The Journal of
the Korean Journal of Metals and Materials

The Journal of
the Korean Journal of Metals and Materials

Monthly
  • pISSN : 1738-8228
  • eISSN : 2288-8241

Editorial Office


  1. 전북대학교금속공학과 (1Department of Metallurgical Engineering, Jeonbuk National University, Jeonbuk 54896, Republic of Korea)
  2. 전북대학교 유연인쇄전자전문대학원 및 로스알라모스연구소-전북대학교 한국공학연구소 (2Graduate School of Flexible and Printable Electronics and LANL-CBNU Engineering Institute Korea, Jeonbuk National University, Jeonbuk 54896, Republic of Korea)
  3. 전북대학교신소재공학부및신소재개발연구센터 (3Division of Advanced Materials Engineering and Research Center for Advanced Materials Development, Jeonbuk National University, Jeonbuk, 54896, Republic of Korea)



Copper foil, Electroplating, Organic additive, MPSA, PEG, PVP

1. 서 론

전자기기 및 반도체의 제조 과정에서 인쇄회로기판(Printed Circuit Board)에 사용되고, 전기 및 전자제품 산업, 자동차 산업, 배터리 산업 등에 널리 사용되고 있는 동박은 최근 급속하게 성장하고 있는 전동 이동 수단의 수요 증가와 함께 배터리 제조의 핵심 소재로써 그 중요성 및 수요가 증가하고 있다. 전동 이동 수단에 장착되는 배터리에 사용되는 동박은 균일한 품질특성, 낮은 제조 단가 및 단순한 제조 공정 등의 이점을 가지고 있는 전해동박이 사용되고 있다[1,2]. 전해동박의 품질특성은 전류량, 전류 밀도, 전해액의 조성, 첨가제 등의 공정 변수에 따라 달라지며, 특히 전해액의 조성에 따라 영향을 받는다[3]. 동박의 전해도금에 사용되는 전해액의 기본 조성은 일반적으로 황산동 전해액이 사용되며, 음극 표면에서 구리의 전착에 영향을 미치는 촉진제, 억제제 및 평활제 등의 유기첨가제와 염화이온을 첨가하고 있다. 구리 이온의 환원을 촉진하고 결정립을 미세화하는 촉진제에는 SPS와 MPSA 등이 있으며, 도금층이 균일한 두께로 성장하게 하는 억제제로는 PEG가 대표적이고, 도금층 표면의 평활화에 영향을 주는 평활제로 JGB, 티오우레아, PVP 등이 있다[4-8]. 이러한 첨가제의 종류와 첨가량의 변화는 전해동박의 품질특성에 영향을 주기 때문에 첨가제 조성에 따른 표면 특성, 결정구조 및 기계적 특성 등에 관한 연구가 이루어지고 있으며, 촉진제, 억제제 및 평활제가 복합첨가되고 있다[9-17]. 그러나, 기존의 연구에 첨가되고 있는 티오우레아, JGB와 같은 평활제는 수중 생물에 독성이 있을 수 있고 하수 처리에 주의를 요하고 있기에, 친환경적인 평활제를 복합첨가한 연구가 필요한 실정이다. PVP (Polyvinylpyrrolidone) 비교적 비독성이며 생물 농축성이 낮은 것으로 알려져 있는 평활제이고, 기존의 연구에서 전해동박의 표면 평활화 효과가 두드러진다하였다[18-20].

이에 본 연구에서는 친환경성이 뛰어난 평활제 PVP를 복합첨가한 조건에서 MPSA와 PEG 첨가량 변화에 따른 전해동박의 표면특성, 결정구조, 기계적 특성 및 전기적 특성 변화에 미치는 영향을 평가하고자 하였다.

