The Journal of
the Korean Society on Water Environment

The Journal of
the Korean Society on Water Environment

Bimonthly
  • ISSN : 2289-0971 (Print)
  • ISSN : 2289-098X (Online)
  • KCI Accredited Journal

Editorial Office


  1. 경기대학교 생명과학과 (Department of Life Science, Kyonggi University)



Kyeongan stream, Water quality, Total maximum daily load, Probability distribution models, Differential entropy

1. Introduction

본 연구의 대상인 경안천은 경기도 용인시와 광주시를 경유하여 수도권의 주요 상수원인 팔당호로 유입되는 하천이다. 서울에 인접한 경안천 유역의 오염원은 개발시대에 급속하게 증가하였고 한때 경안천은 오염하천의 대명사로 지칭될 정도로 수질이 악화된 상태였다. 경안천 유역의 오염원이 증가하는 상황은 지금도 계속되고 있으나 최근의 경안천 수질은 과거와는 전혀 다른 양상을 보이고 있다. 즉 지난 2004년과 2008년에 광주시와 용인시가 각각 우리나라에서 첫 번째와 두 번째로 수질오염총량관리를 시행하면서 오염원의 증가 속에도 경안천의 수질은 크게 개선되었다. 특히 2012년부터 하수처리장의 방류수 총인 기준이 강화(2 mg/L → 0.2 mg/L)되면서 인 농도가 뚜렷하게 감소하였다.

본 연구는 경안천 수질오염총량관리 단위유역(경안B) 말단지점의 장기적인 수질변화를 확률분포로 해석한 것이다. 산술적인 평균이나 분산과 같은 점추정량(point estimator)에 비하여 확률분포 해석은 수질분포를 가시적으로 파악할 수 있고 특정 수질구간의 확률을 추출할 수 있다는 이점이 있다. 그럼에도 불구하고 국내에서 수질해석을 위하여 확률분포를 적용한 사례는 많지 않다.

Kim and Ahn (2009)은 안성천의 BOD5 농도에 대한 확률분포 해석에서 정규분포(normal distribution)보다는 대수정규분포(lognormal distribution), 감마분포(gamma distribution) 및 와이블분포(Weibull distribution; Weibull, 1951)가 더 적합하였다고 보고하였다. Jin et al. (2010)은 논에서 유출되는 BOD5 농도에 대하여 정규분포와 감마분포의 적합성을 확인한 바 있다. Jung et al. (2014)은 논으로부터 배출되는 CODMn 농도가 정규, 대수정규 및 감마 분포를 따르고, 총질소(total nitrogen, T-N) 농도는 정규, 대수정규, 감마, 와이블 분포를 따르며, 총부유물질(total dissolved solids, TSS) 농도는 대수정규와 감마 분포를 따르는 것으로 보고하였다. Kong et al. (2018)은 전국 하천의 569개 지점의 2008∼2014년의 평균 자료에서 BOD5, 총부유물질, 총인(total phosphorus, T-P) 농도가 대수정규분포하는 것을 확인한 바 있다. Kong (2019)은 우리나라 주요 호소의 주요 수질항목의 분포를 정규분포, 대수정규분포, 와이블분포 모형으로 해석한 바 있으며, Kim (2019)은 남한강 보 건설 전⋅후의 수질변화를 대수정규분포 모형으로 해석한 바 있다. 수질외에 생태자료에 대한 적용 사례로는 Kong and Kim (2015)이 와이블분포로 조사면적과 저서성 대형무척추동물 군집지수 간의 관계를 해석한 바 있으며, Jung and Kong (2023)이 수질에 따른 저서성 대형무척추동물의 출현특성을 분석함에 있어 8가지 유형의 주 모형과 4가지 역분포 모형을 적용한 바 있다. Kong et al. (2025)은 저서성 대형무척추동물의 면적-종수 관계 해석에서 16개의 확률분포 모형을 적용한 바 있다.

본 연구에서는 경안천에 대한 수질오염총량관리가 시작된 이후 수질개선 사업이 시행되었던 시기와 최근에 수질이 개선된 시기를 나누어 8가지 수질항목[pH, 용존산소(dissolved oxygen, DO), 전기전도도(electrical conductivity, EC), BOD5, 총유기탄소(total organic carbon, TOC), 총질소, 총인, 총부유물질]의 확률분포를 해석하였다. 적용된 확률분포 모형은 10가지였으며 각 모형을 이동(shifted)과 절단형(truncated)으로 구분하여 누적분포함수(cumulative distribution function, CDF)와 확률밀도함수(probability density function, PDF)를 구성하였고 통계량 식을 도출하여 적용하였다. 국내에서 수행된 기존 연구에서는 주로 기본모형을 적용하였으나 수질자료는 역치 값을 가지거나 저농도에 집중된 분포를 보이는 경우가 많기 때문에 기본모형만으로는 정밀한 해석이 어렵다. 이러한 차별성과 더불어 본 연구에서는 그간의 여러 연구에 비하여 많은 수질항목과 모형을 검토하였으며 도출된 결과의 원인에 대한 분석에 중점을 두었다는 점에서 의의가 있다.

2. Materials and Methods

2.1 자료수집

분석에 사용된 자료는 경안B 오염총량관리 단위유역 말단지점에서 2005년부터 2023년까지 측정된 유량과 수질로 환경부 물환경정보시스템(http://water.nier.go.kr)에서 추출하였다. 해당 유역에서 총량관리를 통하여 수질개선 대책이 시작된 직후 년도인 2005년부터 2011년까지를 1기(period 1), 수질개선이 안정적으로 이루어지고 하수처리장의 총인 방류수 수질기준이 강화된 2012년부터 2023년까지를 2기(period 2)로 구분하여 자료를 분석하였다. 수질항목 중 총유기탄소는 2008년부터 모니터링되었으므로 해당 항목에 한하여 1기 기간은 2008년부터 2011년이었다.

2.2 확률분포 모형의 선정

본 연구에 적용된 확률분포 모형은 9가지 3 인자(model parameter) 분포[일반지수(generalized exponential), 와이블(Weibull), 역와이블(inverse Weibull), 정규(normal), 대수정규(lognormal), 로지스틱(logistic), 로지스틱멱함수(logistic power), 감마(gamma), 굼벨(Gumbel)]와 역치값을 포함한 4 인자 분포[베타(beta)]였다. 각 모형은 이동형과 절단형으로 구분하였으므로 실질적인 모형의 수는 20가지가 된다. 일반적으로 모델인자가 많아지면 예측력은 높아지지만 모형인자 추정의 불확실성과 복잡성이 커지므로 효율성은 떨어진다. 따라서 모형 간의 적합성 및 효율성을 같은 기준으로 비교하기 위하여 베타분포 모형을 제외하곤 모형인자의 수를 동일하게 설정한 것이다.

각 모형의 누적분포함수, 확률밀도함수, 백분위(quantile) 식은 Appendix 1과 같으며 각 모형에서 도출된 최빈값(mode), 중앙값(median), 평균(mean), 분산(variance), 왜도(skewness), 미분엔트로피(diffrential entropy) 식은 Appendix 2와 같다.

2.3 모형인자 추정

확률분포 모형의 인자는 최소제곱추정법(least squares estimation, LSE)이나 모멘트추정법(method of moments, MOM), 최대가능도추정법(maximum likelihood estimation, MLE) 및 베이지안추정법(Bayesian estimation, BE)으로 추정할 수 있다(Han et al., 2009). 본 연구에서는 빈도주의 추정법인 LSE, MOM, MLE 방법으로 모형인자를 추정하고 모형의 적합도를 검정하였다.

