김현중
(Hyunjung Kim)
1aiD
김이중
(Ijung Kim)
1b†iD
-
홍익대학교 건설환경공학과
(Department of Civil and Environmental Engineering, Hongik University)
Copyright © KOREAN SOCIETY ON WATER ENVIRONMENT
Key words
Blast furnace slag, Catechin, Disinfection, Green tea extract, Induction heating
1. Introduction
기후 변화의 심화, 급속한 도시화, 인구 밀집의 증가, 산업화의 가속화 등 다양한 환경적⋅사회적 요인이 복합적으로 작용하면서 환경 오염 문제가 전
지구적으로 대두되고 있다. 특히, 생활하수, 산업폐수, 축산폐수 등에서 유래하는 유기물과 병원성 미생물들이 하천, 저수지, 지하수 등 수자원에 유입되면서,
수인성 감염병의 발병 빈도가 꾸준히 증가하는 추세이다(Bell et al., 2021; WHO, 2023). 대표적으로 대장균, 살모넬라균, 노로바이러스와 같은 병원성 세균과 바이러스는 인간의 소화기계에 감염을 유발하고, 심한 경우 탈수, 패혈증, 장출혈
및 심각한 합병증으로 이어질 수 있다. 이러한 병원성 미생물은 소량의 접촉만으로도 감염이 발생할 수 있으며, 특히 노인, 영유아, 면역저하 환자 등
면역 취약 계층에게는 생명을 위협하는 중증 질환으로 이어질 가능성이 높다(Castro-Hermida et al., 2009). 감염병 확산에 따른 사회적 비용은 막대한 의료비 증가뿐 아니라 생산성 저하, 지역경제 위축, 물 산업 전반에 대한 신뢰 하락으로 이어질 수 있어
지속 가능한 물 관리 체계 구축이 필요한 실정이다.
이러한 공중 보건 위협에 대응하기 위해, 염소 소독, 자외선(UV) 조사, 오존 처리 등 다양한 소독 기술이 사용되고 있다. 기존에 사용되어 온 소독
기술들은 살균력이 검증되어 있지만, 환경적⋅경제적 한계 또한 존재한다. 예를 들어, 염소 소독의 경우 물속 유기물과 반응하여 트리할로메탄(trihalomethanes,
THMs)이나 할로아세트산(haloacetic acids, HAAs)과 같은 발암성 부산물을 생성하여 체내 축적 및 만성 독성 작용을 유발할 수 있다(Peng et al., 2020; Richardson and Ternes, 2018). 실제로 팔당호 상수원 유입수 내 난분해성 유기물질이 증가함에 따라 THMs 생성이 2∼3배 이상 증가할 수 있으며(Kang and Kil, 2023), 낙동강 수계를 원수로 사용하는 정수장에서는 여름철 수도꼭지 시료에서 THMs 농도가 0.079-0.128mg/L로 나타나 법정 수질 기준(0.1mg/L)을
초과하기도 하였다(Wang et al., 2025). 자외선 조사는 살균 효과가 우수하고 화학적 잔류물이 남지 않는 장점이 있으나, 탁도가 높은 수질에서는 UV의 침투력이 급격히 감소하여 소독 효율이
크게 저하될 수 있으며, 고출력 UV 장비의 설치와 유지관리에 상당한 에너지 비용이 수반된다는 단점이 있다(Hijnen et al., 2006). 오존 소독은 강력한 산화력을 통해 다양한 병원성 미생물을 제거할 수 있으나, 오존 자체가 인체에 유해한 고반응성 물질이며, 오존 생성을 위한 고가의
오존 발생 장치가 필수적이고, 물속에서 반응 후에는 잔류하지 않아 지속적인 살균 효과를 유지하기 어렵다. 수중 브롬이 존재할 경우 브롬산염(BrO₃-)과
같은 유해 산화 부산물이 생성될 수 있으며, 이는 발암 가능성이 있는 물질로 분류된다(von Gunten, 2003). 따라서 이와 같은 문제를 해결할 수 있는 지속 가능하고, 친환경적인 소독 대체 기술 개발이 필요하다.
현행 소독 기술의 대안으로 유도가열을 생각해 볼 수 있는데, 유도가열은 고주파 자기장을 통해 자성 물질 내부에 유도 전류(와전류)를 발생시켜 열을
생성하는 원리로 작동하며, 외부에서 직접 열을 전달하는 방식과 달리, 물질 내 발열을 통해 국소적이며 신속한 가열이 가능하다는 장점이 있다(Lucia et al., 2013; Zhou et al., 2020). 또한 열 손실이 적고, 비접촉 방식으로 특정 매질 또는 위치에 선택적으로 열을 집중시킬 수 있어 공정의 효율성이 높다(Cui et al., 2023). 유도가열 기술은 이미 의료 분야에서는 암세포 선택적 치료용으로, 산업 분야에서는 금속 표면 처리 및 열간 가공 등에서 활용되고 있으며, 최근 들어
환경 공정에서도 폐수 중 병원균 불활성화, 유기물 분해 가속화 등에 대한 적용 가능성이 활발히 탐색되고 있다(Tatarchuk et al., 2024; Yu et al., 2022).
유도가열 공정에 적용되는 자성 매체는 기술의 핵심 요소로, 일반적으로 산화철 계열 화합물, 금속 기반 자성나노물질 등이 사용되어 왔는데, 생산비용이
높거나 제조 공정이 복잡하여 실제 환경 분야 적용에는 제약이 따른다. 이에 따라 산업 부산물 중 자성 특성을 지닌 폐기물을 유도가열 매체로 활용할
필요가 있으며, 대표적인 예로 철강산업에서 발생하는 고로슬래그(blast furnace slag, BFS)를 생각해 볼 수 있다. 고로슬래그는 제철
공정에서 생성되는 대량의 부산물로, 높은 철 함량으로 인해 유도가열에 적용할 수 있는 잠재력이 충분하다(Kim et al., 2021). 또한, 고형 폐기물의 재활용을 통해 환경 부담을 줄이고, 폐기물 처리 비용을 절감할 수 있다는 점에서 자원순환형 소독 공정의 기반 소재로서 높은
활용 가능성을 갖는다(Bhuyan et al., 2022).
천연물질 유래 항균성분 또한 최근 지속 가능한 소독 공정의 소재로 주목을 받고 있다(Ravishankar, 2018). 이들 중에서도 녹차 추출물(green tea extract)은 항산화 및 항균 활성이 매우 뛰어난 대표적 천연 물질로, 카테킨(catechin)
