The Journal of
the Korean Society on Water Environment

The Journal of
the Korean Society on Water Environment

Bimonthly
  • ISSN : 2289-0971 (Print)
  • ISSN : 2289-098X (Online)
  • KCI Accredited Journal

Editorial Office


  1. 경기대학교 생명과학과 (Department of Life Science, Kyonggi University)



Kyeongan stream, Log-linear model, Statistical analysis, Total maximum daily load, Water quality

1. Introduction

본 연구의 대상인 경안천은 우리나라 최대의 용수공급원인 팔당호로 직유입되는 하천으로 해당 유역에서는 지난 2000년대 중반에 우리나라에서 처음으로 수질오염총량관리가 시행되었다. 따라서 이러한 수질관리 정책에 따라 수질이 어떻게 변화되었는지 정밀한 진단이 필요하다.

수질은 오염부하에 대한 관리와 기상 조건이 조합된 결과로 나타나기 때문에, 연간 유량 변동은 수질변화를 통계적으로 해석하는 데 있어 가장 큰 걸림돌이자 교락요인(confounding factor)으로 작용하다. 따라서 오염부하가 지속적으로 증가하거나 감소하는 과정에 있음에도, 기상여건에 따라 유량이 변동되어 수질이 다르게 나타날 때 수질변화에 대한 정책적 판단에 오류가 생길 수 있다.

또한 우리나라는 몬순(monsoon)기후대에 속해 있기 때문에, 여름철 몬순기를 전후하여 수질변동이 크게 나타난다(An and Shin, 2005; Kim and Kim, 2004). 즉, 같은 유량 조건에서도 봄과 가을의 유역 상황은 몬순이 지나기 전과 후로서 큰 차이가 있을 수밖에 없다.

만일 유량의 수질 영향과 계절성을 적절하게 반영하고, 이와 더불어 시계열적 변화를 반영할 수 있는 모형이 있다면, 유량과 계절성을 특정 조건으로 고정하여 수질을 모의함으로써 시계열적 변화 과정을 파악할 수 있을 것이다. 최근에 미국 United States Geological Survey (USGS)에서는 유달부하량을 모의하는 11가지 로그 선형 회귀모형(LOAD ESTimation, LOADEST)을 개발하였으며(Runkel et al., 2004), Westfall et al. (2025)은 물 흐름의 유형에 따라 다양한 농도(C)-유량(Q) 모형을 제시한 바 있다. LOADEST 모형은 우리나라에서도 다양한 연구자들에 의해 이용 및 평가되고 있다(Kim et al., 2018)

Cohn et al. (1992)이 제안한 로그선형모형은 수질의 장기적인 시계열적 경향과 유량 의존성 및 계절성을 함께 고려한 것으로 기존 수질자료를 해석하는데 매우 유용한 고전적인 모형이라 할 수 있다. 이 모형은 국내에서도 일부 적용된 바 있다. Na and Park (2003)Cohn et al. (1992)의 식을 이용하여 팔당호 유입지류의 수질 변화 경향을 분석한 결과, 단순모형에 비하여 유의성과 결정계수가 높음을 확인하였다. Im and Kong (2021)은 경기도의 진위천 유역을 대상으로 수질오염총량관리의 시행효과를 로그선형모형을 통하여 분석한 바 있다.

본 연구는 경안천 유역에 대한 수질오염총량관리가 시작된 2005년 이후 2024년까지의 목표수질 설정지점의 유량과 수질 자료를 바탕으로 로그선형모형을 적용하여 장기적인 변화 경향을 파악한 것이다. 특히 기존 Cohn et al. (1992)의 모형을 일부 수정하고 유량에 의한 연간 수질변동 요인을 배제한 상태에서 시계열적인 수질변화를 파악함으로써, 수질오염총량관리 등 수질관리 정책의 효과를 정량적으로 평가하는데 목적을 두었다.

2. Materials and Methods

2.1 자료수집

분석에 사용된 자료는 경안B 오염총량관리 단위유역 말단지점(Fig. 1)에서 2005년부터 2024년까지 측정된 유량과 수질로, 환경부 물환경정보시스템(http://water.nier.go.kr)에서 추출하였다. 유량과 수질은 동절기나 집중호우기에 일부 결측된 경우를 제외하곤 주 1회의 빈도로 측정된 자료이다.