2.3.1 LSE

LSE는 관측치에 기반한 경험적 누적분포함수 $F_{n}(x_{i})$와 이론적 누적분포함수 $F(x_{i})$ 값의 차이를 제곱하여 합한 값 (식 1)이 최소가 되게 하는 인자를 추정하는 방법이다. $F_{n}(x_{i})$는 오름차순으로 정렬된 $x_{i}$ 값에 해당하는 순위 $i$를 관측치의 총수 $n$으로 나눈 값이다. 이때 동일 값에 대하여 최소 순위(minimum ramk), 최대 순위(maximum rank), 평균 순위(average rank), 순차적 누적순위(sequential cumulative rank)가 고려될 수 있으나 본 연구에서는 왜곡이 적은 평균 순위법을 적용하였다. 또한 정의역(domain)을 벗어난 구간의 $F(x_{i})$ 값은 0으로 취급하여 계산하였다. 일반적으로 LSE는 계산이 간단하고 직관적이다.

식 1
$L=\sum_{i=1}^{n}\left[F_{n}(x_{i})-F(x_{i})\right]^{2}=\sum_{i=1}^{n}\left[\dfrac{i}{n}-F(x_{i})\right]^{2}$

2.3.2 MOM

MOM은 통계량과 모수를 일치시켜서 인자를 추정하는 방법으로 저차 모멘트인 경우에는 LSE와 마찬가지로 계산이 간단하고 직관적이다. 그러나 이 방법은 극단값의 영향을 크게 받으며 인자의 수가 많아질 경우 고차 모멘트가 요구되어 추정이 복잡해진다. 일례를 들어 역치값을 포함한 3인자 대수정규분포의 인자 값은 모멘트법으로 다음과 같이 추정될 수 있다. 모집단의 평균, 분산, 왜도에 대한 불편추정치는 식 24로 계산된다.

식 2
$.\overline{x}=\dfrac{1}{n}\sum_{i=1}^{n}x_{i}$
식 3
$s^{2}=\dfrac{1}{n-1}\sum_{i=1}^{n}\left(x_{i}-\overline{x}\right)^{2}$
식 4
$G_{1}=\dfrac{n}{(n-1)(n-2)}\sum_{i=1}^{n}\left(\dfrac{x_{i}-\overline{x}}{s}\right)^{3}$

이를 위치모수가 양의 값을 가진 경우의 대수정규분포의 모평균, 모분산, 모왜도 식(Appendix 2)에 각각 대응하였을 때 그 관계는 각각 식 57과 같다.

식 5
$\overline{x}=\hat{a}+e^{\hat{\mu}+\dfrac{\hat{\sigma}^{2}}{2}}$
식 6
$s^{2}=(e^{\sigma^{2}}-1)e^{2\mu +\sigma^{2}}$
식 7
$G_{1}^{2}=(e^{\hat{\sigma}^{2}}-1)(e^{\hat{\sigma}^{2}}+2)^{2}$

이때 $\omega =e^{\hat{\sigma}^{2}}$로 놓으면 식 7식 8과 같은 3차 함수식으로 정리되며 그 일반해는 식 9와 같다.

식 8
$\omega^{3}+3\omega^{2}-4-G_{1}^{2}=0$
식 9

$\omega =\sqrt[3]{1+\dfrac{\omega_{1}}{2}}+\sqrt[3]{1+\dfrac{\omega_{2}}{2}}-1$

$\omega_{1}=G_{1}^{2}+G_{1}\left(4+G_{1}^{2}\right)^{1/2}$, $\omega_{2}=G_{1}^{2}-G_{1}\left(4+G_{1}^{2}\right)^{1/2}$

따라서 추정치 $\hat{\sigma}^{2}$은 식 10과 같이 구해진다.

식 10
$\hat{\sigma}^{2}=\ln\omega$

이어서 인자 $\hat{\sigma}^{2}$을 식 6에 적용하면 추정치 $\hat{\mu}$는 식 11로 구해진다.

식 11
$\hat{\mu}=\dfrac{1}{2}\ln\left[\dfrac{s^{2}}{e^{\hat{\sigma}^{2}}(e^{\hat{\sigma}^{2}}-1)}\right]$

또한 모수 $\hat{\sigma}^{2}$과 $\hat{\mu}$를 식 5에 대입하면 추정치 $\hat{a}$은 식 12로 구해진다.

식 12
$\hat{a}=\overline{x}-e^{\hat{\mu}+\dfrac{\hat{\sigma}^{2}}{2}}$

그러나 위치 인자 $a$ 값이 음의 값으로서 정의역이 $x\in(0,\: \infty)$인 영절단분포(zero-truncated distribution)에서는 모평균, 모분산, 모왜도의 공식이 복잡하여 추정치에 대한 해석해를 구하기 어려우며 이는 다른 분포모형에서도 마찬가지다. 본 연구에서는 각 인자의 값을 모멘트 함수의 연립방정식으로 구할 수 없는 경우 Microsoft Excel 프로그램의 해찾기(solver) 기능을 활용하여 모수와 통계량을 일치시키는 인자를 도출하였다.

2.3.3 MLE

MLE는 가능도함수(식 13) 값이 최대가 되는 인자 값을 찾는 방법이다.

식 13
$L(\theta_{1},\: \theta_{2},\: \cdots)=\underline{\dfrac{}{}}\Pi_{i=1}^{n}f(x_{i};\theta_{1},\: \theta_{2},\: \cdots)$

이때 계산의 편의를 위하여 가능도함수를 대수치로 변화시킨 로그가능도함수(식 14)를 적용하는데 이는 $\ln L(\theta)$가 단조증가함수이므로 $L(\theta)$가 최대가 되는 인자값에서 $\ln L(\theta)$도 최대가 되며 미분을 통하여 인자 값을 찾는 것이 더욱 용이해지기 때문이다.

식 14
$\ln L(\theta_{1},\: \theta_{2},\: \cdots)=\sum_{i=1}^{n}\ln f(x_{i};\theta_{1},\: \theta_{2},\: \cdots)$

인자 값은 $\ln L(\theta)$를 각 인자 값으로 편미분하여 그 값이 0인 해를 구하는 방법으로 추정할 수 있다. 그러나 위치 인자를 포함한 많은 확률분포 모형에서 미분을 통하여 얻어진 식을 연립하여 해석해를 구하는 식은 도출되지 않는다. 이 경우 엑셀의 해찾기 기능을 활용하여 $\ln L(\theta)$가 최대가 되는 인자 값을 도출하였다. 이때 위치 인자의 추정치는 관측치의 최소값보다 작거나 최대값보다 큰 제약조건을 두었다.

2.4 적합도 검정

확률분포모형의 적합도는 K-S (Kolmogorov-Smirnov) 검정, A-D (Anderson-Darling) 검정, $\chi^{2}$ 검정으로 평가하였다.

2.4.1 K-S 검정

K-S 검정은 실측치에 기반한 경험적 누적분포함수 $F_{n}(x_{i})$ 또는 $F_{n-1}(x_{i})$와 이론적 누적분포함수 $F(x_{i})$ 사이의 최대 차이를 측정한 통계량 $D_{n}$에 의한다(식 15). 경험적 누적분포함수는 동일 값의 수에 관계없이 오름차순의 순차적 누적순위의 값($i$ 또는 $i-1$)을 관측치 총수 $n$으로 나눈 값이다.

식 15

$D_{n}= {sup}\left\{\left | F_{n}(x_{i})-F(x_{i})\right | ,\: \left | F_{n-1}(x_{i})-F(x_{i})\right |\right\}\\x$

$F_{n}(x_{i})=i/n$, $F_{n-1}(x_{i})=(i-1)/n$

K-S 검정의 유의확률($p-{value}$)은 근사적으로 식 16을 따른다.

식 16

$p=P(>D_{n})\approx Q_{KS}(\lambda)$

$\lambda =\sqrt{n}D_{n}$, $Q_{KS}(\lambda)=2\sum_{i=1}^{\infty}(-1)^{i-1}e^{-2i^{2}\lambda^{2}}$

2.4.2 A-D 검정

A-D 검정은 확률분포의 꼬리 부분에 보다 큰 가중치를 부여하는 것으로 일반적으로 K-S 검정에 비하여 더욱 엄격한 결과를 보여준다. 검정통계량 $A$는 동일 값의 수에 관계없이 오름차순의 순차적 누적순위로 정렬된 관측치 $x_{i}$와 $x_{n+1-i}$에 대한 이론적 누적분포함수 $F(x_{i})$와 $F(x_{n+1-i})$의 관계에서 도출된다(식 17).