계열 성분이 풍부하게 함유되어 있다(Choi et al., 2005). 카테킨은 세포막에 침투하여 지질을 파괴하거나, DNA 복제 및 단백질 합성을 억제하는 방식으로 미생물 증식을 저해하며(Taylor et al., 2005), 특히 항생제 내성균에 대해서도 활성이 보고되어 있어 대체 항균물질로서의 가치가 뛰어나다(Nazzaro et al., 2013). 또한, 녹차 유래 항균 성분은 생분해성이 뛰어나며 인체 독성이 낮아, 기존 화학 소독제 대비 환경 부담이 적고, 유기농 환경이나 음료 및 식품
등 다양한 분야에서 응용이 가능하다는 장점을 지닌다(Friedman, 2007; Ravishankar, 2018). 그러나 지금까지의 연구는 대부분 의약⋅생활 위생 분야의 항균 효과에 국한되어 있으며, 녹차 추출물인 카테킨 성분을 직접적으로 수처리 공정이나 환경
살균 시스템에 적용한 사례는 극히 제한적이다. 이에 본 연구에서는 자원순환 관점에서 고로슬래그를 유도가열 매체로 활용하고 천연 항균성분을 함유한 녹차추출물을
적용하여 수중 대장균에 대한 친환경적인 살균 효과를 평가하였다.
2. Materials and Methods
2.1 재료
본 연구에서 사용한 고로슬래그는 철강 제조공정 중 발생한 용융된 제강슬래그를 급속 냉각시켜 제조한 것으로 안정화된 구형의 형상을 하고 있으며 Al2O3, Fe2O3, TiO2 등 자성 특성을 갖는 물질들로 구성되어 있어 유도가열 반응 매체로 적합하다. 실험에 사용된 고로슬래그는 실험실 내에서 120°C 조건의 고압증기멸균기(autoclave)에서
15분간 멸균한 뒤 105°C에서 12시간 동안 열풍 건조하여 사용하였다. 녹차추출물은 유기농 인증을 받은 고형 녹차 분말을 추출하여 사용하였다.
항균 실험에 사용된 미생물은 병원성이 없어 실험실 내에서 취급이 안전한 대장균 K-12 strain (Biosafety Level 1)를 사용하였다.
실험에 사용된 비커, 유리병, 피펫팁, 시험관 등 모든 실험 도구는 사전 오염 방지를 위하여 사용 전 고압증기멸균기(120°C, 15분)를 통해 멸균
처리 후 사용하였다.
2.2 대장균 배양
본 연구에서 살균 효과를 정량적으로 평가하기 위한 기준 대장균 배양을 Fig. 1과 같이 수행하였다. 먼저, 10 mL의 멸균 증류수에 Luria-Bertani (LB) 배지 0.2 g을 첨가하여 삼각 플라스크 내에서 균일하게
용해될 때까지 교반하였다. LB 배지는 대장균을 포함한 일반적인 장내세균의 배양에 최적화된 배지로, 영양분 공급과 신속한 배양을 유도하기 위해 사용되었다.
이후, LB 배지 용액 7 mL를 멸균 시험관에 투입 후 고압증기멸균기를 이용해 15분간 멸균하였다. 멸균 후 냉각된 배양액에 0.01 mL의 대장균
균주를 주입하였다. 균주는 냉장 보관된 스톡으로부터 희석된 상태로 사용하였다. 주입한 시료는 최적 생장 온도인 35°C로 설정된 진탕배양기에 넣어
120 rpm 조건에서 최소 8시간 이상 배양하여 안정적인 대장균 수를 확보하였다. 배양 종료 후, 시험관 내 배양액을 원심분리기를 이용하여 5000
rpm에서 10분간 원심분리하여 균체를 침전시킨 후 상등액은 폐기하고, 침전된 대장균에 인산염 완충 식염수(phosphate-buffered saline,
PBS) 50 mL를 투입하여 교반하였다. PBS는 균체의 구조적 안정성을 유지하면서도 세포막 파괴를 방지할 수 있는 완충 용액으로, 이후 항균 실험에서
적정한 농도의 미생물 용액을 확보하기 위해 사용되었다. 대장균과 PBS 혼합액은 볼텍스 교반기를 이용하여 충분히 혼합함으로써 미생물 분산 상태를 균일하게
유지하였으며, 해당 대장균 시료는 유도가열, 디스크 확산법 및 항균 실험에 적합한 농도로 희석하여 사용하였다.
Fig. 1. Schematic illustration of the E. coli cultivation procedure.
2.3 녹차추출 및 카테킨 분석
원재료인 녹차잎은 75 μm 체를 통과한 입자들로 선별한 후, 70% 메탄올을 용매로 사용하여 30°C에서 1시간 동안 저온 추출을 수행하였다. 추출용액은
60°C에서 24시간 건조시켜 잔여 용매를 증발시킨 후, 2차 체거름을 통해 75 μm 이하로 입자 크기를 선별하였으며, 이를 다양한 농도로 제조하여
항균 성능 평가에 사용하였다.
녹차 추출물 내 주요 항균 성분인 카테킨(Catechin)의 정량 분석은 바닐린-황산(Vanillin-H₂SO₄) 반응법으로 수행하였다(He et al., 2009). 우선, 녹차 추출 시료에 70% 메탄올 용액 10mL을 넣어 녹차 추출액을 제조한 후, 발색 반응을 위한 황산-바닐린 혼합용액을 녹차 추출액 2mL,
1% 황산-바닐린 시약 6.5mL, 증류수 1.5mL로 혼합하여 준비하였다. 황산-바닐린 시약은 급격한 반응 및 용액 분산을 방지하기 위해 점진적으로
첨가하였으며, 혼합 시 30초간 교반을 통해 반응성을 균일하게 확보하였다. 혼합 후 해당 용액을 실온에서 15분간 안정화시킨 뒤, 추가적으로 30초간
교반을 실시하였다. 발색 반응이 완료된 용액은 분광광도계(UV-Vis spectrophotometer, UV5) 파장 500nm에서 흡광도를 측정하였다.
카테킨 농도는 Fig. 2와 같이 표준 검량선을 활용하여 정량하였으며, 분석 결과는 녹차 추출물 내 카테킨 함량의 기초 자료로 활용하였다.
Fig. 2. Calibration curve for tea extract solution.
2.4 유도가열 시스템 구성 및 온도 측정 방법
유도가열 실험에 사용한 장비는 OSH-120 모델의 RF 유도가열장치(51.0V, 6.0A, 출력 주파수 460kHz)로, 금속성 소재 및 자성 입자에
신속하게 열에너지를 발생시킬 수 있는 고주파 인덕터를 포함하고 있다. 유도 코일의 중심에는 내열 유리병을 수직 고정하였으며, 병 내부에 고로슬래그와
