G., Gong, Z., Luo, X., and Shuai, L. (2022). Revisiting alkaline cupric oxide oxidation method for lignin structural analysis, Frontiers in Bioengineering and Biotechnology, 10, 1002145. https://doi.org/10.3389/fbioe.2022.1002145DOI
70 
Yates, C. A., Johnes, P. J., Owen, A. T., Brailsford, F. L., Glanville, H. C., Evans, C. D., Marshall, M. R., Jones, D. L., Lloyd, C. E. M., Jickells, T., and Evershed, R. P. (2019). Variation in dissolved organic matter (DOM) stoichiometry in U.K. freshwaters: Assessing the influence of land cover and soil C:N ratio on DOM composition, Limnology and Oceanography, 64(6), 2328-2340. https://doi.org/10.1002/lno.11186DOI
71 
Zark, M. and Dittmar, T. (2018). Universal molecular structures in natural dissolved organic matter, Nature Communications, 9(1), 3178. https://doi.org/10.1038/s41467-018-05665-9DOI
72 
Zherebker, A., Rukhovich, G. D., Sarycheva, A., Lechtenfeld, O. J., and Nikolaev, E. N. (2022). Aromaticity index with improved estimation of carboxyl group contribution for biogeochemical studies, Environmental Science & Technology, 56(4), 2729–2737. https://doi.org/10.1021/acs.est.1c04575DOI