Fig. 1. Location of the TMDL target site on the Kyeonan stream.

../../Resources/kswe/KSWE.2025.41.4.285/fig1.png

2.2 로그선형모형의 수정

Cohn et al. (1992)은 유량($Q$)과 누적일수의 십진시간(decimal time) ($T$)에 대한 수질($C$)의 관계를 식 1의 선형모형으로 제시한 바 있다. 이 식에서 $\widetilde{Q}$는 유량의 중심값이며 본 연구에서는 중앙값(median)을 사용하였다. 시간의 중심값 $\widetilde{T}$는 십진시간의 중심값으로 식 2와 같이 계산된다. 관련계수 $\beta_{o}$는 절편, $\beta_{1}$과 $\beta_{2}$는 유량함수의 1차식과 2차식의 계수, $\beta_{4}$와 $\beta_{4}$는 각각 시계열함수의 1차와 2차 식의 계수, $\beta_{5}$와 $\beta_{6}$는 계절함수의 계수이다. $\beta_{1}$과 $\beta_{2}$, $\beta_{4}$와 $\beta_{4}$의 부호에 따라 유량 및 시간에 따른 수질변화가 볼록(convex) 또는 오목(concave)형으로 나타나게 된다.

식 1

$\ln C=\beta_{o}+\beta_{1}\ln\left(\dfrac{Q}{\widetilde{Q}}\right)+\beta_{2}\left[\ln\left(\dfrac{Q}{\widetilde{Q}}\right)\right]^{2}+\beta_{3}(T-\widetilde{T})+\beta_{4}(T-\widetilde{T})^{2}$

$+\beta_{5}\sin(2\pi T)+\beta_{6}\cos(2\pi T)$

식 2
$\widetilde{T}=\overline{T}+\dfrac{\sum_{i=1}^{n}\left(T_{i}-\overline{T}\right)^{3}}{2\sum_{i=1}^{n}\left(T_{i}-\overline{T}\right)^{2}}$

위 식에서 중심유량에 대한 유량비의 항은 유량에 따른 수질변동을, 누적일수와 중심일수의 차로 구성된 항은 장기적인 수질변화를, 사인함수와 코사인 함수로 구성된 항은 계절적인 수질변동을 반영하는 것이다. 이 식은 단순한 유량-농도 관계식에 비하여 장기적인 수질변화와 계절적인 수질변동을 해석할 수 있다는 점에서 유용하다(Cohn, et al., 1992; Na and Park, 2003). 그러나 장기적인 수질변화 항은 2차 함수 형태로 구성되어 있기 때문에 수질의 재감소 또는 재증가 양상을 재현하기 어려우며, 이로 인해 수질변화의 경향이 왜곡될 수 있다. 이에 따라 본 연구에서는 시계열 관련 항을 3차 함수 형태로 수정하여 적용하였다(식 3).

식 3

$\ln C=\beta_{o}+\beta_{1}\ln\left(\dfrac{Q}{\widetilde{Q}}\right)+\beta_{2}\left[\ln\left(\dfrac{Q}{\widetilde{Q}}\right)\right]^{2}+\beta_{3}(T-\widetilde{T})+\beta_{4}(T-\widetilde{T})^{2}$

$+\beta_{5}(T-\widetilde{T})^{3}+\beta_{6}\sin(2\pi T)+\beta_{7}\cos(2\pi T)$

2.3 선형 다중회귀

식 3의 로그선형 모형에서 다중회귀 분석을 통하여 각 계수 값과 그 유의확률을 추출하였으며, 각 변수의 보정상관계수($r_{c}$)를 구하여 그 영향도를 비교하였다(식 4). 보정상관계수는 회귀계수를 표준화한 것으로 그 값이 클수록 해당 설명변수의 영향도가 상대적으로 크다는 것을 의미한다.

식 4
$r_{c}=\beta_{i}\dfrac{s_{X_{i}}}{s_{Y}}$

여기에서 $\beta_{i}$는 설명변수 $X_{i}$의 회귀계수, $s_{X_{i}}$는 $X_{i}$의 표준편차, $s_{Y}$는 반응변수 $Y$의 표준편차이다. 특정 설명변수의 조건에서 추정치의 예측구간은 식 5로 계산된다.