2. 실험방법

기본 전해액은 높은 전도도와 도금층 형성의 주원소인 구리 이온(50 g/L)과 원소의 이동과 용액 제조를 위하여 황산(100 g/L)과 증류수에 첨가하여 제조하였고, 음극 표면의 전류 분포를 균일하게 하고 구리 이온의 전착을 촉진하는 염화이온(HCl)을 첨가하였고, 도금층 표면 평활화를 위해 평활제로 PVP(Polyvinylpyrrolidone)를 첨가하였다. 촉진제 MPSA(3-Mercapto-1-Propane Sulfonic acid)와 억제제 PEG(Polyethylene Glycol)의 첨가량 변화에 따른 전해 동박의 품질 특성 변화를 평가하기 위하여 MPSA는 10 - 40 ppm, PEG(Polyethylene Glycol)는 10 - 30 ppm 첨가하였다. 실험조건은 표 1에 나타내었다.

전해도금에 사용된 양극은 이리듐으로 코팅된 타이타늄 불용성 전극(IrO2/Ti)을 사용하였고, 음극은 순수 타이타늄(Ti, 99.9%)을 사용하였다. 음극으로 사용된 타이타늄은 연마지(Abrasive paper)를 이용하여 #1500까지 단계별로 연마한 후 초음파 세척을 하였다. 도금액의 온도는 일정하게(50 ± 0.5°C) 유지하였으며, 도금액 순환을 위하여 버블을 분당 5L를 공급하였다. 전해동박의 물성을 평가하기 위한 50 mm × 100 mm 면적의 음극표면에 20 ASD(Ampere per Square Decimeter) 전류밀도를 인가하여 두께가 12 μm가 되도록 제작하였다.

전해 도금층의 표면 형상과 표면 거칠기 분석을 위하여 10 kV의 가속전압을 인가한 주사 전자현미경(FE-SEM; SU-70, Hitachi, Japan)과 조도측정기(SJ-400, Mitutoyo, Japan)를 이용하였다. 도금층의 구조적인 해석을 위하여 X-선 회절장치(X-RD-6100, Shimadzu, Japan)를 사용하였고, Orientation index(M) 식을 통하여 결정 성장 방위를 계산하였다. 또한 후방 산란 전자 회절패턴 분석(Electron Backscatter Diffraction; EBSD, EADX, U.S.A)를 통하여 동박의 표면 결정구조를 확인하였다. 데이터 분석은 TSL Oim 6 소프트웨어를 이용하였다. 도금층의 기계적 특성을 평가하기 위해 12.7 mm × 80 mm의 크기로 인장시험용 시편을 제작하였고, 인장시험기(MCT-1150, AND, Japan)를 이용하여 인장강도 및 연신율을 6회 측정하였다. 전기적 특성 평가는 4극 탐침 장비(CMT-100MP, AIT, Korea)를 이용하여 측정된 면저항에 시편의 두께 인자를 곱하여 비 저항을 산출하였다.