식 17
$A=-n-\dfrac{1}{n}\sum_{i=1}^{n}\left\{(2i-1)\left[\ln F(x_{i})+\ln(1-F(x_{n+1-i}\right]\right\}$

검정통계량 $A$는 관측치의 총수에 따라 보정되며, 보정 검정통계량 $A*$의 일반식은 식 18과 같다. 계수 $c_{1}$과 $c_{2}$ 값은 정규분포나 대수정규분포에 대하여 각각 0.75와 2.25이다(식 19). 실제로 $c_{1}$과 $c_{2}$ 값은 확률분포모형에 따라 달리 적용되지만 본 연구에서처럼 표본크기가 큰 경우에는 그 차이가 크지 않으므로 적용된 모든 확률분포 모형에 대하여 식 19를 적용하였다.

식 18
$A^{*}=A\left(1+\dfrac{c_{1}}{n}+\dfrac{c_{2}}{n^{2}}\right)$
식 19
$A^{*}=A\left(1+\dfrac{0.75}{n}+\dfrac{2.25}{n^{2}}\right)$

조정된 검정통계량 $A*$에 따른 유의확률의 근사치는 다음과 같이 계산된다.

$A^{*}$ $p$
$<0.2$ $1-e^{-13.436+101.14A*-223.73A*^{2}}$
$\le 0.2\sim <0.34$ $1-e^{-8.318+42.796A*-59.938A*^{2}}$
$\le 0.34\sim <0.6$ $e^{0.9177-4.279A*-1.38A*^{2}}$
$\ge 0.6$ $e^{1.2937-5.709A*+0.0186A*^{2}}$

2.4.3 $\chi^{2}$ 검정

$\chi^{2}$ 검정은 급구간(class interval)에 따른 관측빈도와 확률분포의 기대빈도 간의 적합도를 검정하는 것이다. 따라서 계급수($k$)와 급구간의 경계값을 설정하는 방식에 따라 검정결과가 달라진다. 본 연구에서는 이러한 주관성을 배제하기 위하여 모든 수질항목과 확률분포 모형에 대하여 계급수를 Sturges 공식(Sturges, 1926)에서 계산된 값을 반올림한 자연수로 설정하였다(식 20).

식 20
$k=1+\log_{2}^{n}$

급구간의 경계값은 관측치 값의 범위를 계급수로 나누어 급구간의 범위를 동일하게 하거나 각 급구간의 관측빈도 또는 기대빈도를 동일하게 하는 방법이 적용될 수 있다. 그러나 관측치를 기준으로 급구간의 범위나 빈도를 일정하게 하는 방법은 관측치의 분포가 편포하거나 이상치가 있는 경우 관측빈도 또는 기대빈도가 치우치거나 적어질 수 있으며, $\chi^{2}$ 검정에서 기대빈도가 5 미만이면 검정결과의 신뢰성이 저하된다. 따라서 본 연구에서는 각 급구간의 기대빈도를 동일하게 설정하고 기대빈도에 부합되는 이론적인 누적분포함수의 역함수 값에 해당하는 관측빈도를 구하여 계산하는 방법을 적용하였다(식 21). 식 20에서 기대빈도 $n/k$이 5에 해당하는 $n$값은 약 30이 되는데 본 연구의 관측치 수는 이보다 매우 크기 때문에 $\chi^{2}$ 검정의 신뢰성은 저하되지 않는다.

식 21

$\chi^{2}=\sqrt{\dfrac{\sum_{j=1}^{k}\left(n_{j}-n/k\right)^{2}}{n/k}}$

$n_{j}\sim\left[F^{-1}\left(\dfrac{j-1}{k}\right)<x_{i}\le F^{-1}\left(\dfrac{j}{k}\right)\right]$

$df=k-1-p$

식 21에서 $n_{1}$은 누적분포함수의 누적확률 $1/k$에 해당하는 역함수 값인 $F^{-1}(1/k)$ 이하의 관측치 수이고, $n_{2}$에서 $n_{k-1}$은 누적분포함수의 각 급구간별 누적확률의 역함수 값의 범위에 속한 관측치 수이며, $n_{k}$ 값은 $F^{-1}[(k-1)/n]$보다 크고 관측치의 최대값 이하에 해당하는 관측치 수이다. 자유도($df$)는 급구간의 수($k$)와 모델인자의 수($p$)로 결정된다.

2.5 빈도분석

관측치의 빈도에 따른 확률질량함수(probability mass function, PMF)와 PDF의 일치성을 가시적으로 비교하기 위하여 히스토그램(histogram)과 PDF 곡선을 도시하였다. 계급수는 식 20에 따라 설정하였다. 대부분의 수질항목 값은 강우의 영향으로 편포하기 때문에 최대값($V_{\max}$)과 최소값($V_{\min}$)을 2진 로그변환 후 그 차이를 계급수로 나눈 값을 $h$라 하고(식 22), 각 계급($i$)의 대수변환 상한값을 원래의 척도로 재변환($U_{i}$)한 후(식 23) 계급 간의 차이 값을 급구간으로 설정하였다(식 24).

식 22
$h =\dfrac{\log_{2}^{V_{\max}/V_{\min}}}{k}$
식 23
$U_{i}=V_{\min}2^{i}$. $^{h}$
식 24
$CI_{i}=U_{i}-U_{i-1}$

확률질량함수는 각 급구간의 빈도($n_{i}$)를 측정값의 총수($n$)로 나눈 상대빈도(relative frequency, $R_{i}$) (식 25)를 급구간으로 나눈 값으로 하였다(식 26). 누적질량함수(cumulative mass function)는 확률질량함수에 급구간을 곱한 값을 누적한 값이다(식 27).

식 25
$R_{i}=\dfrac{n_{i}}{n}$
식 26
$PMF_{i}=R_{i}/CI_{i}$
식 27
$CMF_{i}=CMF_{i-1}+PMF_{i}$.$CI_{i}$

빈도분석의 적합도는 각 급구간의 누적질량함수 값과 누적분포함수 값의 차이로부터 계산된 평균 제곱근 오차(root mean squared error, RMSE)로 평가하였다(식 28).

식 28
$RMSE =\sqrt{\dfrac{1}{{k}}\sum_{{i}=1}^{{k}}\left[\left({CMF}_{{i}}-{CMF}_{{i}-1})-({CDF}_{{i}}-{CDF}_{{i}-1}\right)\right]^{2}}$

3. Results and Discussion

3.1 모형의 적합도

3.1.1 K-S 검정

경안B 지점에서 모형인자의 추정방법에 따른 K-S 검정의 유의확률($p$-value)은 Table 1과 같다. LSE 방법으로 추정된 모형인자는 MOM이나 MLE 방법으로 추정된 모형인자에 비하여 전반적으로 높은 적합도를 보였다.