식 5
$\hat{y}\pm t_{\alpha /2,\: n-k-1}\sqrt{MSE(1+x'(X'X)^{-1}x)}$

여기에서 $\hat{y}$는 회귀의 추정치, $t_{\alpha /2,\: n-k-1}$는 관측치 수 $n$과 설명변수의 수 $k$에서 계산된 자유도 $n-k-1$과 양측검정의 유의수준 $\alpha$에 해당하는 $t-$분포의 임계값, $MSE$는 회귀분석 결과 도출된 잔차의 분산, $X$는 설명변수 행렬, $x$는 각 설명변수의 벡터에 해당한다. $X'$와 $x'$는 각각 $X$와 $x$에 대한 전치행렬이다.

식 3에서 회귀를 통하여 계산된 추정치는 로그 값이므로, 원래값으로 환원하고 각 성분을 분리하면 식 3식 6과 같이 재정리된다. 유량함수 $f(Q)$, 시계열함수 $f(T)$, 계절함수 $\Phi$는 각각 식 79와 같다.

식 6
$C=e^{\beta_{0}}f(Q)f(T)\Phi$
식 7
$f(Q)=\left(\dfrac{Q}{\widetilde{Q}}\right)^{\beta_{1}}e^{\beta_{2}\left[\ln\left(\dfrac{Q}{\widetilde{Q}}\right)\right]^{2}}$
식 8
$f(T)=e^{\beta_{3}(T-\widetilde{T})+\beta_{4}(T-\widetilde{T})^{2}+\beta_{5}(T-\widetilde{T})^{3}}$
식 9
$\Phi =e^{\beta_{6}\sin(2\pi T)+\beta_{7}\cos(2\pi T)}$

2.4 비선형 모형의 적용

선형 다중회귀는 회귀계수의 검정, 추정치의 예측구간, 수질에 영향을 주는 성분을 분석하기 위해 적용되었으나, 로그 값으로 계산되는 식 3은 큰 측정값들의 영향이 과소평가되고 작은 측정값들의 영향이 과대평가될 수 있다. 따라서 관측치와 계산치의 적합도는 비선형 관계식인 식 6을 적용하여 평가하였으며, 관측치와 계산치의 제곱합이 최소가 되도록 하는 계수 값을 Microsoft Excel 프로그램의 ‘해찾기(solver)’ 기능을 통해 도출하였다.

또한 경안천의 수질특성은 시기에 따라 많은 차이를 보이고 있기 때문에, 해당 유역에서 총량관리를 통하여 수질개선 대책이 시작된 직후인 2005년부터 2011년까지를 1기, 수질개선이 안정적으로 이루어지고 하수처리장의 총인 방류수 수질기준이 강화된 2012년부터 2023년까지를 2기로 나누어 모형의 계수 값을 추정하였다. 예외로 수질항목 중 총유기탄소는 2008년부터 모니터링되었으므로, 해당 항목에 한해 1기 기간은 2008년부터 2011년이었다. 관측치 연평균($C_{oi}$)과 계산치의 연평균($C_{oi}$) 간의 표준화평균제곱근오차(normalized root mean squared error, NRMSE)를 구하여 수질항목별로 모형의 적합도를 비교하였다(식 10).

식 10
$NRMSE(\%)=\dfrac{\sqrt{\dfrac{1}{{n}}\sum_{{i}=1}^{{n}}\left({C}_{{oi}}-{C}_{{ei}}\right)^{2}}}{\dfrac{1}{{n}}\sum_{{i}=1}^{{n}}{C}_{{oi}}}\times 100$

연간 유량 변동이 수질에 미치는 교락을 배제하기 위하여 특정 연도의 유황을 대표유황으로 선정하고 대상 기간의 모든 연도에 대하여 동일한 유황을 모형에 적용하여 수질을 모의하였다.

3. Results and Discussion

3.1 선형 다중회귀

기존 모형인 식 1에 따른 다중회귀 분석의 결과 나타난 회귀계수와 각 변수의 보정상관계수, 회귀의 결정계수(determination coefficient)는 Table 1과 같다. 회귀계수의 유의확률과 보정상관계수로 볼 때 TOC는 유량함수, BOD5와 총질소는 계절함수, 총인은 시계열함수의 영향을 크게 받는 것으로 나타났다.