3. 결과 및 고찰

MPSA와 PEG 첨가량 변화에 따른 전해 동박의 표면 특성을 분석하기 위하여, 염화이온 20 ppm, PEG 30 ppm 및 PVP 40 ppm을 첨가한 기본 도금액에 MPSA 10 – 40 ppm 복합첨가한 그룹과 염화이온 20 ppm, MPSA 10 ppm 및 PVP 30 ppm을 첨가한 기본욕에 PEG 10 – 30 ppm 첨가하여 두께가 12 μm 되도록 도금한 표면을 FE-SEM으로 관찰한 결과를 그림 1에 나타내었다. 그림 1의 a)에서 MPSA를 10 ppm 첨가한 A1의 도금층 표면은 전체적으로 매우 평활하고 균일한 도금층 표면이 관찰되었다. 그러나, MPSA를 20 ppm 첨가한 A2의 경우 A1에서는 관찰되지 않았던 골과 산이 관찰되었고, MPSA를 40 ppm 첨가한 A3에서는 이러한 현상이 더욱더 가속화되어 A2보다 산과 골이 더 많아져 도금층 표면이 불균일해졌다. MPSA는 구리의 전해도금 과정 중에 구리의 도금 속도를 촉진하는 대표적인 첨가제로 2가지 방법에 의해 구리의 전착을 촉진한다[4]. 먼저, MPSA는 구리의 전해도금 과정 중에 2개의 MPSA가 1개의 SPS로 변환되며, 이때 전해액 내에 2가의 구리 이온이 1가의 구리이온으로 환원하게 되어 구리 이온의 전착이 촉진된다. 두 번째로 전해액 내에 존재하는 SPS 및 MPSA는 전해도금 과정 중에 음극표면에 물리적으로 흡착하며, 흡착된 MPSA의 말단기는 음극성을 띄는 설포네이트(SO3-)이기 때문에 구리 이온이 음극 표면으로 견인되어 구리 이온의 전착이 촉진된다[4,21,22]. 그리고 MPSA와 같은 유기첨가제는 전해 도금 과정 중에 도금층 표면 중에서도 표면에너지가 높은 돌출된 도금층 표면에 흡착하기 때문에 MPSA 첨가시 돌출부에서의 성장이 더욱 촉진된다. 이러한 메카니즘에 의해 전해액 내에 MPSA의 첨가량이 증가할수록 도금층 표면에서 골과 산의 발생이 증가하였을 것으로 판단된다[23-25]. 그림 1의 b)의 저배율 사진에서는 PEG 첨가량 증가에 따른 구리 도금층의 변화는 관찰되지 않았다. 그러나 그림 2에서 PEG 첨가량이 20 ppm으로 증가한 B2에서 B1에서는 관찰되지 않았던 하얀색의 미세한 결정이 관찰되었다. PEG를 30 ppm 첨가한 B3에서도 미세 결정이 관찰되었으며, 표면이 거칠어졌다.

MPSA와 PEG 첨가량 변화에 따른 표면 특성을 정량적으로 분석하기 위하여 표면거칠기(Rz)를 분석하였다(그림 3). 각 조건에서의 표면거칠기(Rz)의 평균은 A1 0.79 μm, A2 1.22 μm, A3 1.31 μm, B1 0.23 μm, B2 0.32 μm, B3 1 μm를 보였다. 그림 3의 a)에서 MPSA 첨가량에 따른 표면거칠기는 첨가량이 증가할수록 증가하였으나, A1 대비 A2의 증가율은 54%, A2 대비 A3의 증가율은 7%로 MPSA 첨가량에 따른 표면거칠기 증가 비율은 MPSA 첨가량이 증가할수록 감소하였다. PEG 첨가량 증가에 따른 표면거칠기는 그림 3의 b)에서와 같이 PEG 첨가량이 증가할수록 증가하였다. B1 대비 B2의 증가율 39%였으나, B2 대비 B3의 증가율 212%로 PEG 첨가량에 따른 표면거칠기 증가 비율은 PEG 첨가량이 증가할수록 증가하였다.