Table 1 Significance probability ($p$-value) of the Kolmogorov-Smirnov test for probability distribution models based on parameter estimation methods

Item

Period

GE

W

IW

N

LN

L

LP

GA

GU

B

LSE

BOD5

1

0.87

0.84

0.17

0.73

0.40

0.80

0.24

0.87

0.80

0.87

2

0.23

0.26

0.12

0.24

0.33

0.25

0.09

0.24

0.25

0.24

TOC

1

0.58

0.61

0.58

0.51

0.63

0.53

0.62

0.63

0.58

0.63

2

0.23

0.26

0.13

0.30

0.17

0.28

0.11

0.24

0.24

0.24

TN

1

0.65

0.67

0.49

0.51

0.72

0.64

0.36

0.65

0.68

0.65

2

0.86

0.89

0.70

0.60

0.78

0.67

0.35

0.87

0.86

0.87

TP

1

0.46

0.77

0.37

0.84

0.42

0.71

0.17

0.57

0.57

0.88

2

0.44

0.18

0.38

0.05

0.40

0.21

0.48

0.33

0.43

0.33

TSS

1

0.99

0.99

0.17

0.01

0.47

0.31

0.34

0.99

0.31

0.99

2

0.86

0.78

0.49

0.64

0.82

0.77

0.44

0.84

0.78

0.84

EC

1

0.01

0.98

0.01

0.51

0.41

0.51

0.37

0.42

0.01

0.99

2

0.00

0.87

0.00

0.31

0.23

0.27

0.23

0.24

0.00

0.79

DO

1

0.05

0.28

0.04

0.29

0.24

0.19

0.14

0.24

0.05

0.52

2

0.08

0.36

0.07

0.51

0.23

0.21

0.17

0.22

0.08

0.86

pH

1

0.08

0.05

0.06

0.04

0.06

0.05

0.09

0.06

0.08

0.06

2

0.00

0.00

0.00

0.00

0.00

0.00

0.00

0.00

0.00

0.00

MOM

BOD5

1

0.00

0.01

0.00

0.05

0.00

0.00

0.00

0.01

0.00

0.08

2

0.00

0.00

0.00

0.01

0.00

0.00

0.00

0.00

0.00

0.01

TOC

1

0.47

0.49

0.46

0.34

0.53

0.52

0.10

0.63

0.46

0.23

2

0.13

0.20

0.01

0.04

0.04

0.17

0.00

0.32

0.30

0.00

TN

1

0.00

0.04

0.00

0.15

0.00

0.01

0.00

0.01

0.00

0.29

2

0.06

0.53

0.05

0.56

0.06

0.16

0.00

0.15

0.06

0.85

TP

1

0.31

0.34

0.24

0.58

0.11

0.06

0.06

0.16

0.26

0.42

2

0.00

0.00

0.01

0.00

0.00

0.00

0.03

0.00

0.00

0.00

TSS

1

0.00

0.99

0.00

0.00

0.00

0.00

0.00

0.00

0.00

0.00

2

0.00

0.00

0.00

0.00

0.00

0.00

0.00

0.00

0.00

0.00

EC

1

0.00

0.84

0.00

0.22

0.14

0.07

0.00

0.21

0.00

0.00

2

0.00

0.69

0.00

0.02

0.02

0.00

0.00

0.02

0.00

0.00

DO

1

0.00

0.11

0.00

0.08

0.05

0.00

0.00

0.05

0.00

0.44

2

0.01

0.15

0.01

0.17

0.03

0.00

0.00

0.04

0.01

0.78

pH

1

0.02

0.00

0.03

0.00

0.01

0.00

0.00

0.01

0.02

0.00

2

0.00

0.00

0.00

0.00

0.00

0.00

0.00

0.00

0.00

0.00

MLE

BOD5

1

0.39

0.50

0.08

0.14

0.18

0.20

0.13

0.40

0.24

0.44

2

0.02

0.02

0.01

0.00

0.03

0.01

0.02

0.02

0.01

0.02

TOC

1

0.32

0.52

0.42

0.18

0.39

0.49

0.34

0.44

0.53

0.56

2

0.03

0.02

0.04

0.00

0.07

0.00

0.02

0.02

0.00

0.02

TN

1

0.17

0.05

0.12

0.09

0.24

0.09

0.21

0.12

0.05

0.09

2

0.34

0.45

0.10

0.13

0.18

0.40

0.13

0.44

0.30

0.54

TP

1

0.33

0.68

0.25

0.37

0.26

0.43

0.20

0.39

0.50

0.87

2

0.01

0.00

0.08

0.00

0.06

0.00

0.19

0.00

0.00

0.00

TSS

1

0.08

0.02

0.20

0.01

0.79

0.04

0.50

0.05

0.04

0.04

2

0.01

0.02

0.17

0.00

0.30

0.01

0.27

0.01

0.01

0.00

EC

1

0.00

0.72

0.01

0.14

0.19

0.32

0.27

0.19

0.00

0.64

2

0.00

0.51

0.00

0.02

0.02

0.10

0.08

0.02

0.00

0.43

DO

1

0.00

0.05

0.00

0.11

0.02

0.06

0.02

0.01

0.00

0.25

2

0.06

0.10

0.06

0.03

0.09

0.08

0.05

0.14

0.06

0.14

pH

1

0.01

0.00

0.01

0.00

0.00

0.00

0.03

0.00

0.01

0.00

2

0.00

0.00

0.00

0.00

0.00

0.00

0.00

0.00

0.00

0.00

GE: Generalized exponential, W: Weibull, IW: Inverse Weibull, N: Normal, LN: Lognormal, L: Logistic,

LP: Logistic power, GA: Gamma, GU: Gumbel, B: Beta

3.1.2 A-D 검정

K-S 검정과 달리 A-D 검정의 유의확률은 상대적으로 낮았다(Table 2). 평균적으로 와이블 분포나 베타분포 모형을 제외한 모든 모형의 적합도가 유의한 수준으로 기각되었다.

Table 2 Significance probability ($p$-value) of the Anderson-Darling test for probability distribution models based on parameter estimation methods