수정모형인 식 3에 따른 회귀계수와 검정결과는 기존모형의 결과와 비교할 때 TOC와 총질소에서 약간의 차이를 보였다. 즉 Cohn et al. (1992)의 시계열 모형에 추가한 3차 항의 계수 $\beta_{5}$는 BOD5와 총인에서는 유의성이 나타나지 않았으나, TOC ($p<0.001$)와 총질소($p<0.0001$)에서는 극도로 유의한 수준을 보였다. 이는 각각 농도가 감소 후 재증가하거나, 증가 후 재감소하는 경향을 반영하고 있는 것이다.

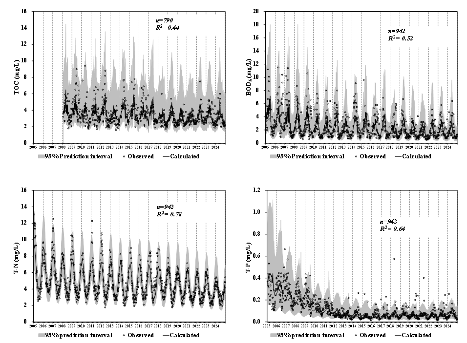
로그선형모형의 계산치는 전반적으로 실측치의 경향을 적절하게 재현하였다(Fig. 2). 결정계수로 본 모형의 설명도는 총질소 78%, 총인 64%, BOD5 52%, TOC 44%의 순으로 높았다. 모형에서 계산된 95% 예측구간은 대부분의 관측치를 포함하였으나, 전반적으로 그 범위가 넓어 추정치의 불확실성이 크다고 할 수 있다.

식 6식 7의 유량함수, 식 8의 시계열 함수, 식 9의 계절함수로 분리하여 도시한 결과는 Fig. 3과 같다. 유량함수로 볼 때 유량이 증가하면 BOD5 농도는 감소하고, T-N 농도는 큰 변화가 없으며, TOC와 T-P 농도는 감소 후 증가하는 것으로 분석되었다.

유량 증가 시 BOD5 농도의 감소는 주로 희석에 따른 것으로 보이며, 그 외에도 수체의 식물플랑크톤이나 부착조류에 의한 내부생산의 영향이 상대적으로 작아지기 때문일 수도 있다.

토양에 집적된 질산염은 주로 음전하를 띄는 토양표면에 흡착되지 않기 때문에, 토양 공극수에 의하여 쉽게 이동될 수 있다(Bellini et al., 1996). 즉 토양의 공극수에 질산염 형태로 녹아 있거나, 빗물을 통해서도 다량 유입되는 질소는 작은 비에도 쉽게 유출되므로 유량 의존성이 상대적으로 낮은 것으로 보인다.

이와 반면 인은 토양입자에 쉽게 흡착되므로(Kim et al., 2019) 작은 강우 강도에서는 쉽게 유출되지 못하고, 유량증가 시 희석되다가 일정수준 이상의 강우강도가 되면 토양입자와 함께 수체로 집중 유입되어(Kim and Kim, 2004) 농도가 상승하는 것으로 보인다. TOC 역시 작은 강우강도에서는 희석되다가 일정 수준 이상으로 유량이 증가할 경우, 입자크기가 큰 난분해성 유기물이 다량 유입되면서 유량함수 값이 상승하는 것으로 판단된다.

시계열 함수는 TOC를 제외한 모든 항목에서 감소 추세로 나타났으며, 특히 총인의 함수 값은 2012년 하수처리시설의 방류수 수질기준 강화 이후 급격히 감소한 후, 최근에는 약간 증가하는 경향을 보였다. TOC 함수 값은 경미하게 감소하다가 재증가하였고, 총질소 함수 값은 감소 후 답보 상태를 지속하다가 재감소하는 경향을 보였다. 이러한 경향은 Table 1의 시계열 함수에 해당하는 계수들의 부호에서도 파악할 수 있다.

BOD5의 계절함수 값은 5∼6월에 최대값을, 11월 말에 최소값을 나타냈다. 연간 변동계수(coefficient of variance)는 약 36%였으며, 여름철 집중강우기 이전인 5∼6월의 평균값은 1.65로 강우기 이후인 11∼12월의 평균값 0.61보다 뚜렷이 높았다. 이는 비점오염원 및 산재된 개별점오염원에서 오염물질의 축적과 강우에 의한 씻김 효과를 반영한 결과로 해석된다.