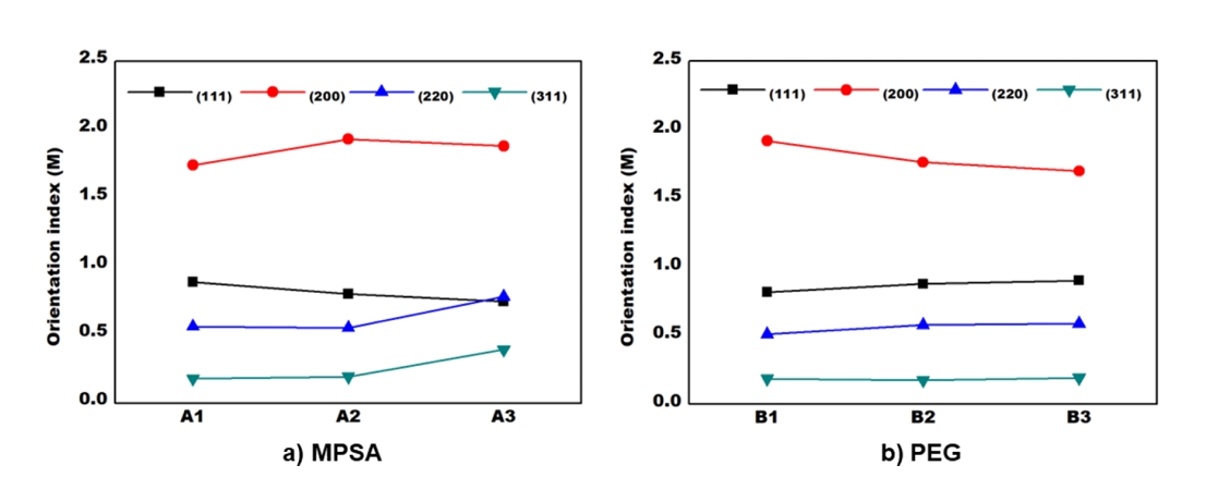
촉진제 MPSA와 억제제 PEG 첨가량 변화에 따른 결정구조의 변화를 확인하기 위하여 XRD 분석 데이터를 활용하여 우선 성장 결정 방위를 분석한 결과를 그림 4에 나타 내었다. 우선 성장 결정 방위는 아래와 같은 식인 Orientation index(M) 계산법을 이용하여 분석하였다[26,27].

(1)
IFR ( h 1 k 1 l 1 ) = I F ( h 1 k 1 l 1 ) IF ( h 1 k 1 l 1 ) + IF ( h 2 k 2 l 2 ) + I F ( h 3 k 3 l 3 ) +
(2)
IR ( h 1 k 1 l 1 ) = I ( h 1 k 1 l 1 ) I ( h 1 k 1 l 1 ) + I ( h 2 k 2 l 2 ) + I ( h 3 k 3 l 3 ) +
(3)
M ( h 1 k 1 l 1 ) = I R ( h 1 k 1 l 1 ) IFR ( h 1 k 1 l 1 )

그림 4의 a)에서 MPSA의 첨가량이 10 ppm(A1)에서 20 ppm(A2)으로 증가하였을 때 음극 표면에서 구리 이온의 농도가 높아지고 구리 이온의 전착이 촉진되기 때문에 표면에너지가 높은 (200)의 M값은 소폭 증가하였고 표면 에너지가 낮은 (111)의 M값은 감소하였다[3]. MPSA의 첨가량이 가장 많이 첨가된 40 ppm 조건(A3) 에서는 (200)의 M값은 변화가 없으나, (111)의 M값이 지속적으로 감소하고 표면에너지가 (200)보다 높은 (220)과 (311)의 M값이 증가하였다. 이것은 A3 조건에서 A2 조건보다 더 많은 MPSA가 구리 도금층에 흡착됨으로써 구리 도금층 표면에 더 많은 구리 이온을 전달하기 때문에 표면에너지가 높은 (220) 및 (311)의 M값이 증가하게 된 것이다[3]. 그림 4의 b)에서 PEG 첨가량 증가에 따른 결정 구조 변화에 대한 영향을 분석한 결과, 구리 전해 도금시 모든 조건에서 우선 결정 성장 방위는 (200)결정방위였고 우선성장 방위지수 M은 1.5 이상이었다. 구리 도금층 표면에 흡착되는 PEG의 양은 PEG 첨가량이 증가될수록 증가되며, 구리 이온이 전착될 수 있는 영역을 줄이고, 동시에 물리적으로 구리 이온의 전착을 방해한다[28-31]. 이로 인해 구리 도금층 표면에서 구리 이온의 농도는 감소하게 된다. 구리 이온의 감소는 상대적으로 많은 ledge을 가진 (200)에서 구리 이온의 감소로 채워지지 않은 ledge의 수가 증가되고 이로 인해 (200)은 불안정해 진다. 반면 채워야할 ledge의 수가 상대적으로 적은 (111)은 구리 이온이 농도가 감소되면 결정면에 전착된 구리 원자의 수가 적어져서 안정하게 된다. 이로 인해 본 연구에서 PEG의 첨가량이 증가될수록(200)은 불안정해지고 (111)은 안정화되어 결정은 (200)에서 (111)으로 성장하게 되었다[3].