대장균 용액을 함께 혼합하여 실험을 진행하였다(Fig. 3). 다양한 고로슬래그 투입량(0, 2, 4, 6, 8, 10g)과 용액 부피(10, 20, 40mL) 조건에서 실험을 진행하였으며, 각 조건에서의
발열 및 소독 효과를 비교하였다. 온도 측정은 비접촉식 적외선 온도계를 이용해 병 중심부 용액 표면 온도를 30초 간격으로 총 10분 동안 측정하였으며,
소독 효과와의 연계성을 살펴보았다.
Fig. 3. Schematic illustration of the induction heating setup.
2.5 디스크 확산법을 통한 항균효과 평가
디스크 확산법(disc diffusion method)은 녹차 추출물의 항균 효과를 분석하기 위해 Fig. 4와 같이 수행하였다. 실험에 사용된 녹차 추출물은 폴리페놀 성분이 다량 함유되어 있어 친수성이 낮고 물에 잘 분산되지 않는 특성을 가진다. 이에,
녹차 추출물을 용해시키기 위해 천연 계면활성제인 사포닌(saponin)을 보조제로 사용하였다. 사포닌은 Sapindus mukorossi 열매로부터
직접 추출하였으며, 추출에는 환류 추출법을 사용하였다(Hu et al., 2018). 추출한 사포닌 4.4 g을 증류수 150 mL와 12시간 교반한 후, 해당 용액 100 mL에 녹차 추출물을 0∼6 g의 범위에서 첨가하여 12시간을
추가 교반하였다. 제조된 복합 시료 0.05 mL를 멸균된 직경 8 mm 종이 디스크에 도포한 후, LB 배지 표면에 고르게 배치하였다(Ohmori et al., 1999). 이후, 35°C 항온 배양기에서 12시간 배양 후, 각 디스크 주변에 형성된 저해환(inhibition zone) 직경을 ImageJ 프로그램을
활용하여 측정하였다. 녹차 추출물의 농도에 따른 항균 효과를 분석하기 위해 각 조건별(녹차 추출물 농도 0-0.06 g/mL)로 5회 이상 실험을
반복하였다.
Fig. 4. Schematic illustration of the disk diffusion test.(Dotted red circles indicate
the inhibition zone.)
2.6 회분식 실험 수행
시간에 따른 녹차 추출물의 항균 효과를 분석하기 위해 회분식 실험을 수행하였다. 실험군은 (1) 사포닌 용액(0.03 g/mL), (2) 녹차 추출물(0.06
g/mL) 2가지로 진행하였으며, 실험에 사용된 대장균은 앞서 언급한 LB 배지에서 배양하여 사용하였고, 각 실험에 사용된 용액에 1 mL씩 혼합하여
104 CFU/mL으로 희석되도록 하였다. 각 실험에서는 50 mL 혼합시료를 35°C 진탕 배양기에서 120 rpm으로 배양하였으며, 0, 1,
3, 5 시간에서 각각 시료를 채취하였다. 각 시료는 연속 희석 후 LB 배지에 도말하여 35°C에서 24시간 배양하였고, 배양 후 형성된 군집수(colony
forming units, CFU)를 계수하여 대장균의 저해 효과를 분석하였다.
3. Results and Discussion
3.1 고로슬래그를 이용한 유도가열 소독
3.1.1 고로슬래그 투입량에 따른 영향
유도가열 매체로 사용된 고로슬래그의 투입량을 0 g부터 10 g까지 변화시키며 유도가열 실험을 수행한 결과, 고로슬래그의 투입량에 따라 온도 상승
곡선이 뚜렷한 차이를 보이는 경향을 나타내었다(Fig. 5). 고로슬래그가 투입되지 않은 경우에는 유도 가열 후 10분이 지나도 주변 온도와 유사한 수준인 20°C로 유지되었다. 반면, 고로슬래그를 6 g
이상 투입한 경우, 뚜렷한 온도 상승이 발생하였다. 예를 들어, 6 g 조건에서는 유도가열 10분 후 34.2°C까지 온도가 상승하였고, 고로슬래그의
10 g 조건에서는 온도가 48.2°C까지 도달하여 가장 높은 발열 효과를 보였다. 고로슬래그의 투입량 증가에 따라 온도 상승률 및 최종 온도 모두
선형에 가까운 상관관계를 나타내었으며, 이는 유도발열 효율에 영향을 미치는 주요 인자임을 나타낸다(Table 1).
온도 상승 결과는 살균 효과와도 일관된 경향을 나타내었다. 고로슬래그 6 g 조건에서 약 99.79%의 대장균 제거율이 확인되었고, 8 g 및 10
g 조건에서는 100%의 멸균 효과를 나타내었다. 이는 유도발열 반응을 통해 살균 유효 온도 조건을 구현하는 핵심 매체로 고로슬래그와 같은 폐기물을
재활용될 수 있음을 보여준다. 대장균의 생육이 억제되는 임계 온도인 40°C 이상에서는 대사 효소의 비활성화와 단백질 변성이 시작되어 살균 활성이
본격적으로 나타나는 것으로 알려져 있다(Fotadar et al., 2005). 본 실험에서는 고로슬래그 6 g 이상 투입 조건에서 이러한 비활성 온도대에 도달하였으며, 실제로 99% 이상의 높은 대장균 제거율이 확인되었다.
한편, 고로슬래그 2 g 또는 4 g 조건에서는 30°C를 초과하지 않는 상대적으로 낮은 온도 상승이 나타나 대장균 제거율 역시 저조하게 나타났다.
이는 유도발열 반응을 통한 살균 공정 설계시 일정 수준 이상의 자성 물질 투입량을 공급하여 대상 미생물군의 생육을 억제할 수 있는 온도에 도달하는
것이 필수적임을 의미한다.
Fig. 5. Trend of temperature change based on BFS amount.
Table 1 Effect of BFS amount on E. coli removal efficiency
|
BFS amount
(g)
|
Temperature at
10 min (°C)
|
Temperature rise rate
(°C/min)
|
% removal
(log removal)
|
|
0
|
20.7
|
-
|
0
(0)
|
|
2
|
25.7
|
0.56
|
14.18
(0.06)
|
|
4
|
27.6
|
0.77
|
21.74
(0.10)
|
|
6
|
34.2
|