총질소의 계절함수 값은 1월 중에 최대값을, 7월 중에 최소값을 나타냈다. BOD5에 비해 총질소는 비점오염원 및 산재된 개별점오염원에서 여름철 강우에 의한 씻김 효과가 더욱 급속하게 일어나는 것으로 평가된다. 주로 토양의 공극 속에 질산성 질소의 이온 형태로 녹아있는 질소는 여름철 강우에 의한 씻김효과가 더욱 뚜렷한 것으로 판단된다. 연간의 변동계수(coefficient of variance)는 약 33%였으며 12∼2월의 평균값은 1.54로, 6∼8월의 0.65에 비하여 뚜렷이 높았다. 이처럼 BOD5와 총질소의 높은 계절성은 Table 1의 관련 계수를 검토하는 과정에서 확인되었다.

총인과 TOC의 계절함수 값은 BOD5의 그것과 유사한 경향을 보였지만, 연간 변동계수는 각각 15%와 16%로 상대적으로 작았다. 총인의 계절함수 값의 변동계수가 상대적으로 작은 것은 인이 주로 토양입자에 흡착되어 있는 관계로, 여름철 강우에 의한 씻김효과가 작기 때문인 것으로 판단된다. TOC의 변동계수가 작은 것은 주로 입자가 큰 난분해성물질의 씻김효과가 낮기 때문으로 추정된다.

Fig. 2. Observed water quality, log-linear regression estimates, and 95% prediction intervals.

../../Resources/kswe/KSWE.2025.41.4.285/fig2.png

Fig. 3. Variation in flow function, time-series function, and seasonal function based on water quality items.

../../Resources/kswe/KSWE.2025.41.4.285/fig3.png

Table 1 Estimated linear regression parameters including intercept, regression coefficient, and corrected correlation coefficient for the original model ($r_{c}$)

 Model parameters

TOC

BOD5

T-N

T-P

Coefficient

$r_{c}$

Coefficient

$r_{c}$

Coefficient

$r_{c}$

Coefficient

$r_{c}$
$\beta_{0}$

-1.1347†

-0.6282†

-1.4991†

-2.7735†

$\beta_{1}$

-0.2306†

-0.60

-0.3145†

-0.40

-0.0313*

-0.07

-0.0419

-0.05

$\beta_{2}$

-0.0706†

-0.39

-0.0443**

-0.12

-0.0026

-0.01

-0.0373**

-0.09

$\beta_{3}$

-0.0118†

-0.19

-0.0363†

-0.32

-0.0228**

-0.36

-0.0835†

-0.68

$\beta_{4}$

-0.0014***

-0.09

-0.0027†

-0.12

-0.0003

-0.03

-0.0097†

-0.39

$\beta_{5}$

-0.0934†

-0.21

-0.3174†

-0.35

-0.1881†

-0.36

-0.1664†

-0.17

$\beta_{6}$

-0.1880†

-0.41

-0.4219†

-0.44

-0.4397†

-0.80

-0.1502†

-0.14

$n$

790

942

942

942

$R^{2}$

0.43

0.52

0.77

0.64

*: $p<0.05$, **: $p<0.01$, ***: $p<0.001$, †: $p<0.0001$

Table 2 Estimated linear regression parameters including intercept, regression coefficient, and corrected coefficient for the original model ($r_{c}$)