Model

Item

Period

GE

W

IW

N

LN

L

LP

GA

GU

B

LSE

BOD5

1

0.23

0.21

0.00

0.22

0.00

0.21

0.00

0.23

0.21

0.23

2

0.00

0.00

0.00

0.00

0.00

0.00

0.00

0.00

0.00

0.00

TOC

1

0.29

0.38

0.24

0.03

0.26

0.27

0.06

0.38

0.41

0.37

2

0.02

0.00

0.00

0.00

0.01

0.00

0.00

0.02

0.00

0.02

TN

1

0.00

0.00

0.00

0.00

0.02

0.00

0.00

0.00

0.00

0.00

2

0.06

0.05

0.00

0.00

0.01

0.00

0.00

0.10

0.01

0.10

TP

1

0.03

0.15

0.00

0.01

0.01

0.03

0.00

0.06

0.05

0.24

2

0.00

0.00

0.00

0.00

0.00

0.00

0.01

0.00

0.00

0.00

TSS

1

0.03

0.05

0.00

0.00

0.02

0.00

0.00

0.04

0.00

0.04

2

0.00

0.00

0.01

0.00

0.01

0.00

0.00

0.00

0.00

0.00

EC

1

0.00

0.35

0.00

0.00

0.00

0.00

0.00

0.00

0.00

0.18

2

0.00

0.16

0.00

0.00

0.00

0.00

0.00

0.00

0.00

0.14

DO

1

0.00

0.00

0.00

0.00

0.00

0.00

0.00

0.00

0.00

0.01

2

0.00

0.01

0.00

0.00

0.00

0.00

0.00

0.00

0.00

0.01

pH

1

0.00

0.00

0.00

0.00

0.00

0.00

0.00

0.00

0.00

0.00

2

0.00

0.00

0.00

0.00

0.00

0.00

0.00

0.00

0.00

0.00

MOM

BOD5

1

0.00

0.00

0.00

0.00

0.00

0.00

0.00

0.00

0.00

0.00

2

0.00

0.00

0.00

0.00

0.00

0.00

0.00

0.00

0.00

0.00

TOC

1

0.25

0.04

0.24

0.00

0.29

0.21

0.00

0.46

0.24

0.00

2

0.02

0.00

0.00

0.00

0.00

0.00

0.00

0.01

0.00

0.00

TN

1

0.00

0.00

0.00

0.00

0.00

0.00

0.00

0.00

0.00

0.00

2

0.00

0.01

0.00

0.01

0.00

0.00

0.00

0.00

0.00

0.00

TP

1

0.00

0.02

0.00

0.16

0.00

0.00

0.00

0.00

0.00

0.04

2

0.02

0.00

0.00

0.00

0.00

0.00

0.00

0.00

0.00

0.00

TSS

1

0.00

0.05

0.00

0.00

0.00

0.00

0.00

0.00

0.00

0.00

2

0.00

0.00

0.00

0.00

0.00

0.00

0.00

0.00

0.00

0.00

EC

1

0.00

0.29

0.00

0.00

0.00

0.00

0.00

0.00

0.00

0.00

2

0.00

0.11

0.00

0.00

0.00

0.00

0.00

0.00

0.00

0.00

DO

1

0.00

0.00

0.00

0.00

0.00

0.00

0.00

0.00

0.00

0.03

2

0.00

0.00

0.00

0.00

0.00

0.00

0.00

0.00

0.00

0.21

pH

1

0.00

0.00

0.00

0.00

0.00

0.00

0.00

0.00

0.00

0.00

2

0.00

0.00

0.00

0.00

0.00

0.00

0.00

0.00

0.00

0.00

MLE

BOD5

1

0.01

0.01

0.00

0.00

0.00

0.00

0.00

0.01

0.00

0.01

2

0.00

0.00

0.00

0.00

0.00

0.00

0.00

0.00

0.00

0.00

TOC

1

0.25

0.35

0.18

0.01

0.25

0.09

0.05

0.37

0.10

0.38

2

0.00

0.00

0.00

0.00

0.01

0.00

0.00

0.00

0.00

0.00

TN

1

0.01

0.00

0.00

0.00

0.01

0.00

0.00

0.01

0.00

0.00

2

0.04

0.03

0.00

0.00

0.00

0.00

0.00

0.08

0.00

0.10

TP

1

0.01

0.10

0.00

0.06

0.00

0.04

0.00

0.02

0.04

0.31

2

0.00

0.00

0.00

0.00

0.00

0.00

0.05

0.00

0.00

0.00

TSS

1

0.00

0.00

0.00

0.00

0.03

0.00

0.00

0.00

0.00

0.00

2

0.00

0.00

0.00

0.00

0.01

0.00

0.00

0.00

0.00

0.00

EC

1

0.00

0.15

0.00

0.00

0.00

0.00

0.00

0.00

0.00

0.03

2

0.00

0.05

0.00

0.00

0.00

0.00

0.00

0.00

0.00

0.03

DO

1

0.00

0.00

0.00

0.00

0.00

0.00

0.00

0.00

0.00

0.01

2

0.00

0.00

0.00

0.00

0.00

0.00

0.00

0.00

0.00

0.00

pH

1

0.00

0.00

0.00

0.00

0.00

0.00

0.00

0.00

0.00

0.00

2

0.00

0.00

0.00

0.00

0.00

0.00

0.00

0.00

0.00

0.00

GE: Generalized exponential, W: Weibull, IW: Inverse Weibull, N: Normal, LN: Lognormal, L: Logistic,

LP: Logistic power, GA: Gamma, GU: Gumbel, B: Beta

3.1.3 검정

$\chi^{2}$ 검정 결과의 유의확률은 K-S 검정과 A-D 검정의 중간 수준을 보였으며 와이블분포와 베타분포 모형의 적합도가 상대적으로 높았다(Table 3).

빈도분석의 결과 전기전도도는 부적편포(negatively skewed distribution)하였으며, 용존산소 농도는 약한 수준으로 정적편포(positively skewed distribution)하였고, pH는 약한 정적편포를 보이면서 최빈구간의 첨두가 높았으며, 다른 수질항목의 농도는 모두 뚜렷하게 정적편포하였다(Fig. 1).

전기전도도에 대해서는 와이블>베타>>로지스틱, 정규, 일반지수, 감마, 대수정규, 로지스틱멱함수>굼벨>>역와이블 순으로 적합도가 높았다. 용존산소 농도에 대해서는 베타>>정규, 와이블>감마, 대수정규, 로지스틱, 굼벨, 로지스틱멱함수>일반지수, 역와이블 순으로 적합하였다. pH에 대한 적합도는 모든 모형에서 낮았으나 로지스틱멱함수 모형의 적합도가 상대적으로 높았다. 다른 수질항목의 농도에 대해서는 와이블$\approx$베타>감마>일반지수, 로지스틱, 정규, 대수정규, 굼벨>역와이블, 로지스틱멱함수 모형의 순으로 적합하였다. 여기에서 대칭형인 정규분포와 로지스틱분포는 기본모형이 아니라 절단분포모형으로 적용된 것이다.

Fig. 1. Probability mass function and the best-fit probability distribution for water quality items at Kyeongan B.

../../Resources/kswe/KSWE.2025.41.4.256/fig1-1.png../../Resources/kswe/KSWE.2025.41.4.256/fig1-2.png

Table 3 Significance probability ($p$-value) of $\chi^{2}$ test for probability distribution models based on parameter estimation methods