XRD 데이터를 활용하여 Scherre 식으로 계산하여 결정 성장방위별 결정립 크기를 그림 5에 나타내었다. 그림 5의 a)에서 MPSA가 20 ppm 첨가(A2)되었을 때 A1보다 결정립 크기의 평균값이 소폭 증가하였다. 이는 음극 표면에 흡착된 MPSA의 양이 증가함에 따라 음극 표면에서 구리 이온의 농도가 증가하게 되고 결정 성장이 촉진되어 결정립 크기가 조대해 졌기 때문이다[32]. 그러나 MPSA량이 과다하게 첨가되면 음극 표면에서 MPSA는 표면에서 구리 원자의 이동을 방해한다[21]. 그로 인하여 MPSA가 40 ppm 첨가된 조건(A3)에서 결정립 크기는 감소하였다. 결과적으로 흡착된 MPSA가 음극 표면에서 구리 이온의 농도 증가와 과도한 MPSA에 의한 표면에서 구리 이온의 이동 방해로 인하여 결정립의 미세화와 (220)결정방위로 결정성장을 촉진시키는 역할을 하였다. 그림 5의 b)에서 PEG 첨가량이 10 ppm에서 20 ppm으로 증가하였을 때, (311)을 제외한 결정립 크기 변화는 미비하였으며, (311)면의 결정립 크기는 B1 대비 B2에서 8.24% 감소하였다. 이는 PEG 첨가로 도금층 표면에서 구리 이온의 농도가 적어짐에 따라 표면에너지가 가장 높은 (311)이 먼저 불안정해지고, 표면 에너지가 낮은 결정면이 표면에너지가 높은 결정면을 흡수하며 결정 성장한 결과이다[3, 33]. PEG가 30 ppm 첨가된 조건(B3)에서 (111), (200), (220) 면의 결정립 크기가 크게 감소하였으며, (200)면 기준 B2 대비 B3의 결정립 크기가 14.2% 감소하였다. PEG는 도금층 표면에 구리 이온의 전착을 억제하기도 하나, 도금층 표면에 흡착하여 구리 원자의 이동 및 결정 성장을 방해한다[4,21]. 또한 도금층 표면에서 구리 이온의 농도 저하는 결정립 크기를 감소시킨다[34]. 따라서 PEG 첨가량이 30 ppm으로 증가시 흡착된 PEG에 의한 결정 성장 방해와 구리 이온 농도 저하로 결정립 크기는 감소하였다.

MPSA와 PEG 첨가량 변화에 따른 기계적 특성을 확인하기 위하여 인장강도를 분석한 결과를 그림 6에 나타내었다. 그림 6의 a)에 MPSA 첨가량 변화에 따른 인장강도는 316.0 MPa(A1), 311.2 MPa(A2), 314.5 MPa(A3)로 나타났으며, MPSA 첨가량 변화에 따른 경향성은 없었다. 그러나 인장강도는 결정립 크기와 표면 결함에 영향을 받을 수 있으며, 본 연구의 결정립 크기 및 도금층 표면과 연관이 있었다. A1 대비 A2의 인장강도가 소폭 감소한 것은 결정립 크기의 증가와 도금층 뭉침 현상의 발생으로 인한 응력 집중 부위가 증가하였기 때문이며, A3의 결정립 크기가 A1보다 작음에도 불구하고 인장강도가 낮은 것은 도금층 표면에서 관찰된 많은 뭉침 부위의 응력 집중에 기인하였다. 그림 6의 b)에 PEG 첨가량 변화에 따른 인장강도 값은 303.4 MPa(B1), 310.5 MPa(B2), 314.8 MPa (B3)을 나타냈다. PEG는 인장강도와 연신율을 동시에 증가시키는 것으로 알려져 있는데[4,18,19], 본 연구에서도 PEG 첨가량이 증가할수록 인장강도는 소폭 증가하였다. 이는 결정립 크기 감소에 따른 효과로 내부 응력이 증가하였기 때문이다[35,36]. 그림 7은 MPSA와 PEG 첨가량 변화에 따른 연신율을 분석한 결과이다. MPSA 첨가량 변화에 따른 연신율은 각각 11.9%(A1), 11.6%(A2), 12.3%(A3)로 MPSA 첨가량에 의한 영향은 미비하였다. PEG 첨가량 변화에 따른 연신율은 9.2%(B1), 11.3%(B2), 11.7%(B3)로 나타났다. PEG를 20 ppm 첨가한 경우(B2)에 B1 대비 2.1%의 연신율이 증가되었으나, PEG를 30 ppm 첨가한 경우(B3) 더 이상의 연신율 증가는 보이지 않았다.