 Model parameters

TOC

BOD5

T-N

T-P

Coefficient

$r_{c}$

Coefficient

$r_{c}$

Coefficient

$r_{c}$

Coefficient

$r_{c}$
$\beta_{0}$

-1.1351†

-0.6282†

-1.5005†

-2.7735†

$\beta_{1}$

-0.2389†

-0.63

-0.3141†

-0.40

-0.0406***

-0.09

-0.0416

-0.05

$\beta_{2}$

-0.0726†

-0.41

-0.0442**

-0.12

-0.0047

-0.02

-0.0373**

-0.09

$\beta_{3}$

-0.0264†

-0.42

-0.0356†

-0.32

-0.0072**

-0.11

-0.0831†

-0.67

$\beta_{4}$

-0.0014***

-0.09

-0.0027†

-0.12

-0.0004

-0.03

-0.0097†

-0.39

$\beta_{5}$

-0.0003***

-0.25

-0.0000

-0.01

-0.0003†

-0.26

-0.0000

-0.00

$\beta_{6}$

-0.0942†

-0.22

-0.3174†

-0.35

-0.1878†

-0.36

-0.1664†

-0.17

$\beta_{7}$

-0.1897†

-0.41

-0.4218†

-0.44

-0.4420†

-0.80

-0.1502†

-0.14

$n$

790

942

942

942

$R^{2}$

0.44

0.52

0.78

0.64

*: $p<0.05$, **: $p<0.01$, ***: $p<0.001$, †: $p<0.0001$

3.2 유량효과 배제 모의

식 6에서 연간의 유량에 관련된 항과 계절에 관련된 항을 일정하게 가정하면, 유량과 계절적인 영향을 배제하고 연간의 수질변화 경향을 추정할 수 있다. 대표유황은 각 연도의 월평균유량의 중앙값과 월평균 유량의 4분편차를 계산한 후, 연간 값들의 중앙값에 가장 가까운 연도의 유황으로 설정하였다. 이러한 분석을 통해 경안B 지점의 대표유황을 2020년으로 선정하였다(Fig. 4).

모형으로부터 산출된 수질의 연평균 계산치는 연평균 실측치와 다소의 차이가 있으나, 그 정도는 크지 않았다(Fig. 5). NRMSE 값을 기준으로 할 때, 모형의 적합도는 총질소(6.8%), 총인(7.4%), TOC(7.5%), BOD5(9.9%)의 순으로 높았다. 2020년의 기준 유황을 적용하여 모의된 TOC와 BOD5 농도는 2020년까지 감소하였다가 이후 다시 증가하는 양상을 보였으며, 총질소는 완만하게 지속적으로 감소하고, 총인 농도는 2012년까지 급격히 감소한 후 최근에는 정체 상태를 나타내고 있다.

2020년도 유황으로 보정된 수질에서, 수질오염총량관리 직후인 2005∼2007년(모니터링이 늦게 시작된 TOC는 2008∼2010년)의 모형 산술평균 값과 최근 2022∼2024년의 모형 평균값을 비교한 결과는 Table 3과 같다. 유량효과를 배제하고 시계열적으로 비교하였을 때, 최근에 총인은 74%, BOD5는 52%, 총질소는 38%, TOC는 17%가 감소한 것으로 분석되었다. 유역 내 오염원의 증가에도 불구하고, 수질오염총량관리를 비롯한 여러 수질개선대책의 효과로 수질이 오히려 개선된 것으로 평가된다.

Fig. 4. Median and interquartile range of monthly mean flow rate (2005–2024).

../../Resources/kswe/KSWE.2025.41.4.285/fig4.png

Fig. 5. Comparison of annual mean observed water quality, model-based estimates, and simulations under the flow regime of 2020.

../../Resources/kswe/KSWE.2025.41.4.285/fig5.png

Table 3 Intertemporal comparison of simulated water quality, excluding flow effects

Period

TOC

(mg/L)

BOD5

(mg/L)

T-N

(mg/L)

T-P

(mg/L)

2005~2007

3.89*

3.96

6.00

0.276

2022~2024

3.22

1.91

3.72

0.071

decrease (%)

17.3

51.8

38.0

74.2

*: average during 2008∼2010

4. Conclusion

수도권 상수원인 팔당호로 유입되는 경안천에 위치한 오염총량관리 단위유역 목표지점(경안B 말단지점)의 수질을 유량함수, 시계열함수, 계절함수를 고려한 로그선형모형으로 해석한 결과 다음과 같은 결론을 얻었다.

기존모형의 시계열함수를 2차 항에서 3차 항으로 수정한 경우, 회귀계수와 검정결과는 기존모형과 큰 차이를 보이지 않았으나, 일부 항목(TOC와 총질소)에서는 경향성을 보다 잘 재현하였다. 수질 값이 증가 및 감소 후 재증가하거나, 감소 및 증가 후 재감소하는 경우 수정모형이 보다 유연하게 그 경향을 재현할 수 있을 것으로 판단된다.