1.32
|
99.79
(2.68)
|
|
8
|
40.1
|
1.9
|
100
(N.A.*)
|
|
10
|
48.2
|
2.75
|
100
(N.A.*)
|
*N.A.: Not available
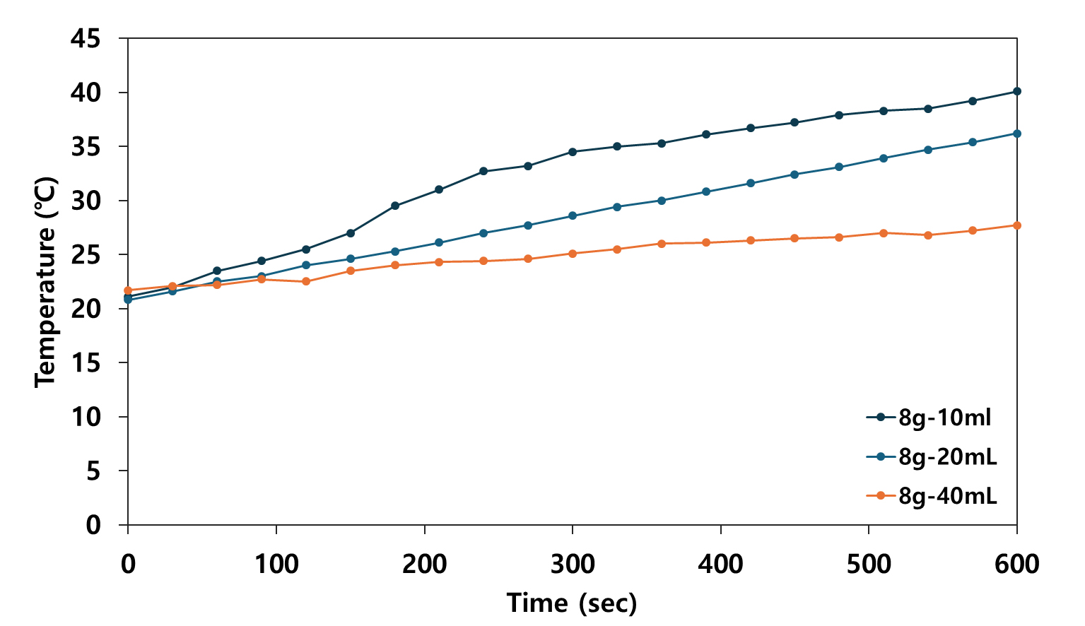
3.1.2 처리대상 용액 부피에 따른 영향
고로슬래그 투입량을 8 g으로 고정한 상태에서 처리 대상 용액의 부피를 10, 20, 40 mL로 변화시키며 발열 효율 및 최종 온도 도달 성능을
분석한 결과, 처리 용액 부피가 작을수록 발열 반응이 빠르게 진행되어, 온도 상승률을 높은 것으로 나타났다(Fig. 6).
10 mL 조건에서는 유도 가열 시작 약 3분 이내에 10°C 이상의 온도 상승이 확인되었으며, 10분 경과 시점에는 40.1°C까지 도달하여 최대
온도 상승 효율을 기록하였다. 반면, 처리 용액 부피가 증가할수록 10분 후 도달 온도는 점차 낮아지는 경향을 보였으며, 10 mL 처리 조건에서는
대장균이 완전히 사멸된 반면, 40 mL의 경우에는 25.51%의 제거율을 보였다(Table 2). 이는 동일한 열원 공급 조건에서도 처리 대상 시료의 부피가 증가할수록 단위 질량당 흡수되는 열에너지가 감소하게 되어, 대상 시료의 부피 대비
고로슬래그의 투입 비율이 살균 효율에 미치는 중요한 인자임을 의미한다.
Fig. 6. Trend of temperature change based on solution volume.
Table 2 Effect of solution volume on E. coli removal efficiency
|
Solution volume
(mL)
|
Temperature at
10 min (°C)
|
Temperature rise rate
(°C/min)
|
% removal
(log removal)
|
|
10
|
40.1
|
1.9
|
100
(N.A.*)
|
|
20
|
37.5
|
1.65
|
99.86
(2.87)
|
|
40
|
27.7
|
0.6
|
25.51
(0.12)
|
*N.A.: Not available
3.1.3 고로슬래그 재사용성 평가
고로슬래그의 반복 사용에 따른 발열 특성과 살균 효과의 지속성을 평가하기 위해 동일한 고로슬래그 10g을 반복적으로 사용하여 총 5회 유도가열을 수행하였다.
그 결과, Fig. 7에 나타난 바와 같이 재사용 횟수에 관계없이 온도 상승 곡선은 거의 변화가 없었으며, 대장균에 대한 살균 효과도 반복적으로 유지되었다. 이는 고로슬래그가
반복적인 사용에도 우수한 내구성을 유지할 수 있는 유도 발열 소재임을 나타내며, 유도가열 방식에서의 소재 수명 연장을 통해 유지 관리 비용 절감에
기여할 수 있을 것으로 판단된다.
Fig. 7. Temperature change by repeated use of BFS.
3.2 녹차추출물을 이용한 소독능 평가
3.2.1 저해환 평가
카테킨을 포함한 녹차 추출물의 농도에 따른 항균 활성을 디스크 확산법으로 평가한 결과, 추출물 농도의 증가에 따라 대장균에 대한 저해환 직경이 뚜렷하게
증가하는 경향을 보였다(Fig. 8). 항균 활성은 0.0038 g/mL 이상의 녹차추출물 농도에서 유효하게 나타났으며, 그 이하의 농도에서는 효과가 급격히 감소하였다.
카테킨인 일종인 epigallocatechin gallate(EGCG)는 0.05–0.1g/mL 범위에서 대장균에 대해 강력한 저해환을 형성하는데(Sejal and Manita, 2015), 이는 EGCG가 세포막에 직접 작용하여 투과성을 증가시키고, 세포 내 구조물 손상을 유도하거나(Jeon et al., 2014) EGCG가 세포 내 단백질과 효소에 작용하여 활성산소의 생성을 유도하고 미생물의 대사 경로를 차단하기 때문이다(Friedman, 2007).
Fig. 9에 나타난 바와 같이, 사포닌을 단독으로 사용한 경우 총 5개의 디스크 중 1개에서만 약 0.31mm 크기의 저해환이 관찰되었으며, 나머지 디스크에서는
유의미한 항균 활성이 나타나지 않았다. 반면, 녹차 추출물을 적용한 경우 모든 디스크에서 평균 0.51 mm 크기의 저해환이 형성되었으며, 이는 추출물
내 항균 성분이 확산되어 세균에 작용하였음을 나타낸다. 이러한 결과는 사포닌과의 함께 적용할 경우 항균 물질의 확산성이 향상되고, 효과적인 저해 반응을
유도할 수 있는 것으로 판단되며, 녹차 유래 천연 항균 소재의 개발 및 응용에 있어 중요한 설계 요소로 활용될 수 있음을 시사한다.
Fig. 8. Effect of tea extract concentration on inhibition zone diameter.
3.2.2 회분식 실험을 통한 소독능 평가
추가로 수행한 회분식 실험을 통해 시간 경과에 따른 살균 효과를 분석한 결과, 0.06 g/mL 농도의 녹차 추출물을 적용한 경우 실험 시작 1시간
이내에 대장균의 로그제거율이 약 1.64(99.49% 제거율)로 나타났다. 이는 녹차 추출물의 강력한 살균 특성을 보여주는 결과로 이후 5시간 경과
시점에는 로그제거율이 2.87(99.82% 제거율)까지 도달하였다(Fig. 10). 한편, 동일한 조건에서 사포닌 단독으로 적용한 경우 실험 시작 1시간 이내에는 뚜렷한 살균 효과가 나타나지 않았으며, 약 3시간 경과 후부터
점진적인 대장균 농도 감소가 나타나, 5시간 후 로그제거율 2.3(99.49% 제거율)에 도달하였다. 녹차 추출물은 세포막 파괴, 효소 저해, 활성산소
생성(Friedman, 2007) 등을 통해 즉각적인 항균 반응을 유도하는 반면, 사포닌은 세포막의 투과성을 일시적으로 증가시켜 항균 활성 성분이 세균 내부로 보다 효율적으로 침투할
수 있도록 도와주며, 자체적인 살균력보다는 표면 장력 감소(Sparg et al., 2004), 약물 전달 보조(Francis et al., 2002) 등의 역할을 수행한다. 사포닌이 단독으로 적용할 경우 항균 활성이 낮으나, 다른 항균 성분과 병용 시 항균 효과가 증대될 수 있음을 시사한다.