Model

Item

Period

GE

W

IW

N

LN

L

LP

GA

GU

B

LSE

BOD5

1

0.72

0.72

0.01

0.27

0.08

0.72

0.00

0.72

0.72

0.58

2

0.00

0.00

0.00

0.00

0.00

0.00

0.00

0.00

0.00

0.00

TOC

1

0.03

0.07

0.03

0.53

0.02

0.07

0.03

0.07

0.08

0.04

2

0.03

0.03

0.00

0.04

0.00

0.03

0.00

0.03

0.03

0.01

TN

1

0.01

0.01

0.00

0.02

0.00

0.02

0.00

0.01

0.01

0.00

2

0.13

0.20

0.05

0.39

0.10

0.15

0.00

0.24

0.09

0.16

TP

1

0.05

0.37

0.05

0.14

0.05

0.18

0.01

0.18

0.17

0.22

2

0.01

0.00

0.02

0.00

0.01

0.00

0.02

0.01

0.01

0.00

TSS

1

0.85

0.85

0.00

0.00

0.30

0.67

0.10

0.84

0.67

0.73

2

0.69

0.69

0.03

0.53

0.37

0.60

0.00

0.68

0.60

0.55

EC

1

0.00

0.15

0.00

0.00

0.00

0.00

0.00

0.00

0.00

0.10

2

0.00

0.43

0.00

0.00

0.00

0.00

0.00

0.00

0.00

0.12

DO

1

0.00

0.00

0.00

0.00

0.00

0.00

0.00

0.00

0.00

0.00

2

0.00

0.11

0.00

0.14

0.00

0.03

0.00

0.02

0.00

0.37

pH

1

0.00

0.00

0.00

0.00

0.00

0.00

0.00

0.00

0.00

0.00

2

0.00

0.00

0.00

0.00

0.00

0.00

0.00

0.00

0.00

0.00

MOM

BOD5

1

0.00

0.00

0.00

0.03

0.00

0.00

0.00

0.00

0.00

0.01

2

0.00

0.00

0.00

0.00

0.00

0.00

0.00

0.00

0.00

0.00

TOC

1

0.11

0.10

0.02

0.29

0.07

0.64

0.02

0.07

0.02

0.33

2

0.03

0.03

0.00

0.02

0.00

0.03

0.00

0.03

0.03

0.00

TN

1

0.00

0.00

0.00

0.00

0.00

0.00

0.00

0.00

0.00

0.02

2

0.00

0.06

0.00

0.08

0.00

0.00

0.00

0.00

0.00

0.24

TP

1

0.01

0.15

0.01

0.26

0.02

0.01

0.00

0.04

0.01

0.07

2

0.00

0.00

0.00

0.00

0.00

0.00

0.00

0.00

0.00

0.00

TSS

1

0.00

0.00

0.00

0.00

0.00

0.00

0.00

0.00

0.00

0.00

2

0.00

0.00

0.00

0.00

0.00

0.00

0.00

0.00

0.00

0.00

EC

1

0.00

0.02

0.00

0.00

0.00

0.00

0.00

0.00

0.00

0.01

2

0.00

0.26

0.00

0.00

0.00

0.00

0.00

0.00

0.00

0.03

DO

1

0.00

0.00

0.00

0.00

0.00

0.00

0.00

0.00

0.00

0.00

2

0.00

0.00

0.00

0.00

0.00

0.00

0.00

0.00

0.00

0.40

pH

1

0.00

0.00

0.00

0.00

0.00

0.00

0.00

0.00

0.00

0.00

2

0.00

0.00

0.00

0.00

0.00

0.00

0.00

0.00

0.00

0.00

MLE

BOD5

1

0.47

0.58

0.00

0.03

0.00

0.01

0.00

0.47

0.01

0.43

2

0.00

0.00

0.00

0.00

0.00

0.00

0.00

0.00

0.00

0.00

TOC

1

0.12

0.07

0.20

0.17

0.12

0.64

0.17

0.17

0.12

0.06

2

0.00

0.00

0.11

0.00

0.01

0.00

0.07

0.00

0.00

0.00

TN

1

0.00

0.00

0.02

0.00

0.03

0.00

0.02

0.00

0.00

0.00

2

0.01

0.06

0.00

0.00

0.00

0.00

0.00

0.03

0.00

0.06

TP

1

0.31

0.14

0.02

0.13

0.05

0.10

0.02

0.21

0.09

0.12

2

0.01

0.00

0.03

0.00

0.01

0.00

0.03

0.00

0.00

0.00

TSS

1

0.00

0.00

0.00

0.00

0.24

0.04

0.01

0.00

0.04

0.00

2

0.00

0.00

0.02

0.00

0.04

0.00

0.00

0.00

0.00

0.00

EC

1

0.00

0.01

0.00

0.00

0.00

0.00

0.00

0.00

0.00

0.01

2

0.00

0.10

0.00

0.00

0.00

0.00

0.00

0.00

0.00

0.04

DO

1

0.00

0.00

0.00

0.00

0.00

0.00

0.00

0.00

0.00

0.03

2

0.00

0.00

0.00

0.00

0.00

0.00

0.00

0.00

0.00

0.00

pH

1

0.00

0.00

0.00

0.00

0.00

0.00

0.00

0.00

0.00

0.00

2

0.00

0.00

0.00

0.00

0.00

0.00

0.00

0.00

0.00

0.00

GE: Generalized exponential, W: Weibull, IW: Inverse Weibull, N: Normal, LN: Lognormal, L: Logistic,

LP: Logistic power, GA: Gamma, GU: Gumbel, B: Beta

3.2 최적분포 모형의 확률분포

수질항목별로 가장 높은 적합도를 보이는 모형의 확률밀도함수와 빈도분석의 확률질량함수를 도시한 결과는 Fig. 1과 같다.

최적 모형은 수질항목별로 BOD5는 시기 1에서 이동일반지수분포, 시기 2에서 이동대수정규분포였다. TOC는 시기 1에서 양의 역치값을 가진 좌절단(left-truncated)로지스틱분포, 시기 2에서는 이동(shifted)감마분포였다. 총질소는 시기 1에서 이동대수정규분포, 시기 2에서 이동감마분포였다. 총인은 시기 1에서 양측절단베타분포, 시기 2에서 영절단로지스틱멱함수분포였다.

부적편포하는 전기전도도는 영절단와이블분포였고 양측절단베타분포 역시 높은 적합도를 보였다. 대칭형 또는 정적편포 유형인 기타 모형과 달리 와이블분포의 유연성(Choi, 2005)과 베타분포의 유연성(Arnold and Tony Ng, 2011)을 확인할 수 있었다. 약한 정적편포를 보이면서 최빈값의 첨두가 높은 pH는 이동로지스틱멱함수분포였고, 약한 정적편포를 보이는 용존산소는 양측절단베타분포였다. TSS는 시기 1에서 이동와이블분포, 시기 2에서 이동로지스틱멱함수분포였다.

기본모형을 적용한 기존 연구에서 주로 대수정규분포나 감마분포 또는 와이블분포가 적합하다는 결과가 보고되어 있지만(Jin et al., 2010; Jung et al., 2014; Kim and Ahn, 2009) 이동분포 또는 절단분포 모형을 적용하는 경우 수질항목에 따라 최적 모형이 다양하게 나타남을 확인할 수 있었다.

이상의 분석을 바탕으로 수질의 시기별 확률분포를 비교하여 도시한 결과는 Fig. 2와 같다. 시기 1에 비하여 시기 2에서 분포의 최빈구간과 산포정도가 뚜렷하게 감소한 수질항목은 총인이었으며 이는 하수처리장의 방류수 수질기준의 강화와 직접적인 관계가 있는 것으로 보인다. 그 외 총질소, BOD5, 총유기탄소의 순으로 최빈구간과 산포정도가 감소하였는데 이는 그간의 수질개선 대책의 시행 효과로 보인다.

시기 1에 비하여 시기 2에서 전기전도도, pH, 총부유물질, 용존산소는 산포 정도가 감소하였으며, 총부유물질 농도의 최빈구간은 다소 감소하였고 그 외 항목의 최빈구간은 다소 커졌는데 이는 시기 1에 비하여 시기 2에서 강우에 따른 고유량의 빈도가 낮아진데 원인이 있는 것으로 판단된다.

전기전도도와 pH 및 TSS 농도는 지질이나 강우 또는 삼림 피복도의 영향을 크게 받는다. 빗물의 전기전도도는 약 3∼50 $\mu$S/cm, pH는 4.1∼7.0의 범위로 알려져 있는데(Han et al., 2002), 이는 일반적인 지표수보다 현저히 낮은 수준이다. 빗물의 전기전도도가 지표수보다 낮은 이유는 지표면에서 유출되는 과정에 이온성 물질이 첨가되기 전인 상태이기 때문이며, pH가 낮은 이유는 대기 중의 이산화탄소에 의한 것이다. 따라서 큰비가 내려 유량이 증가할수록 전기전도도와 pH는 낮아지게 된다. 또한 과도한 토지이용으로 인위적인 교란이 큰 유역에서는 강우강도가 커질수록 토양의 유실이 증가하기 때문에 부유물질의 농도가 증가하게 된다. 따라서 이러한 수질항목의 시기별 변화를 해석하고자 할 때는 유량 의존성에 대한 사전검토가 필요하다.

경안B 지점에서 2005∼2023년의 기간 동안 전기전도도와 pH는 유량이 증가할 때 멱함수의 형태로 감소하였으며 유량이 200 m3/s 이상으로 증가할 때 전기전도도는 약 100 $\mu$S/cm, pH는 7.5 수준에 가까워졌다(Fig. 3). 이와 반면 유량이 증가할수록 총부유물질 농도는 멱함수 형태로 계속 증가하는 양상을 보였다.

이처럼 유량의존성이 높은 수질항목 값의 시기별 차이를 비교하기 위해서는 해당 시기의 유황을 검토하여야 한다. Fig. 4는 경안B 지점에서의 시기별 유량지속곡선(flow duration curve)을 비교한 것으로 고유량부터 40% 초과 유량 구간에서 시기 1에 비하여 시기 2의 유량이 낮았다. Y축이 로그 눈금 간격임을 감안할 때 시기 1에 비하여 시기 2의 고수위 기간 동안 유량은 현저히 낮았던 것이다. 이는 최근 기후변화에 따른 강우일수의 감소와 관련이 있는 것으로 보인다.

일반적으로 강우량은 정적편포하여 설계 강우량 산정을 위해 대수정규분포나 굼벨분포가 많이 적용되는데(Kim et al., 2021), 전기전도도는 강우에 의해 희석되기 때문에 그 분포가 유량분포와는 반대로 부적편포하는 것으로 해석된다. 시기 2의 전기전도도의 최빈구간은 시기 1에 비하여 커지고 변동은 작아졌다. 즉 시기 2에 강우 영향을 덜 빈번하게 받으면서 전기전도도가 상승한 것으로 추정되며 이러한 경향은 국내 여러 다른 하천에서도 나타날 수 있는 양상이다. 같은 이유로 시기 2의 pH의 최빈구간은 시기 1에 비하여 커지고 변동은 작아진 것으로 판단된다. 시기 2의 총부유물질 농도의 최빈구간은 시기 1과 큰 차이를 보이지 않았으나 평균과 변동은 크게 감소하였는데 이 역시 시기별 강우 양상의 차이에 따른 것으로 보인다.