경안천에서 TOC는 유량함수, BOD5와 총질소는 계절함수, 총인은 시계열함수의 영향을 크게 받았다. 이는 각 수질항목의 저장소와 존재형태의 차이, 수질관리 정도에서 차이에 기인한다. 몬순기에 유역에서의 씻김효과 큰 BOD5와 총질소의 농도는 계절적인 차이가 큰 반면, 강우강도가 큰 시기에 한해 집중 유입되는 TOC와 총인은 씻김효과가 적게 나타나는 것으로 추정된다. 더불어 총인 농도는 2012년 하수처리시설의 방류수 수질기준 강화로 급격하게 감소하여 시계열함수의 영향이 크게 나타난 것으로 판단된다.

로그선형 모형에서 연간의 유량변동이라는 교락요인을 배제하였을 때, 경안천의 수질은 수질오염총량관리 초기 대비 뚜렷하게 감소했음을 확인할 수 있었다. 2005년 대비 2024년의 용인시 인구는 약 1.6배, 광주시 인구는 약 2.0배 증가하는 등 유역의 오염원이 현저하게 증가했다는 점을 고려할 때, 수질관리 정책의 효과가 더욱 뚜렷하게 나타났다고 평가할 수 있다.

References

1 
An, K. G. and Shin, I. C. (2005). Influence of the asian monsoon on seasonal fluctuations of water quality in a mountainous stream, Korean Journal of Limnology, 38(1), 54-62. [Korean Literature]Google Search
2 
Bellini, G., Sumner, M. E., Radcliffe, D. E., and Qafoku, N. P. (1996). Anion transport through columns of highly weathered acid soil: Adsorption and retardation, Soil Science Society of America Journal, 60(1), 132-137. https://doi.org/10.2136/sssaj1996.03615995006000010021xDOI
3 
Cohn, T. A., Caulder, D. L., Gilroy, E. J., Zynjuk, L. D., and Summers, R. M. (1992). The validity of a simple statistical model for estimating fluvial constituent loads: An empirical study involving nutrient loads entering Chesapeake Bay, Water Resources Research, 28(9), 2353-2363. https://doi.org/10.1029/92WR01008DOI
4 
Im, J. and Kong, D. (2021). Analysis of water quality and aquatic ecosystem improvement effect according to TMDL in Jinwi River Watershed, Journal of Environmental Impact Assessment, 30(6), 355-360. [Korean Literature] https://doi.org/10.14249/eia.2021.30.6.355DOI
5 
Kim, B. C. and Kim, Y. H. (2004). Phosphorus cycle in a deep reservoir in Asian Monsoon Area (Lake Soyang, Korea) and the modeling with a 2-D hydrodynamic water quality model [CE-QUAL-W2], Journal of Ecology and Environment, 37(2), 205-212. [Korean Literature]Google Search
6 
Kim, K., Kang, M. S., Song, J. H., and Park, J. (2018). Estimation of LOADEST coefficients according to watershed characteristics, Journal of Korea Water Resources Association, 51(2), 151-163. [Korean Literature] https://doi.org/10.3741/JKWRA.2018.51.2.151DOI
7 
Kim, M. S., Park, C. H., Lee C. H., Yun, S. G., Ko, B. G., and Yang, J. E. (2019). Characteristics of phosphorus adsorption of acidic, calcareous, and plastic film house soils, Korean Journal of Soil Science and Fertilizer, 49(6), 789-794. [Korean Literature] https://doi.org/10.7745/KJSSF.2016.49.6.784DOI
8 
Na, E. H. and Park, S. S. (2003). Continuity simulation and trend analysis of water qualities in incoming flows to Lake Paldang by log linear models, Korean Journal of Limnology, 36 (3), 336-343. [Korean Literature]Google Search
9 
Runkel, R. L., Crawford, C. G., and Cohn, T. A. (2004). Load estimator (LOADEST): A fortran program for estimating constituent loads in streams and rivers, Techniques and Methods Report No. 4-A5, U.S. Geological Survey, Reston, Virginia. https://doi.org/10.3133/tm4A5DOI
10 
Westfall, T. G., Peterson1, T. J., Lintern1, A., and Western, A. W. (2025). Slow and quick flow models explain the temporal dynamics of daily salinity in streams, Water Resources Research, 61(6), e2024WR039103. https://doi.org/10.1029/2024WR039103DOI