본 연구에서 제안한 고로슬래그 기반 유도가열 기술과 녹차 추출물의 소독법은 폐기물을 활용한다는 점에서 자원순환성과 지속가능성이 높아 기존 소독 방법과
차별적인 환경적 가치를 지닌다(Table 3). 일반적으로 염소 소독은 저비용으로 광범위한 적용이 가능하다는 장점이 있으나, 발암성 물질의 생성 위험이 있다. UV 소독은 잔류물이 없다는 장점에도
불구하고 탁도에 따라 소독 효율이 저하되는 한계를 가진다. 오존 소독은 강력한 산화력을 기반으로 우수한 소독 성능을 나타내지만, 고비용의 장비와 안전성
문제가 동반된다. 이에 비해, 고로슬래그 기반 유도가열 기술은 대장균에 대해 99.9% 이상의 높은 제거 효율을 보이며, 반복 사용 시에도 성능 저하가
나타나지 않았다. 또한, 녹차 추출물은 신속하고 안정적인 항균 반응성을 나타내어 소독제로서의 가능성을 입증하였다. 이러한 결과는 본 연구에서 제시한
기술들이 기존 소독 기술의 환경적 한계를 보완할 수 있는 지속가능한 대안으로 활용될 수 있음을 시사한다.
Fig. 9. Results of the disk diffusion method: (a) saponin and (b) green tea extract.(Dotted
red circles indicate the inhibition zone.)
Fig. 10. Disinfection effect of saponin and tea extract.
Table 3 Comparison of disinfection technologies
|
Disinfection method
|
Advantages
|
Disadvantages
|
|
Chlorine
|
Low cost and widely used
Rapid disinfection
|
Formation of carcinogenic by-products
Concerns over long-term toxicity
|
|
UV
|
No chemical residues Rapid disinfection Suitable for small-scale systems
|
Reduced efficiency in turbid water
High operational cost
|
|
Ozone
|
Strong oxidative power
Effective across divers microbial species
|
Short half-life
Expensive and complex equipment
|
|
Induction heating with BFS
|
Reusable material Simple operation and short contact time
|
Expensive induction heating equipment
Difficult to apply in large-scale systems
|
|
Green tea extract (catechin)
|
Naturally sourced and environmentally safe
No chemical residues or secondary pollution
|
Short antimicrobial duration
Sensitive to environmental conditions
|
4. Conclusion
본 연구에서는 고로슬래그를 유도가열 매질로 활용하고, 천연 항균물질인 카테킨을 함유한 녹차 추출물을 적용하여 수중 병원성 미생물 살균 효과를 평가하였다.
유도가열 실험에서는 고로슬래그의 투입량이 증가함에 따라 발열 성능이 정량적으로 향상되었으며, 특히 6 g 이상 조건에서 유의미한 온도 상승과 함께
멸균 효과가 확인되었다. 또한 동일 슬래그를 반복 재사용한 결과 발열 특성이 유지되어 반복 사용 가능성을 실험적으로 입증하였다.
디스크 확산법 및 회분식 실험을 통한 녹차 추출물의 항균 효과 분석 결과, 카테킨을 함유한 녹차 추출물에서의 신속한 항균 효과가 뚜렷이 나타났다.
특히, 녹차 추출물은 1시간 이내에 대장균 생존율을 약 99.82%까지 감소시키는 높은 살균 효율을 나타내었으며, 또 다른 천연 추출물인 사포닌과
함께 적용할 경우 항균 성분의 전달 및 분산을 보조함으로써 항균 효과 향상에 기여하는 것으로 판단된다.
본 연구 결과를 바탕으로 고로슬래그와 천연물 기반 항균 물질의 수처리 소독제로 적용 가능성을 실험적으로 입증하였으며, 향후 다양한 미생물을 대상으로
한 확대 적용과 소독 공정의 최적화 연구를 통해 해당 소독 기술 기반 공정의 실용성과 적용성을 향상시킬 수 있을 것으로 기대된다. 고로슬래그 유도가열과
녹차추출물 기반 소독 기술은 각각의 소독 기작이 다른 점을 고려할 때 단순한 병합보다는 조건에 따른 선택적 적용이 효과적일 것으로 판단된다. 향후
연구에서는 각 소독 기술의 온도 범위, 적용 시간, 소독대상 미생물 종류 등에 따른 영향을 심층적으로 분석하여 각 공정의 최적화를 모색할 필요가 있다.
Acknowledgement
이 논문은 2025학년도 홍익대학교 학술연구진흥비에 의하여 지원되었음.
References
Bell, R. L., Kase, J. A., Harrison, L. M., Balan, K. V., Babu, U., Chen, Y., Macarisin,
D., Kwon, H. J., Zheng, J., Stevens, E. L., Meng, J., and Brown, E. W. (2021). The
persistence of bacterial pathogens in surface water and its impact on global food
safety, Pathogens (Basel, Switzerland), 10(11), 1391. https://doi.org/10.3390/pathogens10111391