MPSA와 PEG 첨가량 변화에 따른 전기적 특성을 확인하기 위하여 비저항을 분석한 결과, MPSA 첨가량에 따라 1.98 μΩ·cm(A1), 2.02 μΩ·cm(A2), 2.00 μΩ·cm(A3)로 나타났다. PEG 첨가량 변화에 따른 비저항은 1.99 μΩ·cm(B1), 1.92 μΩ·cm(B2), 1.95 μΩ·cm(B3)로 나타났다. MPSA 및 PEG 첨가제의 첨가량에 따른 변화량은 각각 0.04 μΩ·cm, 0.07 μΩ·cm로 첨가량에 따른 비저항의 변화는 매우 적었다.

4. 결 론

본 연구에서는 20 ASD의 고전류밀도 조건하에서 유기 첨가제가 복합첨가된 경우 촉진제 MPSA와 억제제 PEG의 첨가량 변화가 전해동박의 특성에 미치는 영향을 평가하고자 하였고 다음과 같은 결론을 도출하였다.

MPSA 첨가량이 증가할수록 MPSA 10 ppm 첨가 조건에서 보이지 않던 골과 산이 관찰되었고, PEG 첨가량 증가시 골과 산은 발생하지 않았다, 그러나 MPSA와 PEG 모두 첨가량 증가시 표면거칠기(Rz)가 증가되었다. MPSA와 PEG 첨가량 변화에 관계없이 우선 성장 결정 방위는 (200) 결정방위였으며, MPSA 첨가시 표면에너지가 높은 (200), (220), (311) 의 M값이 증가하였다. PEG 첨가량이 증가될수록 (200)은 불안정해지고 (111)은 안정화되어 (111)의 M값이 증가하였다. 결정립 크기는 MPSA와 PEG 첨가량 증가로 감소하였다. 인장강도와 연신율은 MPSA 첨가량 변화에 따른 변화가 미비하였으며, 인장강도가 소폭 감소한 것은 도금층 표면에 발생한 골과 산에 의한 응력 집중에 기인한 것으로 판단된다. PEG 첨가량 증가에 따라 인장강도와 연신율은 소폭 상승하였다. MPSA 및 PEG 첨가량에 따른 비저항의 변화량은 미비하였다.

결과적으로 Cl- 20 ppm, MPSA 10 - 40 ppm, PEG 10 - 30 ppm, PVP 30 - 40 ppm 첨가된 조건에서 MPSA 첨가량은 10 ppm 첨가시 우수한 표면 특성과 기계적 특성을 얻을 수 있고, PEG는 기계적 특성을 고려할 경우 20 - 30 ppm 첨가가 적정한 조건이었다.

Notes

[1] 감사의 글

이 논문은 2024년도 정부(산업통상자원부)의 재원으로 한국산업기술진흥원의 지원을 받아 수행된 연구임(RS-2024-00410332, 2024년 산업혁신인재성장지원사업).