용존산소 농도의 분포는 보다 복잡한 요인의 영향을 받는다. 경안B 지점에서 시기 2의 수온의 산술평균은 15.5oC로 시기 1의 14.5oC보다 높았다. 수온 차이만으로 볼 때는 시기 2의 용존산소 농도가 시기 1에 비하여 약간 낮은 수준을 보여야 하지만 확률분포에서 나타나는 시기 2의 용존산소 농도가 시기 1에 비하여 오히려 높았다. 이는 유량 감소에 따른 하상의 부착조류 증가와 관련이 있을 것으로 해석된다. 1기압의 조건에서 시기 1의 용존산소 포화도는 평균 104%였고 시기 2의 포화도는 108%로 계산되었는데, 이는 부착조류의 광합성 과정에서 생성되는 산소의 영향이 있음을 대변한다.

Fig. 2. Probability distribution of water quality according to periods.

../../Resources/kswe/KSWE.2025.41.4.256/fig2.png

Fig. 3. Relationship between electrical conductivity, pH, TSS, and flow rate from 2005 to 2023.

../../Resources/kswe/KSWE.2025.41.4.256/fig3.png

Fig. 4. Flow duration curve according to periods.

../../Resources/kswe/KSWE.2025.41.4.256/fig4.png

3.3 모형의 통계량

수질항목별로 최적의 적합도를 보이는 모형에서 도출된 통계량은 Table 4와 같다.

전기전도도와 pH의 최빈값(mode)은 시기 1에 비하여 시기 2에서 증가하였으며, 중앙값(median)과 평균값(mean)은 전기전도도와 pH 및 용존산소 모두 시기 1에 비하여 시기 2에서 증가하였다. 그 외 모든 수질항목은 시기 1에 비하여 시기 2에서 감소하였다. 표준편차(standard deviation)와 미분엔트로피(differential entropy)는 모든 수질항목에서 시기 1에 비하여 시기 2에서 감소하였다. 왜도(skewness)는 부적편포하는 전기전도도를 제외하곤 모두 양의 값으로 나타났으며 시기 간 차이는 수질항목별로 달랐다. 미분엔트로피로 판단할 때 수질분포의 불확실성이 시기 1에 비하여 시기 2에서 크게 낮아졌음을 알 수 있다.

이러한 시기별 변화의 주요 요인은 pH, 전기전도도, TSS, 용존산소의 경우 시기별 강우의 차이에 따른 것이며 다른 수질항목은 수질개선대책의 효과에 수반된 것으로 판단된다. 즉 BOD5, TOC, 총질소, 총인 농도는 그간의 수질오염총량관리 및 총인 방류수 기준강화를 통한 오염부하의 저감에 따라 감소한 것으로 보인다.

Table 4 Best-fit models, parameter estimation methods, and statistics

Item

Period

Models

Method

Mode

Median

Mean

Standard deviation

Skewness

Differential entropy

BOD5

(mg/L)

1

Generalized exponential (shifted)

LSE

0.75

2.49

3.30

2.58

2.03

1.93

2

Lognormal (shifted)

LSE

0.94

1.71

2.44

2.43

5.34

1.62

TOC

(mg/L)

1

Logistic (left-truncated)

MOM

3.17

3.61

3.84

1.41

1.10

1.63

2

Gamma (shifted)

MOM

2.53

3.10

3.37

1.12

1.49

0.80

TN

(mg/L)

1

Lognormal (shifted)

LSE

3.548

4.736

5.679

3.268

3.65

2.12

2

Gamma (shifted)

LSE

3.052

3.978

4.415

1.873

1.46

1.30

TP

(mg/L)

1

Beta (truncated)

LSE

0.125

0.196

0.216

0.109

0.82

-0.94

2

Logistic power (zero-truncated)

LSE

0.050

0.059

0.067

0.042

4.57

-2.02

TSS

(mg/L)

1

Weibull (shifted)

LSE

1.51

7.94

12.10

12.31

2.50

3.34

2

Generalized exponential (shifted)

LSE

2.45

7.19

9.40

7.74

1.86

3.12

EC

(mS/cm)

1

Weibull (zero-truncated)

LSE

0.386

0.360

0.348

0.107

-0.52

-0.85

2

Weibull (zero-truncated)

LSE

0.416

0.394

0.382

0.088

-0.74

-1.06

DO

(mg/L)

1

Beta (truncated)

LSE

10.15

10.69

10.81

2.72

0.16

2.37

2

Beta (truncated)

MOM

9.88

10.73

10.93

2.28

0.34

2.18

pH

1

Logistic power (shifted)

LSE

7.71

7.82

7.92

0.56

3.46

0.61

2

Logistic power (shifted)

MLE

7.97

8.03

8.08

0.39

1.75

0.36

3.4 수질의 유량 의존성

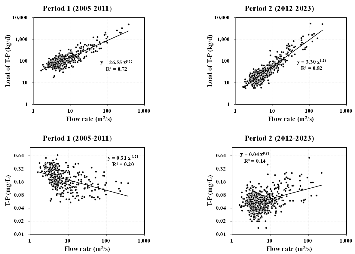
시기에 따른 수질변화와 함께 각 수질항목의 유량의존성도 변화되었다. 유량($Q$)과 부하량($L$)의 멱함수 관계($L=a Q^{b}$)에서 승수(exponent) $b$가 1보다 크면 유량증가 시 농도가 증가하고, 1보다 작으면 유량증가 시 농도가 감소한다. 전자는 점오염원보다 비점오염원의 영향이 상대적으로 커진 경우이고, 후자는 점오염원의 영향을 많이 받아 수질이 악화된 도시하천에서 강우로 유량이 증가하여 희석이 되는 경우에 해당된다. 경안B 지점에서 TOC를 제외한 모든 수질 항목에서 유량승수가 시기 2에서 시기 1에 비하여 커졌음을 확인할 수 있다(Table 5). TOC 농도는 시기 2에서 시기 1에 비하여 감소하기는 하였지만 그 정도가 현저하지 않았고 시기 1의 경우 유량-농도 간 유의성도 높지 않아 유량 승수의 변화가 뚜렷하지 않은 것으로 판단된다.

특히 총인의 유량승수는 시기 1에서 1보다 작았으나 시기 2에서는 1보다 커져 유량 증가 시 농도의 변화가 반대로 나타나는 경향을 보인다(Fig. 5). 인은 토양입자에 쉽게 흡착되어(Kim et al., 2019) 강우 시 토양입자와 함께 수체로 집중 유입되는 경향을 보이므로(Kim and Kim, 2004) 하수처리시설의 방류수 총인 농도의 저감 등을 통한 수질개선으로 점오염원에 비해 비점오염원의 수질영향이 상대적으로 커졌음을 의미한다.

Fig. 5. $L-Q$ and $C-Q$ relationship of total phosphorus according to periods.

../../Resources/kswe/KSWE.2025.41.4.256/fig5.png

Table 5 $L-Q$ and $C-Q$ equations according to periods

Item & Period

Load ($L=a Q^{b}$)

($L:$ton/d, $Q:m^{3}/s$)

Concentration ($C=a Q^{b}$)

($C:$mg/L, $Q:m^{3}/s$)

$a$ $b$ $r$ $a$ $b$ $r$

BOD5

1

0.34

0.79

0.76***

3.88

-0.21

0.30***

2

0.24

0.87

0.67***

2.80

-0.13

0.13**

TOC

1

0.35

0.94

0.94***

4.10

-0.06

0.18*

2

0.34

0.90

0.92***

3.88

-0.10

0.27***

TN

1

0.67

0.79

0.92***

7.75

-0.21

0.53***

2

0.42

0.90

0.89***

4.84

-0.10

0.20***

TP

1

0.027

0.76

0.85***

0.31

-0.24

0.44***

2

0.0033

1.23

0.90***

0.04

0.23

0.37***

*: $p<0.05$, **: $p<0.01$, ***: $p<0.001$

4. Conclusion

수도권 상수원인 팔당호로 유입되는 경안천에 위치한 오염총량관리 단위유역 목표지점(경안B 말단지점)의 시기별 수질을 10가지 확률분포모형(일반지수, 와이블, 역와이블, 정규, 대수정규, 로지스틱, 로지스틱멱함수, 감마, 굼벨, 베타)의 이동 및 절단형으로 구분하여 분석한 결과 다음과 같은 결론을 얻었다.