Bhuyan, M. A. H., Gebre, R. K., Finnilä, M. A. J., Illikainen, M., and Luukkonen,
T. (2022). Preparation of filter by alkali activation of blast furnace slag and its
application for dye removal, Journal of Environmental Chemical Engineering, 10(1),
107051. https://doi.org/10.1016/j.jece.2021.107051

Castro-Hermida, J. A., Garcia-Presedo, I., Almeida, A., Gonzalez-Warleta, M., Da Costa,
J. M. C., and Mezo, M. (2009). Detection of Cryptosporidium spp. and Giardia duodenalis
in surface water: A health risk for humans and animals, Water Research, 43(17), 4133–4142.
https://doi.org/10.1016/j.watres.2009.06.020

Choi, K. M., Yun, Y. G., Jiang, J. H., Oh, S. S., Yang, H. D., Kim, H. J., Jeon, B.
H., and Park, H. (2005). Studies on the comparison of antibacterial activity by catechin
concentration in green tea extract, Korean Journal of Oriental Physiology & Pathology,
19(5), 1233–1237. [Korean Literature]

Cui, P., Zhu, W., Li, H., Hu, S., Hu, B., Yang, F. Hang, C., and Li, M. (2023). Ultra-efficient
localized induction heating by dual-ferrite synchronous magnetic field focusing, Applied
Energy, 348, 121535. https://doi.org/10.1016/j.apenergy.2023.121535