REFERENCES

1 
Lin C. C., Yen C. H., Lin S. C., Hu C. C., Dow W. P., J. Electrochem. Soc,164, D810 (2017)Google Search
2 
Pytel S. G., Huray P. G., Hall S. H., Mellitz R. I., Brist G., Meyer H. M., Walker L., Garland M., 58th Electronic Components and Technology Conference, 1144 (2008)Google Search
3 
Kim J. S., Kim S. H., Jeong H. K., Hwang S. S., Seo Y. C., Kim D. J., Seo M. H., Electroplating Technologies of Alloys,3 (2001)Google Search
4 
Lee A. N., Ph. D. Thesis,5-9, Seoul National University (2019)Google Search
5 
Kang S. Y., Journal of Korea Convergence Society,7, 193 (2016)Google Search
6 
An E. G., Choi S. G., Lee J. W., Cho S. K., J. Korean Electrochem. Soc,25, 113 (2022)Google Search
7 
Jang S. H., Choi K. S., Lee J. H., J. Microelectron. Packag. Soc,22, 99 (2015)Google Search
8 
Min S. K., Lee J. J., Hwang W. S., Corroion Sceince and Teccnology,10, 143 (2011)Google Search
9 
Woo T. G., Park I. S., Korean J. Met. Mater,58, 1 (2020)Google Search
10 
Woo T. G., Park J. J., Park I. S., Korean J. Met. Mater,59, 304 (2021)Google Search
11 
KIM Y. H., Lim J. W., Park G. Y., Lim O. T., Trans. of Korean Hydrogen and New Energy Society,30, 362 (2019)Google Search
12 
Woo T. G., Lee M. H., Seol K. W., Korean J. Met. Mater,56, 518 (2018)Google Search
13 
Woo T. G., Seol K. W., Lee H. W., Park I. S., Oh D. J., Kwon O. J., J. Kor. Inst. Met. & Mater,44, 527 (2006)Google Search
14 
Woo T. G., Park I. S., Korean J. Met. Mater,59, 404 (2021)Google Search
15 
Lee A. N., Kim M. J., Choe S. H., Kim J. J., Korea J. Chem. Eng,36, 981 (2019)Google Search
16 
Woo T. G., Park I. S., Korean J. Met. Mater,61, 347 (2023)Google Search
17 
Yoon J. S., Woo T. G., Park I. S., Korean J. Met. Mater,62, 954 (2024)Google Search
18 
Kang B. J., M. S. Thesis,21-42, Jeonbuk National University (2023)Google Search
19 
Jang S. H., Lee K. S. Choi J. H., J. Microelectron. Packag. Soc,22, 99 (2015)Google Search
20 
Kang I. S., Koo Y. S., Lee J. H., J. Microelectron. Packag. Soc,19, 67 (2012)Google Search
21 
Kim J. J., Kim S. K., Kim Y. S., Journal of Electroanalytical Chemistry,542, 61 (2003)Google Search
22 
Hai N. T. M., Huynh T. T. M., Fluegel A., Arnold M., Mayer D., Reckien W., Bredow T., Broekmann P., Acta,70, 286 (2012)Google Search
23 
Shin S. H., Kim T. Y., Park J. H., Suh S. J., Appl. Sci,8, 2135 (2018)Google Search
24 
Tu H. L., Yen P. Y., Wu H. L., Chen S., Vogel W., Yau S., Dow W. P., J. Electrochem. Soc,157, C206 (2010)Google Search
25 
Dow W. P., Chiu Y. D., Yen M. Y., J. Electrochem. Soc.,152, D155 (2009)Google Search
26 
Yoshimura S., Yoshihara S., Shirakashi T., Sato E., Electrochimica Acta,39, 589 (1994)Google Search
27 
Ibanez A., Fatas E., Surf. Coat. Tech,191, 7 (2005)Google Search
28 
Gallaway J. W., Willey M. J., West A. C., J. Electrochem. Soc.,156, D146 (2009)Google Search
29 
Gallaway J. W., Willey M. J., West A. C., J. Electrochem. Soc.,156, D287 (2009)Google Search
30 
Moffat T. P., Wheeler D., Josell D., J. Electrochem. Soc.,151, C262 (2004)Google Search
31 
Wafula F., Liu Y., Yin L., Bliznakov S., Borgesen P., Cotts E. J., Dimitrov N., J. Electrochem. Soc,157, D111 (2010)Google Search
32 
Dow W. P., Chiu Y. D., Yen M. Y., J. Electrochem. Soc.,152, D155 (2009)Google Search
33 
YOON J. S., M. S. Thesis,40-42, Pusan National University (2014)Google Search
34 
Grujicic D., Pesic B., Electrochimica Acta,47, 2901 (2002)Google Search
35 
Kim S. H., Moon B. G., You B. S., Park S. H., Journal of Korea Foundary Society,37, 207 (2017)Google Search
36 
Liao J., Hotta M., Kaneko K., Kondoh K., Scr. Mater,61, 208 (2009)Google Search