모델인자의 추정법 중 최소제곱추정법이 모멘트법이나 최대가능도추정법에 비하여 더 높은 적합도를 보였으며 Anderson-Darling 검정, $\chi^{2}$ 검정, Kolmogorov-Smirnov 검정의 순으로 엄격한 결과를 보였다.

부적편포를 하는 전기전도도는 유연성이 큰 영절단와이블분포나 양측절단베타분포, 약한 정적편포를 보이는 용존산소는 양측절단베타분포, 약한 정적편포를 보이면서 최빈값의 첨두가 높은 pH는 이동로지스틱멱함수분포로 해석하는 것이 적합하였다. 그 외 뚜렷하게 정적편포하는 BOD5는 이동일반지수분포 또는 이동대수정규분포, TOC는 좌절단로지스틱분포나 이동감마분포, 총질소는 이동대수정규분포나 이동감마분포였다. 총인은 양측절단베타분포나 영절단로지스틱멱함수분포, TSS는 이동와이블분포나 이동로지스틱멱함수분포가 적합하였다.

오염총량관리가 시작된 직후인 2005년부터 2011년까지를 1기, 수질개선이 안정적으로 이루어지고 하수처리장의 총인 방류수 수질기준이 강화된 2012년부터 2023년까지를 2기로 나누었을 때, 전기전도도와 pH 및 용존산소의 중앙값과 평균값 및 표준편차와 미분엔트로피는 시기 1보다 시기 2에서 증가하였고, 그 외 모든 항목은 시기 2에서 감소하였다.

이러한 시기별 변화의 주요 요인은 pH, 전기전도도, TSS, 용존산소의 경우 시기별 강우의 차이에 따른 것이며 다른 수질항목은 수질개선대책의 효과에 수반된 것으로 판단된다. 특히 2012년 하수처리시설의 방류수 수질기준이 강화된 이후 총인 농도가 뚜렷하게 감소하였으며 그 결과 총인농도의 유량의존성이 크게 변화된 것을 확인할 수 있었다.

References

1 
Arnold, B. C. and Tony Ng, H. K. T. (2011). Flexible bivariate beta distributions, Journal of Multivariate Analysis, 102(8), 1194-1202. https://doi.org/10.1016/j.jmva.2011.04.001DOI
2 
Choi, S. W. (2005). Implementation of reliability measure and distribution, Journal of Korea Safety Management & Science, 7(5), 175-184.Google Search
3 
Han, J. W., Kwon, H. H., and Kim, T. W. (2009). Reliability evaluation of parameter estimation methods of probability density function for estimating probability rainfalls, Journal of The Korean Society of Hazard Mitigation, 9(6), 143-151.Google Search
4 
Han, M. Y., Lee, I. R., Kim, M. H., and Kim, Y. J. (2002). A study on pH and electrical conductivity of harvested rainwater in Seoul, Journal of the Korean Society of Water and Wastewater, 16(1), 80-86.Google Search
5 
Jin, S. H., Jung, J. W., Yoon, K. S., Choi, W. J., Choi, D. H., Kim, S. D., Kang, J. H., and Choi, Y. J. (2010). Probability distribution of BOD EMC from paddy fields, Journal of the Environmental Sciences, 19(9), 1153-1159. [Korean Literature] https://doi.org/10.5322/JES.2010.19.9.1153DOI
6 
Jung, B. and Kong, D. (2023). Estimation on chemical water quality suitability index for 4 species of the Mayfly Genus Ephemera (Ephemeroptera: Ephemeridae) using probability distribution models, Journal of Korean Society on Water Environment, 31(2), 142-150. [Korean Literature] https://doi.org/10.15681/KSWE.2023.39.6.475DOI
7 
Jung, J. W., Choi, D. H., and Yoon, K. S. (2014). Selecting probability distribution of event mean concentrations from paddy fields, Journal of Environmental Impact Assessment, 23(4), 285-295. [Korean Literature] https://doi.org/10.14249/eia.2014.23.4.285DOI
8 
Kim, B. C. and Kim, Y. H. (2004). Phosphorus cycle in a deep reservoir in Asian Monsoon Area (Lake Soyang, Korea) and the modeling with a 2-D hydrodynamic water quality model [CE-QUAL-W2], Journal of Ecology and Environment, 37(2), 205-212. [Korean Literature]Google Search
9 
Kim, K. S. (2019). Analysis of water-quality constituents variations before and after weir construction in South Han River using probability distribution, Journal of Korean Society on Water Environment, 35(1), 55-63. [Korean Literature] https://doi.org/10.15681/KSWE.2019.35.1.55DOI
10 
Kim, K. S. and Ahn, T. (2009). Characteristics of probability distribution of BOD concentration in Anseong stream watershed, Journal of Korean Society on Water Environment, 25(3), 425-431. [Korean Literature]Google Search
11 
Kim, K., Jun, S. M., Jang, J., Song, I., Kang, M. S., and Choi, J. Y. (2021). Evaluation of parameter estimation method for design rainfall estimation, The Korean Society Of Agricultural Engineers, 63(4), 87-96. [Korean Literature] https://doi.org/10.5389/KSAE.2021.63.4.087DOI
12 
Kim, M. S., Park, C. H., Lee C. H., Yun, S. G., Ko, B. G., and Yang, J. E., (2019). Characteristics of phosphorus adsorption of acidic, calcareous, and plastic film house soils, Korean Journal of Soil Science and Fertilizer, 49(6), 789-794. [Korean Literature] https://doi.org/10.7745/KJSSF.2016.49.6.784DOI
13 
Kong, D. (2019). Statistical analysis on water quality characteristics of large lakes in Korea, Journal of Korean Society on Water Environment, 35(2), 165-180. [Korean Literature] https://doi.org/10.15681/KSWE.2019.35.2.165DOI
14 
Kong, D. and Kim, A. R. (2015). Analysis on the relationship between biological indices and survey area of benthic macroinvertebrates using mathematical model, Journal of Korean Society on Water Environment, 31(6), 610-618. [Korean Literature] https://doi.org/10.15681/KSWE.2015.31.6.610DOI
15 
Kong, D., Kwon Y., Kim, Y. J., Kim, M. C., Jun, Y. C., Kwon, S. J., and Jeon, Y. L. (2025). Analysis on the species-area relationship of benthic macroinvertebrates using probability distribution models, Journal of Korean Society on Water Environment, 41(3), 199-213. [Korean Literature] https://doi.org/10.15681/KSWE.2025.41.3.199DOI
16 
Kong, D., Min, J. K., and Noh, S. Y. (2018). Development of simple benthic macroinvertebrates index (SBMI) for biological assessment on stream environment, Journal of Korean Society on Water Environment, 34(5), 514-536. [Korean Literature] https://doi.org/10.15681/KSWE.2018.34.5.514DOI
17 
Sturges, H. A. (1926). The choice of a class interval, Journal of the American Statistical Association, 21(153), 65–66. https://doi.org/10.1080/01621459.1926.10502161DOI
18 
Weibull, W. (1951). A statistical distribution function of wide applicability, Journal of Applied Mathematics, 18, 293-296.Google Search

Appendix 1. Cumulative distribution function (CDF), probability density function (PDF), and quantiles of probability distribution models.

Appendix 2. Mode, mean, variance, skewness, and differential entropy of probability distribution models