Fotadar, U., Zaveloff, P., and Terracio, L. (2005). Growth of Escherichia coli at
elevated temperatures, Journal of Basic Microbiology, 45(5), 403–404. https://doi.org/10.1002/jobm.200410542

Francis, G., Kerem, Z., Makkar, H. P., and Becker, K. (2002). The biological action
of saponins in animal systems: A review, British Journal of Nutrition, 88(6), 587-605.
https://doi.org/10.1079/BJN2002725

Friedman, M. (2007). Overview of antibacterial, antitoxin, antiviral, and antifungal
activities of tea flavonoids and teas, Molecular Nutrition & Food Research, 51(1),
116-134. https://doi.org/10.1002/mnfr.200600173

He, Q., Yao, K., Jia, D., Fan, H., Liao, X., and Shi, B. (2009). Determination of
total catechins in tea extracts by HPLC and spectrophotometry, Natural Product Research,
23(1), 93-100. https://doi.org/10.1080/14786410801886682

Hijnen, W. A. M., Beerendonk, E. F., and Medema, G. J. (2006). Inactivation credit
of UV radiation for viruses, bacteria and protozoan (oo) cysts in water: A review,
Water Research, 40(1), 3-22. https://doi.org/10.1016/j.watres.2005.10.030

Hu, Y., Cui, X., Zhang, Z., Chen, L., Zhang, Y., Wang, C., Yang, X., Qu, Y., and Xiong,
Y. (2018). Optimisation of ethanol-reflux extraction of saponins from steamed Panax
notoginseng by response surface methodology and evaluation of hematopoiesis effect,
Molecules, 23(5), 1206. https://doi.org/10.3390/molecules23051206