Figures and Table

Fig. 1.

FE-SEM images of copper foil for MPSA 10 ppm(A1), MPSA 20 ppm(A2), MPSA 40 ppm(A3), PEG 10 ppm(B1), PEG 20 ppm(B2) and PEG 30 ppm(B3).

../../Resources/kim/KJMM.2025.63/kjmm-2025-63-3-210f1.jpg
Fig. 2.

FE-SEM images of copper foil for PEG 10 ppm(B1), PEG 20 ppm(B2)

../../Resources/kim/KJMM.2025.63/kjmm-2025-63-3-210f2.jpg
Fig. 3.

Surface roughness values(Rz) of copper foil for MPSA 10 ppm(A1), MPSA 20 ppm(A2), MPSA 40 ppm(A3), PEG 10 ppm(B1), PEG 20 ppm(B2) and PEG 30 ppm(B3).

../../Resources/kim/KJMM.2025.63/kjmm-2025-63-3-210f3.jpg
Fig. 4.

Orientation index(M) calculated from XRD data of the copper foil for MPSA 10 ppm(A1), MPSA 20 ppm(A2), MPSA 40 ppm(A3), PEG 10 ppm(B1), PEG 20 ppm(B2) and PEG 30 ppm(B3).

../../Resources/kim/KJMM.2025.63/kjmm-2025-63-3-210f4.jpg
Fig. 5.

Grain size calculated from XRD data of the copper foil for MPSA 10 ppm(A1), MPSA 20 ppm(A2), MPSA 40 ppm(A3), PEG 10 ppm(B1), PEG 20 ppm(B2) and PEG 30 ppm(B3).

../../Resources/kim/KJMM.2025.63/kjmm-2025-63-3-210f5.jpg
Fig. 6.

Tensile strength of copper foil for MPSA 10 ppm(A1), MPSA 20 ppm(A2), MPSA 40 ppm(A3), PEG 10 ppm(B1), PEG 20 ppm(B2) and PEG 30 ppm(B3).

../../Resources/kim/KJMM.2025.63/kjmm-2025-63-3-210f6.jpg
Fig. 7.

Elongation of copper foil for MPSA 10 ppm(A1), MPSA 20 ppm(A2), MPSA 40 ppm(A3), PEG 10 ppm(B1), PEG 20 ppm(B2) and PEG 30 ppm(B3).

../../Resources/kim/KJMM.2025.63/kjmm-2025-63-3-210f7.jpg
Table 1.

The concentration of additives in the electrolytes for each group. (unit: ppm)

Group Cl- MPSA PEG PVP
A1 20 10 30 40
A2 20 20 30 40
A3 20 40 30 40
B1 20 10 10 30
B2 20 10 20 30
B3 20 10 30 30