Jeon, J., Kim, J. H., Lee, C. K., Oh, C. H., and Song, H. J. (2014). The antimicrobial
activity of (-)-epigallocatehin-3-gallate and green tea extracts against Pseudomonas
aeruginosa and Escherichia coli isolated from skin wounds, Annals of Dermatology,
26(5), 564-569. https://doi.org/10.5021/ad.2014.26.5.564

Kang, C. and Kil, K. (2023). Analysis of non-biodegradable organic matter leakage
characteristics and correlation analysis in Paldang Lake and its upper reaches, Journal
of Korean Wetlands Society, 25(4), 221-229. [Korean literature] https://doi.org/10.17663/JWR.2023.25.4.221

Kim, G., Kim. Y. M., Kim, S. M., Cho, H. U., and Park, J. M. (2021). Magnetic steel
slag biochar for ammonium nitrogen removal from aqueous solution, Energies, 14(9),
2682. https://doi.org/10.3390/en14092682

Lucia, O., Maussion, P., Dede, E. J., and Burdío, J. M. (2013). Induction heating
technology and its applications: Past developments, current technology, and future
challenges, IEEE Transactions on Industrial Electronics, 61(5), 2509-2520. https://doi.org/10.1109/TIE.2013.2281162

Nazzaro, F., Fratianni, F., De Martino, L., Coppola, R., and De Feo, V. (2013). Effect
of essential oils on pathogenic bacteria. Pharmaceuticals, 6(12), 1451-1474.

Ohmori, K., Maeda, N., and Kohno, A. (1999). Evaluation of antibacterial activity
of three dentin primers using an in vitro tooth model, Operative Dentistry, 24(5),
279-285.

Peng, F., Peng, J., Li, H., Li, Y., Wang, B., and Yang, Z. (2020). Health risks and
predictive modeling of disinfection byproducts in swimming pools, Environment International,
139, 105726. https://doi.org/10.1016/j.envint.2020.105726

Ravishankar, S. (2018). Plant-based antimicrobials for clean and green approaches
to food safety, In Natural and Bio-Based Antimicrobials for Food Applications, Natural
and Bio-Based Antimicrobials for Food Applications, 45-61, American Chemical Society.
https://doi.org/10.1021/bk-2018-1287.ch003

Richardson, S. D., and Ternes, T. A. (2018). Water analysis: Emerging contaminants
and current issues, Analytical Chemistry, 90(1), 398-428. https://doi.org/10.1021/acs.analchem.7b04577

Sejal, R., and Manita, W. (2015). Antibacterial activity of green tea extract in combination
with cefotaxime on diarrhea causing ESBL-producing E. coli, International Journal
of Pharmacy and Pharmaceutical Sciences, 7(6), 258-262.

Sparg, S. G., Light, M. E., and Van Staden, J. (2004). Biological activities and distribution
of plant saponins, Journal of Ethnopharmacology, 94(2-3), 219-243. https://doi.org/10.1016/j.jep.2004.05.016

Tatarchuk, T., Shyichuk, A., Naushad, M., Danyliuk, N., and Lapchuk, I. (2024). Copper-substituted
magnetite as a Fenton-like catalyst boosted with electromagnetic heating, Journal
of Water Process Engineering, 60, 105170. https://doi.org/10.1016/j.jwpe.2024.105170

Taylor, P. W., Hamilton-Miller, J. M., and Stapleton, P. D. (2005). Antimicrobial
properties of green tea catechins, Food Science and Technology Bulletin, 2, 71-81.
https://doi.org/10.1616/1476-2137.14184

von Gunten, U. (2003). Ozonation of drinking water: Part I. Oxidation kinetics and
product formation, Water Research, 37(7), 1443-1467. https://doi.org/10.1016/S0043-1354(02)00457-8

Wang, S. H., Heo, J. S., Rha, H. S., Lee, S. J., Yang, H. W., Tak, J. H., Kim, S.
Y., and Maeng, S.K. (2025). Characteristics and influencing factors of total trihalomethane
formation in tap water during the summer season, Journal of Korean Society of Water
and Wastewater, 39(2), 79–91. [Korean literature] https://doi.org/10.11001/jksww.2025.39.2.79

World Health Organization (WHO). (2023). Drinking-water, World Health Organization,
https://www.who.int/news-room/fact-sheets/detail/drinking-water (accessed May. 24,
2025).

Xu, L., Zhang, C., Xu, P., and Wang, X. C. (2018). Mechanisms of ultraviolet disinfection
and chlorination of Escherichia coli: Culturability, membrane permeability, metabolism,
and genetic damage, Journal of Environmental Sciences (China), 65, 356-366. https://doi.org/10.1016/j.jes.2017.07.006

Yu, C., Zheng, L., Hong, Y., Chen, J., Gao, F., Zhang, Y., Zhou, X., and Yang, L.
(2022). Activation of peracetic acid with CuFe2O4 for Rhodamine B degradation: Activation
by Cu and the contribution of Acetylperoxyl radicals, Molecules (Basel, Switzerland),
27(19), 6385. https://doi.org/10.3390/molecules27196385

Zhou, K., Zhou, X., Liu, J., and Huang, Z. (2020). Application of magnetic nanoparticles
in petroleum industry: A review, Journal of Petroleum Science and Engineering, 188,
106943. https://doi.org/10.1016/j.petrol.2020.106943
